Yöneylem Araştırması 1 Final 11. Deneme Sınavı
Toplam 20 Soru1.Soru
Enbüyükleme probleminde temele girecek değişkenin bulunduğu sütunda x0 satırı dışındaki değerlerin tümü <=0 olduğunda aşağıdaki ifadelerden hangisi doğrudur?
|
Problemin en iyi çözümü bulunmuştur. |
|
Problemin birden fazla en iyi çözümü vardır. |
|
Problemin sınırsız çözümü vardır. |
|
Problemin uygun çözüm alanı boştur. |
|
Bir ardıştırma işleminden sonra problemin en iyi çözümü elde edilir. |
Enbüyükleme problemi için temele girecek değişkenin bulunduğu sütunda x0 satırı dışındaki değerlerin tümü <=0 ise problemin sınırsız çözümü vardır. Bu nedenle doğru cevap C'dir.
2.Soru
I. Katkı parametrelerine göre duyarlılık analizi
II. Sağ taraf sabitindeki değişime göre duyarlılık analizi
III. Teknik katsayılardaki değişime göre duyarlılık analizi
Yukarıdakilerden hangileri ile parametrelerdeki değişime göre duyarlılık analizi
yapılır.
|
Yalnız I |
|
I ve II |
|
II ve III |
|
Yalnız II |
|
I, II ve III |
I. Katkı parametrelerine göre duyarlılık analizi
II. Sağ taraf sabitindeki değişime göre duyarlılık analizi
III. Teknik katsayılardaki değişime göre duyarlılık analizi
Her üçü ile parametrelerdeki değişime göre duyarlılık analizi yapılır.
3.Soru
Simpleks Algoritması’nın çözümünün dezavantajı aşağıdakilerden hangisidir?
|
(n-m) tane değişken sıfır değerini verilerek denklem sayısı (m) kadar değişkene değer bulunmaktır. |
|
Temel dışı değişkenlerin çözüme katılmaması |
|
Temel değişkenlerin bazen negatif değer alabilmesi |
|
Matris yöntemi ile enbüyükleme problemlerinin çözümü |
|
Simpleks Algoritması ile çözümde, tablonun alt kısmında, kısıt sayısı kadar satır yer alır. |
Temel değişkenlerin analitik çözümü sonucunda bazen negatif değer bulunabilir. Bu gibi durumlarda analitik yöntem küçük bir problem için bile iş yükü getirmektedir ve uç nokta olmadığı halde bazı noktaların da zorunlu olarak hesaplanmasını gerektirmektedir.Analitik yöntem, verilen denklem sisteminin tüm temel çözümleri bulunduktan sonra, içlerinden uç nokta olanlarının bir amaç fonksiyonunda değerlendirilip eniyisinin bulunması ile sonuçlanır
4.Soru
Aşağıdakilerden hangisi, hedef programlama ile doğrusal programlama arasındaki farklardan biri değildir?
|
D.P. Amaç en iyi çözüm / H.P. Amaç mümkün olduğunca en iyi çözüm
|
|
D.P. Tek amaç en iyilenir / H.P. Birden fazla amaç en iyilenmeye çalışılır
|
|
D.P. Sistem kısıtı, katı kısıttır / H.P. Sistem kısıtı yanı sıra, hedef kısıtı vardır
|
|
D.P. Amaç fonksiyonunda karar değişkeni yer alır / H.P. Amaç fonksiyonu sapma değişkenlerinden oluşur
|
|
D.P. Amaç, en büyükleme/ en küçüklemedir / H.P. Amaç sadece en büyüklemedir
|
5.Soru
Aşağıdakilerden hangisi Doğrusal Programlamanın varsayımlarından biri değildir?
|
Doğrusallık Varsayımı
|
|
Toplanabilirlik Varsayımı
|
|
Çarpılabilirlik Varsayımı
|
|
Bölünebilirlik Varsayımı
|
|
Kesinlik Varsayımı
|
6.Soru
Aşağıdakilerden hangisi doğrusal bir karar modeli geliştirilebilmesi için gerekli özelliklerden değildir?
|
Bölünebilirlik |
|
Toplanabilirlik |
|
Belirlilik |
|
Çarpımsallık |
|
Oranlılık |
Doğrusal karar modeli geliştirilebilmesi için bazı özellikler vardır: Bunlar; belirlilik, oranlılık, toplanabilirlik ve bölünebilirlik olarak sıralanabilir.
7.Soru
Aşağıdaki analizlerden hangisi bir kısıttaki teknik katsayısı değişen bir değişkenin, temelde veya temelde olmamasına göre farklı şekilde analiz edilmelidir?
|
Katkı Parametresindeki Değişime Göre Duyarlılık Analizi |
|
Sağ Taraf Sabitindeki Değişime Göre Duyarlılık Analizi |
|
Teknik Katsayılardaki Değişime Göre Duyarlılık Analizi |
|
Karar Değişkenindeki Değişime Göre Duyarlılık Analizi |
|
Yapısal değişikliklere göre Duyarlılık Analizi |
Teknik Katsayılardaki Değişime Göre Duyarlılık Analizi Bu değişim, bir kısıttaki teknik katsayısı değişen bir değişkenin, temelde veya temelde olmamasına göre farklı şekilde analiz edilmelidir.
8.Soru
A.H. , Doğrusal karar modeli çözüm modelinde, meydana gelebilecek parametrelere bağlı veya yapısal değişiklikler karşısında elde en iyi çözümün bundan nasıl etkileneceğinin sınanmasıdır ?
|
En iyi çözümün bulunması
|
|
Optimal analiz
|
|
Minimum yapılı çözüm
|
|
Duyarlılık Analizi
|
|
Temel Analizi
|
9.Soru
Uygun çözüm alanı nedir?
|
İki noktanın dış bükey birleşimi olarak yazılamamasıdır. |
|
Uygun çözümlerin oluşturduğu kümedir. |
|
Konkav kümedir. |
|
Koordinat sisteminin 4. Bölgesi’ndeki alandır. |
|
Koordinat sisteminin 2. Bölgesi’ndeki alandır. |
Uygun çözümlerin oluşturduğu kümeye uygun çözüm alanı denir.
10.Soru
I. Üretim merkezi sayısı “m” ve talep merkezi sayısı “n” iken, bir temel uygun çözümünde en fazla (m + n + 1) adet değişken temelde yer alabilir.
II. En az bir uygun çözümü olup, eniyi çözümü de
vardır.
III. Sunum ve talep miktarlarına karşı gelen değerler
tamsayı ise, karar değişkenleri eniyi çözümde tamsayı değer alır.
Yukarıdakilerden hangileri dengelenmiş ulaştırma modelinin taşıdığı özelliklerdendir?
|
Yalnız I |
|
I ve II |
|
I ve III |
|
II ve III |
|
I, II ve III |
Dengelenmiş ulaştırma modelinin taşıdığı üç önemli özellik vardır: Üretim merkezi sayısı “m” ve talep merkezi sayısı “n” iken, dengelenmiş ulaştırma modelinin bir temel uygun çözümünde en fazla (m + n -1) adet değişken temelde yer alabilir. Her dengelenmiş ulaştırma modelinin en az bir uygun çözümü olup, eniyi çözümü de vardır. Ulaştırma modelinde, sunum ve talep miktarlarına karşı gelen değerler tamsayı ise karar değişkenleri her temel uygun çözümde, dolayısıyla eniyi çözümde tamsayı değer alır.
11.Soru
Bir matematiksel modelde değişkenler arası ilişkilerin gösterildiği fonksiyonlara ne ad verilir?
|
Kısıt
|
|
Doğrusal Karar modeli
|
|
Amaç fonksiyonu
|
|
Doğrusal Olmayan Karar modeli
|
|
Bütünleşik yaklaşım
|
12.Soru
Aşağıdakilerden hangisi bir matematiksel modele örnektir?
|
İnşaat maketleri |
|
Akış diyagramı |
|
f=ma |
|
Satış grafiği |
|
Uçak simülatörü |
Matematiksel model ise bir sistemin veya problemin matematiksel ifadelerle temsil edilmesidir. f= ma denklemi bu anlamda bir matematiksel modeldir. m kütlesine sahip bir cismin belirli bir a ivmesine maruz kaldığında oluşacak olan f büyüklüğündeki kuvvetin ifadesidir. m, a ve f ‘den herhangi ikisi biliniyorsa, üçüncünün değeri bu ilişki ile bulunabilir.
13.Soru
Bir şirkette çalışan üç ustanın (A, B, C) her birinin bir işte çalışması istenmektedir. Tamamlanması istenen üç iş vardır. Her ustanın sahip olduğu bilgi, beceri ve yetenek seviyesine bağlı olarak işleri farklı sürelerde bitirecekleri tahmin edilmektedir. Ustaların işleri tamamlayacakları tahmini süreler aşağıdaki tabloda verilmiştir. Her ustanın sadece bir işte çalışması ve her işe de sadece bir kişinin atanması isteniyorsa, işlerin en kısa sürede tamamlanması için hangi ustanın hangi işte çalışması gerektiğini çözümleyen Macar modeli aşağıdakilerden hangisidir ?
|
|
|
|
|
|
|
|
|
|
Macar algoritması ile atama problemini çözebilmek için, aşağıdaki koşulların sağlanması gerekir:
- Problemin amacı bir etkinliğin enküçüklenmesidir.
- İşlem noktası ile iş sayısı birbirine eşittir (= n.)
- Her atama gideri cij ? 0 koşuluna uymaktadır (cij : i. işlem noktasını j. işe atamanın maliyeti) ?Yukarıdaki koşulların sağlandığı bir atama modelinin Macar algoritması ile çözüm adımları aşağıda verilmektedir:
- Her satırdaki en küçük cij seçilip, diğer atama giderlerinden bu değer çıkartılarak, satırlara göre indirgenmiş tablo bulunur.
- İndirgenmiş tablonun her sütunundaki en küçük cij seçilip, diğer ögelerden bu değer çıkartılarak, tablo bir kez daha indirgenir.
- Tablo üzerinde sıfır değerini alan tüm ögelerden geçen en az sayıda dikey ya da yatay doğrular çizilir. Eğer bulunan doğru sayısı = n ise, eniyi çözüme ulaşılmış olup adım beşe, değilse izleyen adıma geçilir.
- Üzerinden doğru geçmeyen satır veya sütundaki en küçük öge seçilerek, doğrular dışında kalmış diğer ögelerden bunun değeri çıkartılır, doğruların kesim noktalarındaki ögelere eklenir. Üçüncü adıma dönülür.
- Her doğru üzerinde sıfır değerli hücreler esas alınarak, her i için yalnız bir j olmak üzere, eniyi çözüme karşı gelen xij değerleri yazılıp, eniyi çözüm bulunur.
14.Soru
Lüks tüketim malzemeleri üreten bir firma ürünleri için bir dakikalık bir reklam filmi hazırlatmıştır. Bu reklamın bir komedi programında 1 dakika yayınlanması durumunda 7 milyon kadın ve 3 milyon erkek müşteriye; bir futbol maçında 1 dakika yayınlanması durumunda da 2 milyon kadın ve 12 milyon erkek müşteriye ulaşılacağı belirlenmiştir. Satışların yapılabilmesi için reklamlar ile en az 12 milyon kadın ile 24 milyon erkeğe ulaşmak gerekmektedir. Her bir dakikalık reklamın komedi programı ve maçta yayınlanması maliyeti de sırasıyla 130 bin ve 270 bindir. Firmanın reklam maliyetlerini en küçüklemek için geliştirilecek doğrusal karar modeli için aşağıdakilerden hangisi söylenebilir?
|
Kesinlik varsayımı sağlanmaktadır.
|
|
Bölünebilirlik varsayımı sağlanmaktadır.
|
|
Oranlılık varsayımı sağlanmaktadır.
|
|
Amaç fonksiyonu doğrusal değildir.
|
|
Doğrusallık varsayımı sağlanmaktadır.
|
15.Soru
M adet arz-sunum merkezi olan ve n adet talep merkezi olan bir dengelenmiş ulaştırma modeli hakkında aşağıda verilenlerden hangisi yanlıştır?
|
Modelde toplam sunum miktarı toplam talep miktarına eşittir. |
|
Yapay arz merkezleri oluşturmaya gerek yoktur. |
|
Yapay talep merkezleri oluşturmaya gerek yoktur. |
|
m ve n değerleri birbirine eşit olmak zorundadır. |
|
"m merkezlerinin sunum kapasiteleri, n talep merkezlerinin toplam talebini karşılayabilmek için yeterlidir" yorumu yapılabilir. |
m sunum merkezi sayısı, n ise talep merkezi sayısıdır. Her problemin yapısına göre farklı değerler alabilirler. Eşit olmak gibi bir zorundalıkları kesinlikle yoktur. Yanıt D seçeneğidir.
16.Soru
Aşağıda bir problemin ulaştırma tablosu verilmiştir. Bu problemin, kuzeybatı köşe yöntemi ile bulunan başlangıç çözümünde, atama yapılan hücreler ve değerleri için aşağıdakilerden hangisi doğrudur?
|
|
|
|
|
|
|
|
|
|
Tablonun en kuzeybatısında yer alan X11 hücresi seçilir ve o hücreye alabileceği maksimum değer olan "125" atanır. Daha sonra ilk sütun kapatılır. Kuzeybatıda kalan X12 hücresine alabileceği en büyük değer olan "80" değeri atanır. Benzer şekilde 2. sütun da kapatıldıktan sonra, kuzeybatıda kalan X13 hücresine alabileceği en yüksek değer olan "20" atanır ve ilk satır kapatılır. Daha sonra en kuzeybatıda kalan X23 hücresine "75" değeri atanır ve ikinci satır ve üçüncü sütun da kapatıldıktan sonra, X34 hücresine de "100" değeri atanır.
Yanıt B seçeneğidir.
17.Soru
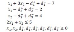
Matematiksel modeli aşağıda verilen bir hedef programlama problemi için aşağıdakilerden hangisi yanlıştır?
kısıtları altında
|
Üçüncü hedef bir eşitlik olduğundan hem küçük eşitlik hem de büyük eşitlik yönündedir. |
|
Birinci hedef küçük eşitlik yönündedir. |
|
Modele ait üç sistem kısıtı vardır. |
|
İkinci hedef büyük eşitlik yönündedir. |
|
Her iki hedef de enküçüklenmek istenmektedir. |
olmak üzere modele ait bir tane sistem kısıtı vardır.
18.Soru
Atlama taşı yöntemi ile ilgili aşağıda verilenlerden hangileri doğrudur?
I- Mevcut çözümdeki temel dışı değişkenlerin temele alınması halinde, amaç fonksiyonunda ne kadar artış ya da azalma olacağının hesaplanmasına dayanır.
II- Ulaştırma modeli çözüm kalitesini (eniyilik) belirlemek için kullanılır.
III- Değişim değerinin pozitif olması, bu hücreye bir birim atama yapılması durumunda toplam maliyetin artacağı anlamına gelmektedir.
IV- Eğer hesaplanan tüm değişim değerleri sıfırdan büyük eşitse, eniyi çözüme erişilmiştir.
V- Değişim değerlerinden en az birinin sıfırdan küçük olması, bu hücreye atama yapılırsa toplam maliyetin daha da düşeceğini gösterir.
|
I-II-III-IV |
|
I-II-III-V |
|
I-II-IV-V |
|
I-III-IV-V |
|
I-II-III-IV-V |
Tüm maddeler atlama taşı yöntemini anlatır,sırayla verilmiş ifadelerdir.
19.Soru
İncelenen problem veya olayla ilgili önce gözlem yapılmasını, sonra bir hipotezin geliştirilmesi ve bu hipotezin deneylerle sınanması ve genellemesi Yöneylem araştırmasının hangi özelliğidir?
|
Modelleme
|
|
Bilimsel yöntem
|
|
Tasarlama
|
|
Bütünleşik yaklaşım
|
|
Çözülme
|
20.Soru
X2 ' nin amaç fonksiyonundaki katsayısının 11 olması durumunda S1 değişkenine amaç fonksiyonu satırında gelen değer kaç olur ?
|
2
|
|
4
|
|
6
|
|
3
|
|
0
|
-
- 1.SORU ÇÖZÜLMEDİ
- 2.SORU ÇÖZÜLMEDİ
- 3.SORU ÇÖZÜLMEDİ
- 4.SORU ÇÖZÜLMEDİ
- 5.SORU ÇÖZÜLMEDİ
- 6.SORU ÇÖZÜLMEDİ
- 7.SORU ÇÖZÜLMEDİ
- 8.SORU ÇÖZÜLMEDİ
- 9.SORU ÇÖZÜLMEDİ
- 10.SORU ÇÖZÜLMEDİ
- 11.SORU ÇÖZÜLMEDİ
- 12.SORU ÇÖZÜLMEDİ
- 13.SORU ÇÖZÜLMEDİ
- 14.SORU ÇÖZÜLMEDİ
- 15.SORU ÇÖZÜLMEDİ
- 16.SORU ÇÖZÜLMEDİ
- 17.SORU ÇÖZÜLMEDİ
- 18.SORU ÇÖZÜLMEDİ
- 19.SORU ÇÖZÜLMEDİ
- 20.SORU ÇÖZÜLMEDİ