Genel Matematik Ara 4. Deneme Sınavı
Toplam 19 Soru1.Soru
4x+9<-3x+9 eşitsizliğinin çözüm kümesi aşağıdakilerden hangisidir?
|
(-∞,0) |
|
|
|
|
|
(-∞,0] |
|
{0} |
4x+9<-3x+9⇒4x+3x<9-9 olur. Buradan 7x<0⇒x<0 olur. Dolayısıyla doğru cevap A'dır.
2.Soru
log2=a, log3=b ise log3600 a ve b değerinden eşittir?
|
2b+2 |
|
2a+2b+2 |
|
2a+2 |
|
2a+2b |
|
2 |
log3600=log(4.9.100)
log4+log9+log100=log22+log32+log102
2log2+2log3+2log10=2a+2b+2 olur. Dolayısıyla doğru cevap B'dir.
3.Soru
100 sayısının 10 tabanına göre logaritması kaçtır?
|
6
|
|
5
|
|
4
|
|
3
|
|
2
|
4.Soru
45 kişinin katıldığı bir toplantıda 21 kişi çay, 29 kişi kahve içmiştir. Çay ve kahve içenlerle, çay veya kahve içmeyenlerin sayısı 21 kişi olduğuna göre bu toplantıda kaç kişi sadece kahve içmiştir?
|
16 |
|
14 |
|
13 |
|
8 |
|
5 |
Toplantıya katılanların tümünün oluşturduğu küme E, toplantıda çay içenlerin kümesi Ç, kahve içenlerin kümesi K olsun. Bu kümelerin venn şeması ile gösterimi şu şekildedir:
Soruda verilenlere göre E kümesinin eleman sayısı a + b + c + d = 45’tir.
Çay içenlerin oluşturduğu küme Ç ve bu kümenin eleman sayısı a + b = 21’dir.
Kahve içenlerin kümesi K ve bu kümenin eleman sayısı b + c =29’dur.
Çay ve kahve içenlerin oluşturduğu küme K ve bu kümenin eleman sayısı b’dir.
Çay veya kahve içmeyenlerin oluşturduğu küme (K U Ç)t ve bu kümenin eleman sayısı d’dir.
Çay ve kahve içenlerle, çay veya kahve içmeyenlerin toplamı 21 kişi olduğuna göre b + d = 21’dir.
Sadece kahve içenlerin kümesi K \ Ç kümesi ve bu kümenin eleman sayısı c’dir.
Bizden istenen c sayısıdır. Verilenleri alt alta yazalım, birlikte çözelim ve c sayısını bulalım:
a + b = 21 ise a = 21 – b
b + c = 29 ise c = 29 – b
b + d = 21 ise d = 21 – b
a + b + c + d = 45 ise (21 – b ) + b + (29 – b ) + ( 21 – b ) = 45 olur,
Buradan 71 – 2b = 45 olur ve b = 13 bulunur.
C = 29 – b olduğu için c = 29 – 13 = 16 olur.
Doğru cevap A şıkkıdır.
5.Soru
Aşağıdaki verilen eşitliklerden hangisi doğrudur?
|
|
|
|
|
|
|
|
|
|
Gerçel sayıların (pozitif veya negatif olabilir) çift kuvvetleri her zaman pozitiftir. Dolayısıyla köklü ifadelerde; kök derecesi çift olduğunda kök içindeki sayının her zaman pozitif olması gerekir; diğer bir ifadeyle çift dereceli köklü ifadelerde kökün içi negatif ise verilen sayı gerçel sayı olmaz. Dolayısıyla B, C ve E şıklarında verilen köklü ifadelerde kök dereceleri çift olduğu için kök içindeki sayı negatif olamaz.
A ve C şıklarında kök derecesi tek olduğu için kökün içi negatif olabilir; ancak D şıkkında (-2)3 =8 olacağı için verilen köklü ifade yanlış oluyor.
Doğru cevap A şıkkında verilmiştir.
6.Soru
Aşağıdakilerden hangisi bir küme belirtir?
|
Sınıfımızın güzel kızları |
|
Sınıfımızdaki kısa boylu öğrenciler |
|
Okulumuzdaki zeki öğrenciler |
|
Okulumuzdaki gözlüklü öğrenciler |
|
Sınıfımızdaki çalışkan öğrenciler |
Küme kavramını tanımlarken topluluğun “iyi tanımlanmış” nesnelerden oluşmasına dikkat edilmelidir. “iyi tanımlanmış” ile anlatılmak istenen bir nesnenin bu kümeye ait olup olmadığını kesin olarak ayırt etmemiz için yeterli bilginin verilmiş olması gerekir.
“ sınıfın güzel kızları”, “sınıfın kısa boylu öğrencileri”, “okulun zeki öğrencileri” veya “sınıfın çalışkan öğrencileri” kişiden kişiye farklılık gösterebilir. Ancak “okuldaki gözlüklü öğrenciler” kişilere göre farklılık içermez, gözlük takan öğrencileri herkes aynı şekilde tanımlayacaktır.
Doğru cevap D şıkkıdır.
7.Soru
Richter ölçeğine göre 7 büyüklüğündeki bir depremin genliği, 6 büyüklüğündeki bir depremden kaç kat büyüktür?
|
2 |
|
5 |
|
10 |
|
50 |
|
100 |
8.Soru
A={1,2,3,4} ve B={x | x bir doğal sayı ve x<9} ise B\A kümesi aşağıdakilerden hangisidir?
|
{5,6,7,8}
|
|
{1,2,3,4}
|
|
{1,2,3,4,5,6,7,8}
|
|
Ø
|
|
{2,4,6,8}
|
9.Soru
(-3,5], [-4,4) yarı-açık aralıklarının kesişimi aşağıdakilerden hangisidir?
|
(-3, 4) |
|
[-3, 4) |
|
(-3, 4] |
|
[-3, 4] |
|
[-4, 5] |
( -3, 5 ] aralığı 5 dahil olmak üzere -3 ve 5 aralığındaki tüm reel sayılardan oluşur. bu kümeye -3 dahil değildir.
[ -4, 4 ) aralığı -4 dahil olmak üzere -4 ve 4 aralığındaki tüm reel sayılardan oluşur. bu kümeye 4 dahil değildir.
Kümeler için kesişim kümesi her ikisinde de bulunan ortak elemanlardan oluşacağı için (-3,5] ile [-4,4) aralığının kesişim kümesinde her iki aralıkta da bulunan ortak reel sayılardan oluşur. Kesişim kümesi -3 ve 4 aralığındaki reel sayılardan oluşur. bu kümeye hem -3 hem de 4 sayıları dahil değildir. Dolayısıyla kesişim kümesi (-3, 4) olur.
Doğru cevap A şıkkıdır.
11.Soru
ifadesinin eşiti aşağıdakilerden hangisidir?
|
40 |
|
60 |
|
80 |
|
100 |
|
120 |
ifadesini üslü sayılar yardımıyla biraz açtığımızda;
sonucuna ulaşırız. Dolayısıyla Doğru Cevap C seçeneği olur.
12.Soru
log120-log96+log80 ifadesinin değeri aşağıdakilerden hangisidir?
|
1 |
|
2 |
|
3 |
|
4 |
|
5 |
13.Soru
lnx=y olduğuna göre logx^3 aşağıdakilerden hangisine eşittir
|
3xloge
|
|
3loge
|
|
yloge
|
|
3yloge
|
|
3y
|
14.Soru
Murat'ın 60 TL’si var. Bu paranın 26 TL’si ile iki defter alıyor. Murat geriye kalan parası ile tanesi 5 TL olan kalemlerden en fazla kaç tane satın alabilir?
|
6 |
|
5 |
|
4 |
|
3 |
|
2 |
60-26=34
34/5= 6,8 ise en fazla 6 tam kalem alınabilir.
15.Soru
4(x-2)-(x+5)=3(x+2) çözümü aşağıdakilerden hangisidir?
|
ø |
|
2 |
|
-2 |
|
3 |
|
-1 |
4(x-2)-(x+5)=3(x+2) çözümü yapıldığı zaman,
4.x-4.2-x-5=3.x+6
3x-13=3x+6 bilineeler ve bilinmeyenler bir tarafa alındığında,
3x-3x=6+13
0=19 olur. Bu eşitlik doğru olmadığından, çözüm kümesi boş kümedir.
Doğru cevap A şıkkıdır.
16.Soru
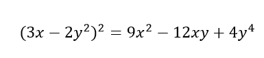
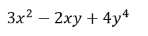
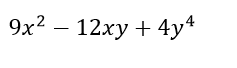
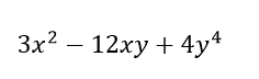
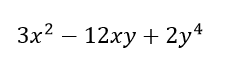
25x2 – 20x + 4 = 0 denkleminin çözüm kümesi aşağıdakilerden hangisidir?
|
{1} |
|
{1/5} |
|
{2/5} |
|
{3, 5} |
|
Ø |
25x2 – 20x + 4 = 0 denklemini çözmek için önce ? hesaplanır.
Delta sıfıra eşit olduğundan denklemin çözümünde tek kök vardır.
olur.
17.Soru
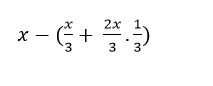
Ali parasının 1/3 'ü ile kitap, kalan parasının 1/2'si ile de dergi alıyor. Kalan parası 90 TL olduğuna göre Ali'nin başlangıçta ne kadar parası vardı?
|
200 |
|
220 |
|
250 |
|
270 |
|
300 |
denklemi çözüldüğünde sonnuç 270 elde edilir.
18.Soru
log3(1/81) sayısının değeri aşağıdakilerden hangisidir?
|
1 |
|
-2 |
|
1/2 |
|
-4 |
|
1/4 |
olur.
19.Soru
Yaklaşık olarak log 5 = 0.7 olduğuna göre log 25 nedir?
|
0.9
|
|
1
|
|
1.4
|
|
1.5
|
|
1.6
|
-
- 1.SORU ÇÖZÜLMEDİ
- 2.SORU ÇÖZÜLMEDİ
- 3.SORU ÇÖZÜLMEDİ
- 4.SORU ÇÖZÜLMEDİ
- 5.SORU ÇÖZÜLMEDİ
- 6.SORU ÇÖZÜLMEDİ
- 7.SORU ÇÖZÜLMEDİ
- 8.SORU ÇÖZÜLMEDİ
- 9.SORU ÇÖZÜLMEDİ
- 10.SORU ÇÖZÜLMEDİ
- 11.SORU ÇÖZÜLMEDİ
- 12.SORU ÇÖZÜLMEDİ
- 13.SORU ÇÖZÜLMEDİ
- 14.SORU ÇÖZÜLMEDİ
- 15.SORU ÇÖZÜLMEDİ
- 16.SORU ÇÖZÜLMEDİ
- 17.SORU ÇÖZÜLMEDİ
- 18.SORU ÇÖZÜLMEDİ
- 19.SORU ÇÖZÜLMEDİ