Genel Matematik Final 45. Deneme Sınavı
Toplam 20 Soru1.Soru
Bir öğretmen öğrencilerine dağıtmak için fiyatı 5 lira olan defterlere ve fiyatı 2 lira olan kalemlere toplam 160 lira para ödüyor. Öğretmen defter ve kalemlerden toplam 35 tane aldığına göre kaç tane kalem satın almıştır?
|
5 |
|
10 |
|
20 |
|
30 |
|
35 |
Defter sayısına x dersek kalem sayısı 35-x olur. Verilenlerden 5x+2(35-x)=160 denklemi elde edilir. Bu denklemi çözersek, 3x=90 buradan da defter sayısı x=30 bulunur. Böylece kalem sayısı 35-30 =5 dir.
3.Soru
f:R›R olmak üzere f(x)fonksiyonu için f(x+2)=(x+3)/(x+2) ise f(x) fonksiyonun x=2 noktasndaki teğetinin eğimi kaçtır?
|
1/4
|
|
-1/16
|
|
-1/4
|
|
1/16
|
|
1/2
|
4.Soru
fonksiyonunun grafiğine (4, 1/2) noktasında çizilecek teğet doğrusunun denklemi aşağıdakilerden hangisidir?
|
y=1/16 x+4 |
|
y=-16x+ 3/4 |
|
y=-1/16 x+ 3/4 |
|
y=16x+4 |
|
y=-4x+16 |
f fonksiyonunun türevi f'(x)=-1/2 x-3/2 olduğundan eğim m=f'(4)=-1/16 olur. (4, 1/2) noktasında çizilecek teğet doğrusunun denklemi ise y= -1/16 (x-4) +1/2=-1/16 x +3/4 olur.
5.Soru
log2x=-4 ise x' in değeri aşağıdakilerden hangisidir?
|
1/16 |
|
1/8 |
|
1/4 |
|
1/2 |
|
1 |
y=logax ise ay=x olduğunu biliyoruz. Buna göre log2x=-4 ise
x=2-4=1/24=1/16 olarak elde edilir. Dolayısıyla cevap A seçeneğidir.
6.Soru
f(x) = 3x^2+7x fonksiyonunun azalan olduğu aralık nedir?
|
( -7/6, 7/6)
|
|
( 7/6,∞)
|
|
( -7/6,∞)
|
|
(-∞, 7/6)
|
|
(-∞, -7/6)
|
7.Soru
Bir geometrik dizinin ilk terimi 6 ve ortak çarpanı 4 ise 4'üncü terimi kaç olur?
|
342
|
|
348
|
|
396
|
|
400
|
|
442
|
8.Soru
ve A=B olduğuna göre t+x+y+z kaçtır?
|
6 |
|
7 |
|
8 |
|
9 |
|
10 |
Matrisler birbirine eşitse aynı satır ve sütundaki elemanları da birbirine eşittir.
x=1
2x=z=2.1=2
t=3x=3.1=3
y=x+t=1+3=4 elde edilir.
t+x+y+z = 3 +1 + 4 + 2 = 10 olur.
9.Soru
Aşağıdakilerden hangisi yanlıştır?
|
İki doğru hiçbir noktada birbirini kesmeyebilir.
|
|
İki doğru tek noktada kesişebilir.
|
|
Herhangi iki paralel doğrunun eğimleri çarpımı 0’dır.
|
|
Birbirine dik doğruların eğimleri çarpımı -1’dir.
|
|
Hiçbiri
|
10.Soru
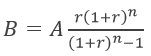
Bir bankadan %0,79 aylık faiz oranı ve 48 ay vade ile 10000 TL tüketici kredisi çekilirse, aylık ödeme taksitleri kaç TL olur?
|
235 |
|
253 |
|
270 |
|
300 |
|
315 |
borç amortisman formülünden bankaya ödenecek taksit bulunur. Bu soru için formüldeki değerler A=10000, r=0,0079, n=48' dir. Böylece ödenecek aylık taksit
bulunur.
11.Soru
16x2-24x+9?0 eşitsizliğinin çözüm kümesi aşağıdakilerden hangisidir?
|
|
|
|
|
|
|
|
|
|
12.Soru
Ortak çarpanı 2 ve ilk terimi 4 olan bir geometrik dizinin 8. terimi aşağıdakilerden hangisidir?
|
512
|
|
128
|
|
64
|
|
32
|
|
1024
|
13.Soru
Genliği 20 mm olarak ölçülen bir depremin büyüklüğü yaklaşık olarak kaç olabilir?
|
5
|
|
5,1
|
|
4
|
|
4,3
|
|
4,9
|
14.Soru
Aşağıdaki seçeneklerden hangisi yanlıştır?
|
Üstel fonksiyonun tanım kümesi gerçel sayılardır.
|
|
f(x)=a^x fonksiyonu a sıfırdan büyük ve 1’den farklı olmak üzere her zaman x=0 için 1 değerini alır.
|
|
f(x)=a^x fonksiyonu her a>1 sayısı için f(x)>=1 olur.
|
|
Üstel fonksiyon birebirdir.
|
15.Soru
Bir bankanın aylık faiz oranı %1,5 ise yıllık faiz oranı yaklaşık ne olur?
|
15
|
|
16
|
|
17
|
|
18
|
|
19
|
16.Soru
1200 TL alınan bir mal %40 zararla ne kadara satılır?
|
480
|
|
620
|
|
720
|
|
920
|
|
1240
|
17.Soru
Kızının dikkatli para harcaması için her hafta farklı bir kural uygulayan bir baba bu haftadaki kuralında kızına bir önceki günün yarısı kadar harçlık verdiğine göre ilk gün 32 lira alan çocuk 5. günün sonunda babasından toplam kaç lira para almış olur?
|
48
|
|
56
|
|
60
|
|
62
|
|
63
|
18.Soru
Ortak çarpanı 1/5 ve ilk terimi 4 olan bir geometrik dizinin 5. terimi kaçtır?
|
1/125 |
|
4/125 |
|
4/225 |
|
4/625 |
|
1/3125 |
Dizinin ilk 5 terimi 4, 4/5, 4/25, 4/125, 4/625’dir. Dolayısıyla cevap 4/625 olacaktır.
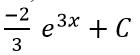
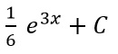
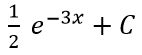
19.Soru
|
|
|
|
|
|
|
|
|
|
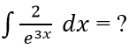
Sorulan integrali
olarak yazalım.
olur.
Doğru cevap E seçeneğidir.
20.Soru
Sezon fiyatı 250TL olan bir ceket indirimde 150 TL ye düşmüştür. İndirimin oranı nedir?
|
%40
|
|
%50
|
|
%70
|
|
%20
|
|
%10
|
-
- 1.SORU ÇÖZÜLMEDİ
- 2.SORU ÇÖZÜLMEDİ
- 3.SORU ÇÖZÜLMEDİ
- 4.SORU ÇÖZÜLMEDİ
- 5.SORU ÇÖZÜLMEDİ
- 6.SORU ÇÖZÜLMEDİ
- 7.SORU ÇÖZÜLMEDİ
- 8.SORU ÇÖZÜLMEDİ
- 9.SORU ÇÖZÜLMEDİ
- 10.SORU ÇÖZÜLMEDİ
- 11.SORU ÇÖZÜLMEDİ
- 12.SORU ÇÖZÜLMEDİ
- 13.SORU ÇÖZÜLMEDİ
- 14.SORU ÇÖZÜLMEDİ
- 15.SORU ÇÖZÜLMEDİ
- 16.SORU ÇÖZÜLMEDİ
- 17.SORU ÇÖZÜLMEDİ
- 18.SORU ÇÖZÜLMEDİ
- 19.SORU ÇÖZÜLMEDİ
- 20.SORU ÇÖZÜLMEDİ