Coğrafi Bilgi Sistemleri İçin Temel Matematik Final 2. Deneme Sınavı
Toplam 19 Soru1.Soru
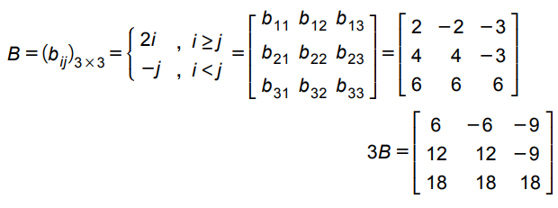
ve
matrisleri veriliyor. Buna göre 2A matrisinin ikinci satır üçüncü sütun elemanı ile 3B matrisinin üçüncü satır ikinci sütun elemanının toplamı aşağıdakilerden hangisidir?
|
20 |
|
21 |
|
22 |
|
23 |
|
24 |
A ve B matrislerinin tanımlarından;
olarak bulunur. Bu matrislere göre 2A matrisinin ikinci satır üçüncü sütun elemanı 4 ve 3B matrisinin üçüncü satır ikinci sütun elemanı 18 olup toplamları 22 olarak elde edilir. Dolayısıyla Doğru Cevap C seçeneği olur.
2.Soru
Aşağıdaki serilerden hangileri yakınsaktır?
I.
II.
III.
|
Yalnız I |
|
Yalnız II |
|
Yalnız III |
|
I ve II |
|
Hepsi |
3.Soru
f(x)=sinx fonksiyonunun 40. türevi aşağıdakilerden hangisidir?
|
cosx |
|
sinx |
|
40 sin x |
|
sin 40 x |
|
(sin x) 40 |
f(x)=sinx fonksiyonunun sırasıyla ilk dört türevi şu şekildedir:
f'(x)=cosx
f''(x)=-sin x
f'''(x) =-cosx
f'v (x)=sinx
Görülüyor ki sinx fonksiyonunun dördüncü türevi fonksiyonun kendisine eşittir, o halde 4 ve katları mertebeden türevlerde fonksiyonun kendisi yani sinx elde edileceği için f(40) (x)=sinx olur.
4.Soru
Aşağıdakilerden hangisi “Eğer X ise Y olsun” kuralından sonuç çıkarmada yapılan işlemleri özetlemektedir?
|
Kümeleme ve Düzen |
|
Durulaştırma ve analiz |
|
Üyelik derecesi ve Durulaştırma |
|
Yükseklik ve ağırlık merkezi yöntemi |
|
Kural hesaplama ve durulaştırma |
Kümeleme, kuralların ‘eğer ...’ bölümlerinin hesaplanması, Düzen kuralların ‘... olsun’ bölümlerinin hesaplanmasıdır.
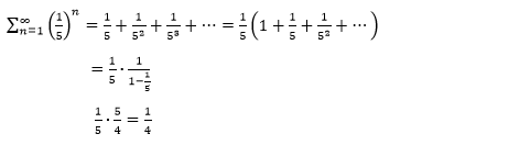
5.Soru
Kartezyen koordinat düzleminde
noktasının kutupsal karşılığı hangi seçenekte verilmiştir?
|
(1,45°) |
|
(2,60°) |
|
(3,75°) |
|
(4,90°) |
|
(5,105°) |
ve
olduğundan doğru cevap B seçeneğidir.
6.Soru
Aşağıdaki fonksiyonlardan hangisi dışbükeydir?
|
f (x) = – 3x2 |
|
f (x) = 3x3 – 5x |
|
f (x) = x4 + 10x2 |
|
f (x) = 3x |
|
f (x) = 10 |
Bir fonksiyonun dışbükey olması için fonksiyonun ikinci türevi sıfırdan büyük olmalıdır. Dolayısıyla f ''(x)= (x4 + 10x2)'' = 12x2 + 20 > 0 olduğundan f (x) = x4 + 10x2 fonksiyonu dışbükeydir.
7.Soru
Aşağıda verilen dizilerden hangisi ya da hangileri yakınsak olabilir?
|
Yalnız I |
|
Yalnız II |
|
I ve II |
|
II ve III |
|
I, II ve III |
serisi verilsin. Eğer p>1 ise seri yakınsak, aksi durumda seri ıraksaktır. Bu sebeple I no.lu dizi ıraksak, II ve III yakınsaktır. Doğru cevap D şıkkıdır.
8.Soru
Aşağıdaki dizilerden hangisi sınırlı dizidir?
|
|
|
|
|
|
|
|
|
|
Her n = 1,2,3,... için an M olacak şekilde bir M sayısı varsa
dizisine sınırlı dizi denir.
dizisi için M=1 alınırsa an
M elde edilir. Böylece
dizisi sınırlıdır.
9.Soru
(-3,4) noktası T öteleme dönüşümüyle (1,2) noktasına resmediliyor. Buna göre T dönüşümü hangi yönlerde ne kadar öteleme yapmaktadır?
|
x - ekseni yönüne 4 birim, y - ekseni yönünde 2 birim |
|
x - ekseni yönüne 4 birim, y - ekseni yönünde -2 birim |
|
x - ekseni yönüne -4 birim, y - ekseni yönünde 2 birim |
|
x - ekseni yönüne 3 birim, y - ekseni yönünde -1 birim |
|
x - ekseni yönüne -3 birim, y - ekseni yönünde 1 birim |
Bir öteleme dönüşümü T(x,y) = (x+a,y+b) biçimindedir. T(-3,4) = (1,2) olduğuna göre -3+a=1 ve 4+b=2 olmalıdır. Buradan a=4 ve b=-2 bulunur. Yani öteleme dönüşümü x - ekseni yönüne 4 birim, y - ekseni yönünde -2 birim öteleme yapar.
10.Soru
Aşağıdaki koordinat sisteminde gösterilen noktalardan hangisi hatalı gösterilmiştir?
|
A |
|
B |
|
C |
|
D |
|
E |
Çözüm: D noktasını incelediğimizde "x" koordinatının 2,y koordinatının ise -3 olduğunu grafik üzerinden görebiliriz. Dolayısıyla bu noktanın D(2,-3) gösterimine sahip olması gerekir. Fakat grafikte D(-3,2) olarak hatalı gösterilmiştir.
11.Soru
Aşağıdaki noktalardan hangisi 3. bölgede yer alır ?
|
(3,3) |
|
(3,-1) |
|
(-2,2) |
|
(-3,-2) |
|
(-1,5) |
I. bölgede x > 0, y > 0,
II. bölgede x < 0, y > 0,
III. bölgede x < 0, y < 0 ve
IV. bölgede x > 0, y < 0’dir.
13.Soru
K = (5, 1/5) noktası sx = 1/5 ve sy = 5 ile ölçeklendirilirse elde edilen yeni noktanın koordinatları ne olur?
|
(5,5) |
|
(1/5,5) |
|
(1,1) |
|
(5,1/5) |
|
(1/5,1/5) |
T(x,y) = (sx*x,sy*y) = (5*1/5,1/5*5) = (1,1) olacağından doğru cevap C seçeneğidir.
14.Soru
lim┬(n→∞)〖(n^2-n-1)/(n^2/2+5n+6)〗 dizisinin limitini hesaplayınız.
|
(-1)/6 |
|
0 |
|
1/2 |
|
1 |
|
2 |
lim┬(n→∞)〖(n^2-n-1)/(n^2/2+5n+6)〗 = lim┬(n→∞)〖(n^2 ( 1- 1/n - 1/n^2 ))/(n^2 ( 1/2+ 5/n+ 6/n^2 ))〗 = lim┬(n→∞)〖(( 1- 1/n - 1/n^2 ))/(( 1/2+ 5/n+ 6/n^2 ))〗 = 1/(1/2) = 2
16.Soru
Yukarıda koordinatları verilen A, B, C ve D noktalarının (Apsisler toplamı, Ordinatlar toplamı) kaçtır?
|
(0,1) |
|
(1,-2) |
|
(2,3) |
|
(3,-4) |
|
(4,5) |
A (3,4), B (-4,3), C (-2,-2) ve D (5,- 2)’dir. Apsisler toplamı: 3 + (-4) + (-2) + 5 = 2 ve ordinatlar toplamı: 4 + 3 + (-2) + (-2) = 3 olur. Dolayısıyla cevap (2,3), yani C seçeneği olur.
17.Soru
Modern anlamda belirsizlik kavramının değerlendirilmesi ile ilgili ilk bilgiler, kim tarafından literatüre kazandırılmıştır?
|
Lukasiewicz |
|
Planck |
|
Aristo |
|
Zadeh |
|
Mamdani ve Asilyan |
BULANIK MANTIĞIN TARİHÇESİ başlığı altında , 1930’larda ünlü Amerikan filozofu Max Planck tarafından belirsizliği açıklayıcı öncü kavramlar geliştirilmiş olsa da 1965’te Azeri kökenli sistem bilimci Zadeh tarafından yayımlanan makale modern anlamda belirsizlik kavramının değerlendirilmesinde önemli bir işaret taşı olarak kabul edilir açıklaması sayfa 177 nin başında yer almaktadır.
18.Soru
Tabanı kare olan ve yüksekliği ise taban çevresine eşit olan bir dik kare prizmanın toplam yüzey alanını veren fonksiyon aşağıdakilerden hangisidir?
|
|
|
|
|
|
|
|
|
|
Soruda Kare dik prizmanın taban çevresi, prizmanın yüksekliğine eşit olarak verildiğinden h=4a olarak ifade edilir. Buradan;
Kare dik prizmanın toplam yüzey alanı
eşitliği ile
yardımıyla hesaplanabilir. Bu nedenle Doğru Cevap D seçeneği olur.
19.Soru
? (x2 – 2x – 3) dx = ?
|
(2/3)x3 + C |
|
(1/3) x3 – x2 – 3x + C |
|
x3 – 3x + C |
|
(2/3)x2 – 3 +C |
|
2x – 2 + C |
? (x2 – 2x – 3) dx = (x2 + 1 / 2+1) – 2(x1 + 1 / 1+1) – 3x + C = (1/3)x3 – x2 -3x + C elde edilir.
-
- 1.SORU ÇÖZÜLMEDİ
- 2.SORU ÇÖZÜLMEDİ
- 3.SORU ÇÖZÜLMEDİ
- 4.SORU ÇÖZÜLMEDİ
- 5.SORU ÇÖZÜLMEDİ
- 6.SORU ÇÖZÜLMEDİ
- 7.SORU ÇÖZÜLMEDİ
- 8.SORU ÇÖZÜLMEDİ
- 9.SORU ÇÖZÜLMEDİ
- 10.SORU ÇÖZÜLMEDİ
- 11.SORU ÇÖZÜLMEDİ
- 12.SORU ÇÖZÜLMEDİ
- 13.SORU ÇÖZÜLMEDİ
- 14.SORU ÇÖZÜLMEDİ
- 15.SORU ÇÖZÜLMEDİ
- 16.SORU ÇÖZÜLMEDİ
- 17.SORU ÇÖZÜLMEDİ
- 18.SORU ÇÖZÜLMEDİ
- 19.SORU ÇÖZÜLMEDİ