Genel Matematik Final 11. Deneme Sınavı
Toplam 20 Soru1.Soru
x-y=1 , x+y=3 sistemini yok etme yöntemi ile çözünüz.
|
(1,2)
|
|
(2,1)
|
|
(2,2)
|
|
(1,1)
|
|
(1,-2)
|
2.Soru
işleminin sonucu nedir?
|
-x+c |
|
9x+c |
|
–9x+c |
|
x+c |
|
|
Sabit sayı var ise yanına x ekle + c
3.Soru
f(x)=(2x+5)^3 ise f'(0) değeri nedir?
|
15 |
|
70 |
|
60 |
|
50 |
|
150 |
Zincir kuralı gereğince,
elde edilir. Buradan da f'(0)=6(2.0+5)2=150 olur. Dolayısıyla E'dir.
4.Soru
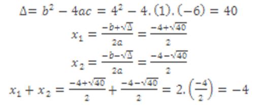
x2+4x-6=0 denkleminin kök toplamı aşağıdakilerden hangisidir?
|
-4 |
|
0 |
|
4 |
|
|
|
|
İkinci dereceden denklemin köklerini bulmak için
5.Soru
Matrislerle ilgili aşağıdaki verilenlerden hangisi doğrudur?
|
Bir matrisle çarpmaya göre tersinin çarpımı sıfır matrisidir.
|
|
İki matrisin çarpımının anlamlı olması için ilk matrisin sütün sayısı ile ikinci matrisin sütun sayısı eşit olmalıdır.
|
|
Bir matrisle toplamaya göre tersinin toplamı birim matristir.
|
|
Bir matrisi bir skalerle çarpmak bir satırını bu skalerle çarpmaktır.
|
|
İki matrisin toplanabilmesi için satır ve sütun sayılarının aynı olması gerekir.
|
6.Soru
x ekseni boyunca hareket eden bir cismin t anındaki hızı v(t)=t+2 formülü ile veriliyor. Bu cisim t=0 anında başlangıç noktasında (orijinde) olduğuna göre bu cismin konum fonksiyonu aşağıdakilerden hangisidir?
|
t2/2+2t |
|
t2+2t |
|
3t2+t |
|
t2+2t+1 |
|
(t-1)2 |
Konum fonksiyonunun türevi hız fonksiyonuna eşit olduğundan F'(x)=v(t)=t+2 ve cisim t=0 anında orijinde olduğundan F(0)=0'dır. O halde,
ve F(0)=0 olduğundan F(0)=02/2+2.0+C=0 ise C=0 olarak bulunur. Dolayısıyla F(t)=t2/2+2t olur.
7.Soru
Bir tüccar 10000 TL parasının %60’ı ile fiyatı 6 TL olan hisse senedi alıyor. Kalan parası ile fiyatı 16TL olan başka bir hisse senedi alıyor. Bir ay sonra 6TL’lik kâğıt 8TL, 16TL’lik kâğıt 17TL oluyor. Bu tüccarın toplam kârı ne kadardır?
|
1500 |
|
1750 |
|
2000 |
|
2250 |
|
2500 |
- %60= 6000TL
6000/6=1000 tane
10000 – 6000 = 4000TL kalan para
4000/16=250 tane
8 – 6 =2TL x 1000 = 2000 TL kar
17 – 16 = 1TL x 250 = 250 TL kar
Toplam kar = 2000 + 250 = 22250 TL
8.Soru
f (x) = x(x+1)+4 ise f ' (x) = ?
|
x
|
|
2x
|
|
2x+4
|
|
2x+3
|
|
2x+1
|
9.Soru
Belirli bir sayıdaki kalemi belirli bir sayıdaki kalem kutularına eşit sayıda dağıtarak yerleştirmemiz istenmektedir. Eğer her bir kutuya 8 er kalem koyarsak 16 kalem açıkta kalmaktadır. Eğer her bir kutuya 10 ar kalem koyarsak bu kez de 4 kutu boş kalmaktadır. Bu durumda kalemlerin toplam sayısı kaçtır?
|
250
|
|
255
|
|
240
|
|
245
|
|
Hiç biri.
|
10.Soru
ise f’(2) değeri nedir?
|
97/4 |
|
90/4 |
|
97/2 |
|
87/4 |
|
95/2 |
f’(x)=6x2+2x-3
f’(2)=622+2.2-3=97/4
11.Soru
f(x)=x^2-5 in [1,2] aralığı üzerindeki ortalama değeri nedir?
|
8/3
|
|
-8/3
|
|
5/3
|
|
-5/3
|
|
4
|
12.Soru
fonksiyonunun x=-1 noktasındaki ikinci mertebeden türevinin değeri aşağıdakilerden hangisidir?
|
-1 |
|
-2 |
|
2 |
|
1 |
|
0 |
ise
ve
olur. Fonksiyonunun x=-1 noktasındaki ikinci mertebeden türevinin değeri ise f''(-1)=2/(-1)3 +2=0 hesaplanır.
13.Soru
2x-3y=6x+5y=10 denklem sisteminin katsayılar matrisi aşağıdakilerden hangisidir?
|
[2 -3] [1 5]
|
|
[3 -3] [1 5]
|
|
[2 -3] [1 10]
|
|
[3 6] [5 10]
|
|
[2 6] [1 10]
|
14.Soru
f (x)= x^3-6x -4 fonksiyonunun grafiğine (2,-12) noktasında çizilecek teğet doğrusunun denklemi nedir?
|
y = 6x+24
|
|
y = -6x+24
|
|
y = 6x
|
|
y = 6x-24
|
|
y = -6x-24
|
15.Soru
f: R-{3}›R-{2},f(x)= (2x+7)/(x-3) fonksiyonunun tersi aşağıdakilerden hangisidir?
|
f^(-1) (x)=(3x+7)/(x-2)
|
|
f^(-1) (x)=(x-3)/(2x+7)
|
|
f^(-1) (x)=(3x-7)/(x+2)
|
|
f^(-1) (x)=(2x-7)/(x+3)
|
|
f^(-1) (x)=(3x-7)/(x+3)
|
16.Soru
Ortak farkı 2 olan aritmetik bir dizinin 100. terimi ile 97. terimi arasındaki fark kaçtır?
|
6 |
|
7 |
|
8 |
|
9 |
|
10 |
Bu diziyi an ile gösterelim. Ortak fark 2 olduğuna göre n ne olursa olsun an+1-an=2 olur. Bu durumda
bu üç denklemi taraf tarafa toplarsak a100-a97=6 bulunur. Doğru cevap A'dır.
17.Soru
fonksiyonu için f'(2) aşağıdakilerden hangisidir?
|
1/2 |
|
0 |
|
-1/2 |
|
3/2 |
|
-3/2 |
olur. f'(2) ise (-4-4)/16=-1/2 olur.
18.Soru
Aşağıdaki sayıların hangisi en büyüktür?
|
log2 8 |
|
log3 9 |
|
log525 |
|
log 100 |
|
log10 |
Doğru cveap A'dır.
19.Soru
Türevi 5x olan bir polinom fonksiyon kaçıncı dereceden polinom fonksiyondur?
|
1
|
|
2
|
|
5
|
|
7
|
|
8
|
20.Soru
Bir bankadan %1, 25 aylık faiz oranı ve24 ay vade ile 1000 TL tüketici kredisi çekilirse,aylık geri ödeme taksitleri ne kadar olur?
|
48,48
|
|
78
|
|
28
|
|
18
|
|
50
|
-
- 1.SORU ÇÖZÜLMEDİ
- 2.SORU ÇÖZÜLMEDİ
- 3.SORU ÇÖZÜLMEDİ
- 4.SORU ÇÖZÜLMEDİ
- 5.SORU ÇÖZÜLMEDİ
- 6.SORU ÇÖZÜLMEDİ
- 7.SORU ÇÖZÜLMEDİ
- 8.SORU ÇÖZÜLMEDİ
- 9.SORU ÇÖZÜLMEDİ
- 10.SORU ÇÖZÜLMEDİ
- 11.SORU ÇÖZÜLMEDİ
- 12.SORU ÇÖZÜLMEDİ
- 13.SORU ÇÖZÜLMEDİ
- 14.SORU ÇÖZÜLMEDİ
- 15.SORU ÇÖZÜLMEDİ
- 16.SORU ÇÖZÜLMEDİ
- 17.SORU ÇÖZÜLMEDİ
- 18.SORU ÇÖZÜLMEDİ
- 19.SORU ÇÖZÜLMEDİ
- 20.SORU ÇÖZÜLMEDİ