İstatistik 1 Final 15. Deneme Sınavı
Toplam 20 Soru1.Soru
İçerisinde 20 yumurta olan bir kolideki yumurtaların 6 tanesi bozuktur. Bu koliden seçilen yerine konulmaksızın arka arkaya iki tane yumurta rasgele seçilmiştir. Seçilen yumurtalardan birincisinin bozuk ikincisinin sağlam olma olasılığı kaçtır?
|
0,11
|
|
0,22
|
|
0,33
|
|
0,44
|
|
0,55
|
2.Soru
Aşağıdakilerden hangisi sürekli bir rassal değişkene örnek olarak verilebilir?
|
Bir bankaya bir ayda gelen müşteri sayısı
|
|
Bir bankada bir ayda yapılan işlem sayısı
|
|
Bir bankada bir ayda verilen kredi sayısı
|
|
Bir bankada bir ayda verilen kredi miktarının tutarı (TL olarak)
|
|
Bir bankada bir ayda yapılan EFT sayısı
|
3.Soru
Aşağıdakilerden hangisi sürekli bir rassal değişken olarak tanımlanabilir?
|
Bir sınıftaki sağ elle yazan öğrencilerin sayısı |
|
Bir aracın 1 depo benzinle gidebileceği mesafe |
|
Bir dükkana 2 saat içinde giren müşteri sayısı |
|
Bir kütüphanedeki dergilerin sayısı |
|
Bir postanedeki aylık gönderilen mektup sayısı sayısı |
Rassal değişkenler, aldıkları değerlere göre kesikli (discrete) ya da sürekli (continuous) olarak adlandırılırlar. Değer kümesi sayılabilir (countable) olan rassal değişkenler kesikli, sayılamayan (uncountable) olan rassal değişkenler ise sürekli olarak isimlendirilir.
4.Soru
Aşağıdakilerden hangisi bir fonksiyonun olasılık dağılımı olarak tanımlanabilmesi için sağlanması gereken özelliklerden biridir?
|
|
|
|
|
|
|
|
|
|
Bir fonksiyonun, olasılık dağılımı olarak tanımlanabilmesi için şu verilen özelliklerin sağlanması gerekir: (i) X kesikli rassal değişkeninin, herhangi bir x‘e eşit olma olasılığı, 0 ile 1 arasında değişir. Bir başka deyişle,
koşulu sağlanmalıdır. (ii) X kesikli rassal değişkeninin, x‘in tüm olası değerlerine eşit olma olasılıklarının toplamı 1’e eşittir. Bir başka deyişle,
koşulu sağlanmalıdır.
5.Soru
Ortalaması 10 standart sapması 2 olan bir normal dağılım veriliyor. P( X<10) olasılığı kaçtır?
|
0 |
|
0.1985 |
|
0.4015 |
|
0.5 |
|
1 |
Hiç hesap yapmadan ilgili olasılık bulunabilir. Normal dağılımda ortalamanın sağında ve solunda kalan alan 0.5’tir.
6.Soru
Bir olayın gerçekleştiğinin bilinmesi durumunda diğer bir olayın gerçekleşme olasılığına ne ad verilir?
|
Koşullu olasılık
|
|
Bileşik olasılık
|
|
Bağımsız Olasılık
|
|
Marjinal olasılık
|
|
Bileşen olasılık
|
7.Soru
Bir öğrencinin haftalık okuduğu kitaplardaki yaprak sayısı ortalama 250 ve standart sapması 35 sayfadır. Bu öğrencinin 280 yapraktan fazla okuma olasılığı kaçtır ?
|
0,0222
|
|
0,053
|
|
0,1977
|
|
0,6443
|
|
0,8522
|
8.Soru
Aşağıdakilerden hangisi sürekli rassal değişken olamaz?
|
Çocuğun boy uzunluğu
|
|
Ailenin geliri
|
|
Paketin ağırlığı
|
|
Üretilen kusurlu ürün sayısı
|
|
Ürünün montaj süresi
|
9.Soru
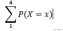
| X=x | 1 | 2 | 3 | 4 |
| P (X=x) | 0.15 | 0.21 | 0.44 | c |
P(X= x) fonksiyonunun bir olasılık dağılımı olabilmesi için c sabiti ne olmalıdır?
|
0.05 |
|
0.10 |
|
0.20 |
|
0.30 |
|
0.40 |
= P (X=1)+P(X=2)+P(X=3)+P(X=4)=1
=0.15+0.21+0.44+c=1
c=0.20 olarak hesaplanır.
10.Soru
P (B)=0.30 ve P (A|B)=0.70 değerleri veriliyor ise A ve B olaylarının bileşik olasılığı kaçtır?
|
1 |
|
0.77 |
|
0.73 |
|
0.40 |
|
0.21 |
P(A|B) = P(A∩B) / P(B) formülünde değerler yerine yazılırsa; P (A∩B)=(0.30) (0.70)= 0.21 olarak bulunur. Doğru yanıt E'dir.
11.Soru
A olayının olasılığı P(A)= 0.8 ve A’ ya bağlı B olayının ortaya çıkma olasılığı P(B│A)= 0.4 ise A ve B olayının birlikte ortaya çıkma olasılığı P(A∩B)'yi hesaplayınız.
|
0.22
|
|
0.32
|
|
0.42
|
|
0.52
|
|
0.62
|
12.Soru
Sürekli X rassal değişkeni, 0 ? x ? 6 aralığında düzgün dağılıma sahip olsun. X rassal değişkeninin ortalama ve varyans değerleri sırasıyla hangi şıkta doğru verilmiştir?
|
1 ve 3
|
|
3 ve 1
|
|
3 ve 3
|
|
3 ve 6
|
|
6 ve 6
|
13.Soru
Standart normal dağılıma sahip Z rassal değişkeni için P(Z ? -0,78 ) olasılık değeri aşağıdakilerden hangisidir?
|
0,2367
|
|
0,3257
|
|
0,4307
|
|
0,5432
|
|
0,7823
|
14.Soru
Bir olayın gerçekleşme olasılığı, başka bir olayın gerçekleşme olasılığına bağlı ise bu olasılığa ne ad verilir?
|
Klasik olasılık |
|
Göreli olasılık |
|
Marjinal olasılık |
|
Koşullu olasılık |
|
Birleşik olasılık |
Bir olayın gerçekleşme olasılığı, başka bir olayın gerçekleşme olasılığına bağlı ise bu olasılığa koşullu olasılık adı verilir.
15.Soru
Bir avukata her gün boşanma davası gelme olasılığı 0,03 bu avukata rastgele seçilen 100 gün içerisinde en çok 2 kez boşanma davası gelme olasılığı nedir.
|
0,423
|
|
0,512
|
|
0,128
|
|
0,249
|
|
0,320
|
16.Soru
Standart normal dağılıma sahip Z değişkeni için olasılığını bulunuz?
|
0,2015 |
|
0,1056 |
|
0,2345 |
|
0,3944 |
|
0,4567 |
Aranan olasılık değeri, standart normal dağılım eğri altında ve z = 1,25’in sağında kalan alandır. Burada dikkat edilmesi gereken husus, standart normal dağılım tablosunda yer alan değerler, ortalama (z = 0)ile verilen z değeri arasındaki alanlardır. Ancak soruda, z = 1,25 değerinin sağındaki alan sorulmaktadır.
Bu nedenle, z = 0 ile z = 1,25 arasındaki alan değeri tablodan bulunur ve ortalamanın (z = 0’ın) sağındaki toplam alan değeri olan 0.5’ten çıkarılırsa, z=1,25’in sağındaki alan değeri elde edilir.
Buna göre olasılık değeri
0,5-0,3944=0,1056 olur.
17.Soru
Verilen grafik ne tür bir grafiktir?
|
Çubuk |
|
Histogram |
|
Birikimli |
|
Pasta |
|
Serpilme Diyagramı |
Sözel değişkenlerin oransal frekanslarını göstermek için kullanılan dairesel grafiktir.
18.Soru
Bir torbada 5 kırmızı 5 sarı top bulunmaktadır. Bu torbadan aynı anda üç top rasgele alınıyor. Alınan toplardan 2'sinin kırmızı, 1 tanesinin sarı olma olasılığı aşağıdakilerden hangisidir?
|
1/9 |
|
1/18 |
|
15/72 |
|
5/36 |
|
2/3 |
Toplamda 5K + 5S = 10 top vardır.
İlk topun kırmızı gelme olasılığı 5/10 olur.
Aynı anda seçim olduğu için ilk seçilen kırmızdan bir eksilme olur, dolayısıyla toplam top sayısı da bir eksilir. İkinci topun kırmızı gelme olasılığı 4/9 olur.
Üçüncü topun sarı gelme olasılığı; kırmızlardan iki tane eksildiği için toplamdan da iki tane eksilir ve 5/8 olur. Buna göre KKS olasılığı;
5/10*4/9*5/8=5/36 olarak bulunur. Doğru yanıt D'dir.
19.Soru
Bir olayın, belirlenen bir zaman veya mekan (uzay) aralığında gerçekleşme sayısını modellemede kullanılan dağılım hangisidir?
|
Bernoulli
|
|
Binom
|
|
Poisson
|
|
Düzgün
|
|
Normal
|
20.Soru
A dersini alan öğrencilerin, not ortalamasının 60 puan ve standart sapmasının 9 puan olan normal dağılıma uyduğu bilinmektedir. Bu dersi alan öğrenciler arasından rastgele seçilen bir öğrencinin puanının 72’den büyük olması olasılığı nedir?
|
0,0918
|
|
0,1836
|
|
0,3413
|
|
0,3672
|
|
0,4082
|
-
- 1.SORU ÇÖZÜLMEDİ
- 2.SORU ÇÖZÜLMEDİ
- 3.SORU ÇÖZÜLMEDİ
- 4.SORU ÇÖZÜLMEDİ
- 5.SORU ÇÖZÜLMEDİ
- 6.SORU ÇÖZÜLMEDİ
- 7.SORU ÇÖZÜLMEDİ
- 8.SORU ÇÖZÜLMEDİ
- 9.SORU ÇÖZÜLMEDİ
- 10.SORU ÇÖZÜLMEDİ
- 11.SORU ÇÖZÜLMEDİ
- 12.SORU ÇÖZÜLMEDİ
- 13.SORU ÇÖZÜLMEDİ
- 14.SORU ÇÖZÜLMEDİ
- 15.SORU ÇÖZÜLMEDİ
- 16.SORU ÇÖZÜLMEDİ
- 17.SORU ÇÖZÜLMEDİ
- 18.SORU ÇÖZÜLMEDİ
- 19.SORU ÇÖZÜLMEDİ
- 20.SORU ÇÖZÜLMEDİ