Coğrafi Bilgi Sistemleri İçin Temel Geometri Final 2. Deneme Sınavı
Toplam 12 Soru1.Soru
Konveks bir yedigenin iç açıları toplamı kaç derecedir?
|
720 |
|
900 |
|
1080 |
|
1260 |
|
1440 |
Kenar sayısı n olan konveks bir çokgen, bir köşesinden çizilen köşegen doğrularıyla en fazla (n-2) tane üçgene ayrılabilir.
Bir konveks çokgendeki üçgen sayısı (n-2) ve bu üçgenlerin her birinin iç açıları toplamı 180° olacağından konveks çokgenlerin iç açıları toplamı, (n-2) . 180° olur. Konveks bir yedigenin iç açıları toplamı (7-2). 180°= 900°’dir dolayısıyla doğru cevap B’dir.
2.Soru
O merkezli çember ; |OD| = 2.(3)1/2 birim ve r = çemberin yarıçapı = 4 birim ; pi = 3 ; taralı alan kaç birim2 ’dir?
|
3 . (2 – (3)1/2 ) |
|
2.5 . (2 – (3)1/2 ) |
|
2 . (2 – (3)1/2 ) |
|
1.5 . (2 – (3)1/2 ) |
|
2 – (3)1/2 |
a = |OD| ; b = |CD| = (16 - 12)1/2 = 2 ; x = COB açısı ; tan x = 2 / 4 = 1 / 2 ; x = 30 ; m = BC yayının alanı = 3 . 16 . (30/360) = 4 ; n = COD üçgeni alanu = (½) . 2 . 2.(3)1/2 = 2.(3)1/2 ; o = m – n = 4 – 2.(3)1/2 = 2 . (2 – (3)1/2 ) . Dooğru cevap C'dir.
3.Soru
Alanı A(ABCD) = a2 olarak hesaplanan şekil aşağıdakilerden hangisidir?
|
Yıldızıl |
|
Paralel kenar |
|
Deltoid |
|
Yamuk |
|
Kare |
Karenin Alanı
Bir kenarı a olan karenin alanı A(ABCD) = a2
4.Soru
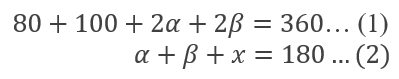
ABCD dörtgeninde [BE] ve [CE] açıortaylar olduğuna göre x açısı kaç derecedir?
|
75 |
|
80 |
|
85 |
|
90 |
|
95 |
Aşağıdaki şekil yardımıyla problemi çözelim.olur.
(1) nolu eşitlikten α+β=90 olup,
α+β+x=90+x=180 ise
x=90 olarak hesaplanır.
5.Soru
Eğimin yönünü aşağıdakilerden hangisi tanımlar?
|
Bakı |
|
Raster |
|
Yükseklik |
|
Kontur |
|
Kabartma |
Bakı, yamaç aşağı değişimin en fazla olduğu hücrenin değişiminin baktığı yönü tanımlar. Yani eğimin yönü olarak düşünülebilir. C¸ıktı rasterında her hücrenin değeri o hücrenin o konumda baktığı pusula yönünü verir. Saat yönünde derece cinsinden ölçülür, örneğin 0 derece kuzey ve 180 derece güney ve 360 derece yine kuzey olmak üzere. Yamaç eğimi barındırmayan düz yüzeylere ise “-1” değeri verilir. Yanıt A seçeneğidir.
6.Soru
Şekildeki çemberde a=5 cm,b=3 cm ve c=4 cm olduğuna göre d’nin uzunluğu kaç cm olur?
|
3 |
|
4 |
|
5 |
|
6 |
|
7 |
Çemberde dış kuvvet özelliğinden
a(a+b)=c(c+d)'dir.
O halde
5(5+3)=4(4+d)
40=4(4+d)
d=6 olur.
7.Soru
A ve D çembere teğet halde, m(ACD) yayı 100° iken, m(ABD) açısının ölçüsü nedir?
|
60° |
|
70° |
|
80° |
|
90° |
|
100° |
Çemberde, A ve D değme noktaları iken; m(ACD) +m(ABD) =180° 'dir. m(ABD)=180-100=80°’ dir.
8.Soru
Aşağıdaki çemberde F, G, H noktalarında teğet ; ED teğer ; |EB| = 7 birim, |DB| = 8 birim, |HE| = |GD|+2, Aşağıdaki şekilde verilen DBE üçgeninin çevresi 23 birim olduğuna göre |HE| kaç birimdir?
|
6.5 |
|
6 |
|
5.5 |
|
5 |
|
4.5 |
a = 8 ; b = 7 ; |ED| = 23 – (8 + 7) = 8 ; Z = ED'nin teğet noktadı ; |DZ| = |GD| ; |EZ| = |HE| ; |DZ| + |EZ| = 8 ; |HE| - 2 + |HE| = 8 ; |HE| = 5 . Doğru cevap D'dir.
9.Soru
Güneşin bulunduğu konumun açısal yönü olup, kuzeyden başlayarak saat yönünde ölçülen açıya ne ad verilir?
Güneşin bulunduğu konumun açısal yönü olup, kuzeyden başlayarak saat yönünde ölçülen açıya ne ad verilir?
|
Kabartma Açısı |
|
Gün Açısı |
|
Güneş Açısı |
|
Güney Açısı |
|
Kuzey Açısı |
Güney açışı, güneşin bulunduğu konumun açısal yönüne verilen isimdir, kuzeyden başlayarak saat yönünde ölçülür. 0’dan 360 dereceye kadar değer alır. 90 derece güney açısı doğuyu gösterir. Varsayılan güney açısı değeri 315 derecedir (Kuzeybatı). Yanıt D seçeneğidir.
10.Soru
- Karşılıklı kenarları birbirine paralel veya karşılıklı kenarları birbirine eşit olan dörtgene paralelkenar denir.
- Bir paralelkenarda karşılıklı kenarların uzunlukları ve karşılıklı açıların ölçüleri eşittir.
- Paralelkenarda komşu açılar bütünlerdir.
- Paralelkenarda köşegenler birbirini eşit iki parçaya ayırır.
- Paralelkenarın alanı; A(ABCD) = a.h’dır. (“a” yüksekliğin indiği kenarı simgelemektedir.)
Paralelkenar hakkında yukarıda yer alan ifadelerden hangileri doğrudur?
|
I ve II |
|
II ve III |
|
II, III ve IV |
|
II, III, IV ve V |
|
I, II, III, IV ve V |
- Karşılıklı kenarları birbirine paralel veya karşılıklı kenarları birbirine eşit olan dörtgene paralelkenar denir.
- Bir paralelkenarda karşılıklı kenarların uzunlukları ve karşılıklı açıların ölçüleri eşittir.
- Paralelkenarda komşu açılar bütünlerdir.
- Paralelkenarda köşegenler birbirini eşit iki parçaya ayırır.
- Paralelkenarın alanı; A(ABCD) = a.h’dır. (“a” yüksekliğin indiği kenarı simgelemektedir.)
Bu bilgilerden anlaşıldığı gibi paralelkenar hakkında seçeneklerde yer alan ifadelerin tümü doğrudur, dolayısıyla doğru cevap E’dir.
11.Soru
Aşağıdaki çemberde x = DEF açısı = 60 ̊ ; DEF açısının dış bölgesi ile çemberin ara kesiti olan çember yayının ölçüsü kaç derecedir?
|
300 |
|
240 |
|
210 |
|
150 |
|
120 |
DOF açısı = 2 x DEF açısı = 2 x 60 = 120o ; DOF açısının tümleyeni = 360 – 120 = 240o . Doğru cevap B'dir.
12.Soru
Bir Düzgün üçgenin dış açısının ve iç açısının ölçüsü aşağıdaki hangi şıkta doğru olarak verilmiştir?
|
Dış açı:75 - İç açı:105 |
|
Dış açı:90 - İç açı:90 |
|
Dış açı:45 - İç açı:135 |
|
Dış açı:60 - İç açı:120 |
|
Dış açı:78 - İç açı:108 |
Düzgün Beşgenin Özellikleri
• Bir dış açısının ölçüsü 72°, bir iç açısının ölçüsü ise 108°’dir