Temel Veteriner Biyokimya Ara 7. Deneme Sınavı
Toplam 20 Soru1.Soru
Aminoasitlerin fiziksel özellikleri ile ilgili aşağıdaki ifadelerden hangisi doğrudur?
|
Aminoasitler suda erimezler. |
|
Aminoasitler alkol içerisinde kolay erirler. |
|
Aminoasitler alkalilerde erimezler. |
|
Aminoasitlerin erime noktaları düşüktür. |
|
Aminoasitler eterde erimezler. |
Aminoasitler suda ve alkalilerde erirler, alkol içerisinde kolay erimezler. Aminoasitlerin erime noktaları yüksektir. Aminoasitler eterde erimezler. Sadece son ifade doğrudur. özellikleri ile ilgili aşağıdaki ifadelerden hangisi
2.Soru
Amino asitlerin çift kutupluluk özellikleri hakkında aşağıda verilen durumlardan hangisi doğrudur ?
|
-H ve -R gruplarından dolayı amfolit yapılıdırlar
|
|
Çözeltinin OH iyonları konsantrasyonuna göre asit veya baz olarak fonksiyon gösterirler
|
|
Amfoter olduklarından karboksil grupları nötron verebilir, buna karşın amino grupları proton alabilir
|
|
Asit ortamda -NH2 grupları H iyonlarını alır ve pozitif yüklü -NH3+ gruplarına dönüşür
|
|
Negatif yük taşıyan bir -COO- grubu ve pozitif yüklü bir NH3+ grubunu aynı anda taşıyamazlar
|
3.Soru
I. Yağ asitlerinin fiziksel özellikleri karbon zincirinin uzunluğuna ve moleküldeki çift bağın sayısına bağlı değildir.II. Karbon sayısı 10’a kadar olan bütün doymuş yağ asitleri oda sıcaklığında katıdır.III. Yağ asitlerinin zincir uzunluğu ve molekül ağırlığı arttıkça erime noktaları yükselir ve uçuculukları azalır.IV. Doymamış yağ asitleri taşıdıkları çift bağlar sayesinde yüksek reaksiyon yeteneğine sahiptir.İfadelerden hangileri doğrudur?
|
I ve II |
|
III ve IV |
|
I, II ve III |
|
II ve IV |
|
I, II, III ve IV |
Yağ asitlerinin fiziksel özellikleri karbon zincirinin uzunluğuna ve moleküldeki çift bağın sayısına bağlıdır.
Karbon sayısı 10’a kadar olan bütün doymuş yağ asitleri oda sıcaklığında sıvı ve uçucudur.
Yağ asitlerinin zincir uzunluğu ve molekül ağırlığı arttıkça erime noktaları yükselir ve uçuculukları azalır.
Doymamış yağ asitleri taşıdıkları çift bağlar sayesinde yüksek reaksiyon yeteneğine sahiptir. Yağ asitleri ile ilgili yukarıdaki ifadelerden hangileri doğrudur?
4.Soru
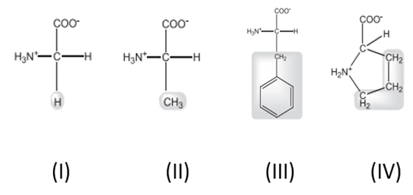
Hangi eşleştirme sırasıyla doğru olarak verilmiştir?
|
Prolin-Alanin-Fenilalanin- Glisin |
|
Glisin-Alanin-Fenilalanin-Prolin |
|
Fenilalanin -Glisin-Alanin-Prolin |
|
Metiyonin-Alanin-Fenilalanin-Prolin |
|
Glisin-Alanin-Fenilalanin-Metiyonin |
Şekilde verilen aminoasitler sırasıyla Glisin-Alanin-Fenilalanin-Prolin ‘dir.
5.Soru
Aşağıdakilerden hangisi glukoz ve galaktoz moleküllerinin glikozidik bağla birleşmesi sonucu oluşan disakkarittir?
|
Glukoz
|
|
Maltoz
|
|
Sakkaroz
|
|
Laktoz
|
|
Sellobioz
|
6.Soru
Hücreler arası sıvı aşağıdakilerden hangisine karşılık gelir?
|
intrasellüler sıvı |
|
interstisyel sıvı |
|
transsellüler sıvı |
|
ekstasellüler sıvı |
|
intravasküler sıvı |
interstisyel sıvı
7.Soru
Aşağıda verilen yağ asitlerinden hangisinin yapısında çift bağ bulunur.
|
Palmitik asit |
|
Miristik asit |
|
Stearik asit |
|
Palmitoleik Asit |
|
Laurik asit |
Palmitoleik Asit
8.Soru
Aşağıdaki eikozanoid türevlerinden hangisi kan pıhtılarının oluşmasında rol alır?
|
Prostaglandin G2
|
|
Prostasiklin
|
|
TromboksanA2
|
|
Prostaglandin G2
|
|
Lökotrien B4
|
9.Soru
Şekerlerin oksidasyonu sonucu oluşan Uronik asitler içinde aşağıdakilerden hangisi en önemlidir?
|
Galakturonik asit |
|
Glukuronik asit |
|
Mannuronik asit |
|
Galaktonik aist |
|
Glukonik asit |
Uronik asitler içinde en önemlisi glukuronik asittir. Gerek metabolik organizma içinde oluşan bazı metabolitlerin atılması, gerekse dış kaynaklı ilaç vs. gibi zararlı veya zararsız maddelerin atılmasında yardımcı olur. O nedenle doğru cevap B dir
10.Soru
Aşağıdakilerden hangisi eklem yüzeylerinin ıslak ve kaygan kalmasında rol oynayan mukopolisakkarittir?
|
Glikojen |
|
İnülin |
|
Pektin |
|
Heparin |
|
Hyaluronik asit |
Hyaluronik asit
11.Soru
Aşağıdakilerden hangisi canlılar arasında Tavuk için esansiyel aminoasittir?
|
Lösin |
|
Valin |
|
Lizin |
|
Metiyonin |
|
Glisin |
Glisin
12.Soru
Çinko (Zn) eksikliği durumunda aşağıdaki enzimlerin hangisinde aktivite kaybı görülür?
|
Ksantin oksidaz
|
|
Arjinaz
|
|
Tirozinaz
|
|
Hekzokinaz
|
|
Karbonik anhidraz
|
13.Soru
Molekül ağırlığı 100.000’nin üzerinde bulunan proteinler hangi organizasyonun sonucunda oluşur.
|
Birincil yapı
|
|
İkincil yapı
|
|
Tersiyer yapı
|
|
Sekonder
|
|
Dördüncül yapı
|
14.Soru
Karbon sayısı 4 olan bir monosakkaritin genel isimlendirilmesi aşağıdakilerden hangisidir?
|
Riboz
|
|
Pentoz
|
|
Heksoz
|
|
Trioz
|
|
Tetroz
|
15.Soru
Canlı organizma, vücut ağırlığının hangi oranında su kaybettiğinde ölüm riski başlar?
|
% 3-5 |
|
% 6-7 |
|
% 8-10 |
|
% 11-20 |
|
% 50-70 |
% 11-20
16.Soru
Seramide bağlı tek karbonhidrat ünitesi içeren sfingolipitlere ne ad verilir
|
Serebrosit |
|
Gangliozit |
|
Steroid |
|
Sfingomiyelin |
|
Glikosfingolipit |
Serebrozit
17.Soru
Bir ucu pozitif, bir ucu negatif yüklü gibi davranan moleküle ne denir?
|
Amino |
|
Karboksil |
|
Polar |
|
Nonpolar |
|
Yan zincir |
Polar molekül: Molekülü oluşturan atomların elektronegativite lerindeki farklılığından dolayı bir ucu pozitif, bir ucu negatif yüklü gibi davranan moleküldür.
18.Soru
Eikonozoidler aşağıdaki durumların hangisinde oluşurlar?
|
Mutluluk |
|
Heyecan |
|
Beyin kanaması |
|
Cilt yanığı |
|
Ateş ve ağrı |
Eikozonoidler, hasar veya hastalık ile ilişkili inflamasyon, ateş ve ağrı, kan pıhtılarının oluşması, kan basıncının değişmesi gibi durumlarda oluşurlar. Hormonlardan farklı olarak oluştukları dokularda etkilerini gösterirler.
19.Soru
Kan damarlarının duvarında bulunan düz kasların gevşemesi sonucu damar boşluğunun genişlemesine ne ad verilir?
|
Vazodilatasyon |
|
Kontraksiyon |
|
Prostaglandin |
|
Tromboksan |
|
Lökotrien |
Kan damarlarının duvarında bulunan düz kasların gevşemesi sonucu damar boşluğunun genişlemesine vazodilatasyon denilir.
20.Soru
İndol halkası içeren aminoasit aşağıdakilerden hangisidir?
|
Triptofan |
|
Metiyonin |
|
Glisin |
|
Lösin |
|
İzolösin |
Glisin en basit yapılı aminoasittir, R grubunda sadece H vardır, asimetrik karbon atomu içermez. Valin, lösin, izolösin dallı yan zincirli aminoasitlerdir. Alaninin R grubunda metil grubu bulunur. Fenilalaninde metil grubuna fenil grubu bağlanmıştır. Metiyoninin yapısında metil ve kükürt bulunur. Triptofan indol halkası içeren bir aminoasittir.
-
- 1.SORU ÇÖZÜLMEDİ
- 2.SORU ÇÖZÜLMEDİ
- 3.SORU ÇÖZÜLMEDİ
- 4.SORU ÇÖZÜLMEDİ
- 5.SORU ÇÖZÜLMEDİ
- 6.SORU ÇÖZÜLMEDİ
- 7.SORU ÇÖZÜLMEDİ
- 8.SORU ÇÖZÜLMEDİ
- 9.SORU ÇÖZÜLMEDİ
- 10.SORU ÇÖZÜLMEDİ
- 11.SORU ÇÖZÜLMEDİ
- 12.SORU ÇÖZÜLMEDİ
- 13.SORU ÇÖZÜLMEDİ
- 14.SORU ÇÖZÜLMEDİ
- 15.SORU ÇÖZÜLMEDİ
- 16.SORU ÇÖZÜLMEDİ
- 17.SORU ÇÖZÜLMEDİ
- 18.SORU ÇÖZÜLMEDİ
- 19.SORU ÇÖZÜLMEDİ
- 20.SORU ÇÖZÜLMEDİ