İstatistik Final 5. Deneme Sınavı
Toplam 20 Soru1.Soru
Z standart normal dağılıma sahip bir değişken iken, P(z<1,96) olasılığı kaçtır?
|
0,3340 |
|
0,4750 |
|
0,5000 |
|
0,8340 |
|
0,9750 |
Standart normal eğri altında z=0’dan z=1,96’ya kadar olan bölgenin alanı bulmak için standart normal dağılım tablosunda z sütununda 1,9 değerini bulunur. Daha sonra, bu satırda sağa doğru ilerlenir ve 0,06 ile başlayan sütunun altındaki alan 0,4750 olarak bulunur.
Dolayısıyla, z=0’dan z=1,96’ya kadar olan bölgenin alanı 0,4750 olur. Soruda eğrinin altında ve z=1,96’nın solunda kalan alan sorulduğu için, 0,4750 değerine tüm alanın yarısı olan 0,5 değerini eklemek gerekir. P(z<1,96)=0,4750+0,5=0,9750 ’dir.
2.Soru
X rassal değişkeni 0.2 olasılıkla 3 değerini, 0.5 olasılıkla 5 değerini, 0.3 olasılıkla ise 7 değerini almaktadır. Buna göre X rassal değişkenine ilişkin olasılık dağılımının ortalaması aşağıdakilerden hangisidir?
|
4.6
|
|
4.8
|
|
5
|
|
5.2
|
|
5.4
|
3.Soru
Aşağıdakilerden hangisi olasılık incelemelerinde karşımıza çıkan temel kavramlardan biri değildir?
|
Örneklem uzayı |
|
Olay |
|
Sonuç |
|
Deneme |
|
Neden |
Olasılık incelemelerinde deneme, sonuç, örneklem uzayı ve olay olmak üzere dört temel kavram karşımıza çıkar.
4.Soru
Belirlenmiş bir sıralamada ve yapıda oluşturulan sorulara cevaplayıcıların karşılık vermesiyle verilerin derlenmesine ne ad verilir?
|
Anket |
|
Katılımlı gözlem |
|
Katılımsız gözlem |
|
Görüşme |
|
Sayım |
Veri derleme yöntemleri birincil elden ve ikincil elden veri derleme olmak üzere iki sınıfta toplanır. Soruda katılımcıdan doğrudan veri elde edilmektedir. Dolayısıyla birincil elden veri yöntemiyle veri elde edilmesi söz konusudur. Dolayısıyla birincil elden veri yöntemi ifade edilmektedir. Bu sınıfta seçeneklerde katılımlı veya katılımsız gözlem, görüşme ve anket yer almaktadır. Bu araçlardan anket cevaplayıcının daha önceden belirlenmiş bir sıralamada ve yapıda oluşturulan sorulara karşılık verdiği bir soru formu ile veri toplama yöntemidir. Soruda anket yönteminin kullanımı örneklenmiştir.
5.Soru
Dağılımı normal olan bir evrenin aritmetik ortalaması 0,80 güven düzeyi için tahminlenmek isteniyor. Bu güven düzeyi için kullanılacak tablo değeri yaklaşık kaçtır?
|
1.28
|
|
1.96
|
|
1.645
|
|
2.576
|
|
2.33
|
6.Soru
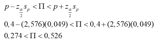
Bir süpermarkette deterjan alan 100 müşteriden 40 tanesinin A markasını tercih ettiği gözlenmiştir. Buna göre A deterjanının tercih edilme oranı tahminlenmek istenirse, yapılacak tahminin %99 güven düzeyinde güven aralığı nedir?
|
0,230 – 0,570 |
|
0,274 – 0,526 |
|
0,304 – 0,496 |
|
0,320 – 0,480 |
|
0,384 – 0,416 |
Burada evren oranının aralık tahminlemesi söz konusudur. İlgili güven aralığını
eşitsizliğinden elde edebiliriz:
n = 100 müşteri ve r = 40 müşteri olduğundan p=r/n=40/100=0,4 olarak bulunur. Ayrıca Güven düzeyi=0,99 olduğundan
Dolayısıyla
Standart hata ise
olarak elde edilir. Eşitsizliğimizde bu değerleri yerine koyarsak:
İlgili tahmin için güven aralığı (0,274 – 0,526) aralığıdır.
7.Soru
Aşağıdakilerden hangisi/hangileri birinci elden veri derleme amaç olduğunda başlıca veri derleme yöntemlerindendir?
- Gözlem
- Görüşme
- Anket
|
I. ve II. |
|
I. ve III. |
|
Sadece III. |
|
II. ve III. |
|
I., II. ve III. |
Birinci elden veri derleme amaç olduğunda başlıca veri derleme yöntemleri gözlem, görüşme ve ankettir.
8.Soru
Bir sınıftaki 8 kişi arasından 3 kişi kaç farklı şekilde seçilebilir?
|
21
|
|
24
|
|
56
|
|
168
|
|
336
|
9.Soru
Aşağıdakilerden hangisi birinci elden veri toplama yöntemlerinden biridir?
|
Katılımlı gözlem |
|
Endüstri raporları |
|
Ülke raporları |
|
Basın anketleri |
|
Vizyon kaydı |
Seçeneklerde verilen endüstri raporları, ülke raporları, basın anketleri ve vizyon kaydı ikincil veri toplama araçları iken katılımlı gözlem bizzat veri toplayan kişinin gözleme dahil olduğu birinci elden veri toplama yöntemidir.
10.Soru
I. Topluma doğru yolu göstermeII. Çağı yakalama ve bilgi toplumu olmaIII. Toplumda bilgiye güven duymaIV. Belirsizlik ortamında doğru kararı verme Yukarıdakilerden hangisi istatistik eğitiminin sağladığı yararlardandır?
|
I ve II
|
|
I ve III
|
|
II ve III
|
|
I, II ve III
|
|
I, II, III ve IV
|
11.Soru
Evrenden belirli yöntemlerle seçilmiş olan ve seçildiği evreni temsil ettiği düşünülen birimler kümesi aşağıdakilerden hangisidir?
|
Evren |
|
Örneklem |
|
Parametre |
|
Veri |
|
Gözlem birimi |
Evrenden belirli yöntemlerle seçilmiş olan ve seçildiği evreni temsil ettiği düşünülen birimler kümesi örneklem olarak adlandırılır.
12.Soru
Aşağıdaki seçeneklerden hangisi istatistiksel tahminleme sürecinin aşamalarından biri değildir?
|
Tanımlanan evrenden önceden belirlenen n hacimli rassal bir örneklem seçilir.
|
|
Seçilen örneklem için red bölgesine karar verilir.
|
|
Seçilen örneklemdeki birimler üzerinden gözlem değerleri derlenir.
|
|
Derlenen gözlem değerleri kullanılarak tahminlenecek parametre için bilgi üretecek istatistikler hesaplanır.
|
|
Hesaplanan istatistiğin örnekleme dağılımından yararlanılarak parametre değeri tahminlenir.
|
13.Soru
Aşağıdakilerden hangisi korelasyon katsayısı anlamlılık testinin 3. adımıdır?
|
Hipotezlerin ifade edilmesi |
|
Regresyon katsayısı hesaplanması |
|
Anlamlılık düzeyinin belirlenmesi |
|
İstatiksel test |
|
İstatistiksel kararın verilmesi |
Korelasyon katsayısının anlamlılık testi, aşağıdaki adımsal süreçte gerçekleştirilebilir.
Adım 1: Hipotezlerin ifade edilmesi
Adım 2: Anlamlılık düzeyinin belirlenmesi
Adım 3: İstatiksel test
Adım 4: İstatistiksel kararın verilmesi
15.Soru
Bir firmanın ürettiği ürünlerini tüketicilerin yüzde kaçının beğendiği tahmin edilmek isteniyor. Bu amaçla, rassal olarak seçilen 500 tüketiciye ürünü beğenip beğenemediği soruluyor ve 380 tüketicinin beğendiği sonucuna ulaşılıyor. Buna göre, istenilen tahminleme yapılırken işlenecek hata düzeyi nedir?
|
0.0036
|
|
0.024
|
|
0.038
|
|
0.0191
|
|
0.760
|
16.Soru
Aşağıdakilerden hangisi rassal değişken değildir?
|
Deniz seviyesinde suyun donma sıcaklığı
|
|
Bir otomobilin hızı
|
|
Öğrencinin sınavı tamamlama süresi
|
|
İş yerinde çalışan eleman sayısı
|
|
Ürünün raf ömrü
|
17.Soru
2 matematik, 3 fizik ve 4 biyoloji kitabı bir rafa aynı tür kitaplar bir arada olacak şekilde yerleştirilmek isteniyor. Bu kitaplar kaç farklı şekilde yerleştirilebilir?
|
1728
|
|
1152
|
|
576
|
|
2016
|
|
288
|
18.Soru
Bir öğretmen dersini alan öğrencilerin başarılı olanların oranını tahmin etmek istiyor. Bunun için ,,öğrencilerinden 50 tanesini seçiyor ve bunların 35’inin başarılı olduğunu tespit ediyor. İstenen tahminin nokta tahmin değeri nedir?
|
0,6 |
|
0,7 |
|
0,8 |
|
0,5 |
|
0,4 |
n=50 r=35 ise p=r/n=35/50=0,7 dir.
19.Soru
Örneklemde yer alan birimler üzerinden derlenen veriler kullanılarak hesaplanan özet değerlere ne ad verilir?
|
İstatistik
|
|
Olasılık
|
|
Evren
|
|
Değişken
|
|
Parametre
|
20.Soru
Bir fabrikada günde 10000 yedek parça üretilmektedir. İşletme, günlük üretilen yedek parçalar içindeki hatalı üretim oranını tahmin etmek amacı ile 100 yedek parçayı rassal olarak seçiyor. Seçilen yedek parçalardan 10 adedinin hatalı üretildiği tespit edilir ise istenen tahminleme yapılırken işlenecek hata düzeyi nedir?
|
0.005
|
|
0.010
|
|
0.020
|
|
0.030
|
|
0.040
|
-
- 1.SORU ÇÖZÜLMEDİ
- 2.SORU ÇÖZÜLMEDİ
- 3.SORU ÇÖZÜLMEDİ
- 4.SORU ÇÖZÜLMEDİ
- 5.SORU ÇÖZÜLMEDİ
- 6.SORU ÇÖZÜLMEDİ
- 7.SORU ÇÖZÜLMEDİ
- 8.SORU ÇÖZÜLMEDİ
- 9.SORU ÇÖZÜLMEDİ
- 10.SORU ÇÖZÜLMEDİ
- 11.SORU ÇÖZÜLMEDİ
- 12.SORU ÇÖZÜLMEDİ
- 13.SORU ÇÖZÜLMEDİ
- 14.SORU ÇÖZÜLMEDİ
- 15.SORU ÇÖZÜLMEDİ
- 16.SORU ÇÖZÜLMEDİ
- 17.SORU ÇÖZÜLMEDİ
- 18.SORU ÇÖZÜLMEDİ
- 19.SORU ÇÖZÜLMEDİ
- 20.SORU ÇÖZÜLMEDİ