Matematik 2 Ara 14. Deneme Sınavı
Toplam 19 Soru1.Soru
Aşağıdaki noktalardan hangisi
eşitsizliklerinin hepsini birden sağlar?
|
(5,-1) |
|
(7,1) |
|
(-3,6) |
|
(4,2) |
|
(5,2) |
(4,2) noktası tüm eşitsizlikleri sağlar. Açıkça 5.4+7.2=34<35 ve 4>0, 2>0 sağlanır. . Diğer seçeneklerde verilen noktaların eşitsizliklerin hepsini birden sağlamadığı kolayca görülebilir.
2.Soru
Başlangıçtaki sıcaklığı 20 derece olan bir metal çubuk sıcaklığı 4 derece olan bir buzdolabına konuluyor. Çubuğun sıcaklığı 30 dakika sonra 8 dereceye indiğine göre herhangi bir t anındaki sıcaklığını veren ifade aşağıdakilerden hangisidir?
|
|
|
|
|
|
|
|
|
|
Bir cismin soğumasını modelleyen diferansiyel denklem, s ortam sıcaklığı ve K orantı sabiti olmak üzere
olarak verilir. Bu denklem çözüldüğünde
ifadesi elde edilir. y(0)=4+c=20 eşitliğinden c=16 elde edilir. 30 dakika sonraki sıcaklık 8 derece ise
olmalıdır. Buradan K=-ln4/30 olmalıdır. Böylece ifade
olarak bulunur.
3.Soru
Miktarı x fiyatı da y ile gösterilen bir ürünün talep fonksiyonu t=20-0.2x ve arz fonksiyonu a=0.1x+8 olarak verilmiştir. Buna göre bu malın denge fiyatı kaçtır?
|
12 |
|
15 |
|
18 |
|
21 |
|
24 |
Arz ve talebin eşit olduğu noktadaki fiyat piyasa fiyatı olduğuna göre
20-0.2x=0.1x+8
0.3x=12
x=40
Bu değeri arz fonksiyonunda yerine yazarsak,
a=0.1x+8=0.1.(40)+8=12
Bu değeri talep fonksiyonunda yerine yazarsak
t=20-0.2.(40)=12
Bu malın denge fiyatı 12 olarak bulunur.
4.Soru
fonksiyonu aşağıdaki diferansiyel denklemlerden hangisini sağlar?
|
|
|
|
|
|
|
|
|
|
eşitliğinde her iki tarafın x değişkenine göre türevi alınırsa
elde edilir. Eşitlikte
olur.
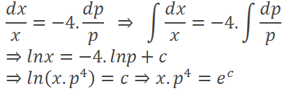
5.Soru
Bir malın talep fiyat esnekliği 4 olarak verilsin. Bu malın miktarı ve fiyatı arasındaki ilişkiyi veren talep denklemi aşağıdakilerden hangisidir?
|
x.p=c |
|
|
|
|
|
|
|
|
Talep fonksiyonununun türevi negatif olduğundan
şeklinde yazılabilir. Bu diferansiyel denklemi değişkenlerine ayırıp çözelim: c sabit bir gerçel sayı olmak üzere
elde edilir.
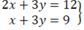
6.Soru
f(x,y)=3x+y amaç fonksiyonunun
kısıtları altında minimum değeri aşağıdakilerden hangisidir?
|
1 |
|
2 |
|
3 |
|
4 |
|
5 |
2x+3y=12 doğrusu eksenleri (0,4) ve (6,0) noktalarında, x+3y=9 doğrusu eksenleri (0,3) ve (9,0) noktalarında keser. Ayrıca
denklem sistemi çözülürse bu iki doğrunun (3,2) noktasında kesiştikleri görülür. Amaç fonksiyonunun bu noktalarda aldığı değerler, f(0,3)=3 , f(6,0)=18, f(3,2)=11 olup amaç fonksiyonunun minimum değeri 3 olur.
7.Soru
y=f(x) orijinden geçen türevlenebilir bir fonksiyon ve f(1)=3 olduğuna göre
integralinin sonucu nedir?
|
-1 |
|
0 |
|
1 |
|
2 |
|
3 |
İntegralin Temel Teoreminden
f fonksiyonu orijinden geçtiğinden f(0)=0 ve böylece
olur.
8.Soru
kısıtı aşağıdaki hangi noktada sağlanır?
|
(0,0) |
|
(1,1) |
|
(0,2) |
|
(-1,1) |
|
(-2,2) |
x=0 ve y=0 alırsak
sağlanır.
9.Soru
Aşağıdaki noktalardan hangisi 2x -y ≤ 3 eşitsizliğini sağlar?
|
(2,0) |
|
(3,1) |
|
(2,-1) |
|
(1,-2) |
|
(3,4) |
(3,4) için 2x-y=2.3-4=2 olup doğru şık E dir.
10.Soru
Aşağıdaki noktalardan hangisi
eşitsizliklerinin hepsini birden sağlar?
|
(-2,5) |
|
(3,4) |
|
(4,-1) |
|
(1,3) |
|
(-2,5) |
(1,3) noktası verilen tüm eşitsizlikleri sağlar:
11.Soru
(2,1) noktası aşağıdaki eşitsizliklerden hangisini sağlar?
|
|
|
|
|
|
|
|
|
|
(2,1) noktası 2x+5y=10 doğrusunun altında kaldığından eşitsizliği sağlar. Yani
olur.
12.Soru
Üstten y=x2 parabolü alttan x-ekseni ve yanlardan x=2 ve x=4 doğrularıyla sınırlı bölgenin alanı kaç br2’dir?
|
14/3 |
|
28/3 |
|
14 |
|
15 |
|
56/3 |
y=x2, x-ekseni, x=2 ve x=4 doğruları ile sınırlı bölgenin alanı;
olur.
13.Soru
f(x,y)=2x+y amaç fonksiyonunun,
eşitsizliği ile verilen küme üzerindeki maksimum değeri nedir?
|
2 |
|
6 |
|
10 |
|
12 |
|
18 |
2x+y=12 ve 6x+y=18 denklem sistemi çözüldüğünde 2x+y=12 ve 6x+y=18 doğrularının (3/2, 9) noktalarında kesiştikleri görülür. Çokgen bölgenin köşe noktaları: (0,0), (3,0), (0,12) ve (3/2, 9) dur. Amaç fonksiyonunun bu noktalardaki değerleri: f(0,0)=0, f(3,0)=6, f(0,12)=12 ve f(3/2,9)=12 olur. Bu fonksiyon değerlerinin en büyüğü 12 olduğuna göre amaç fonksiyonunun bu çokgen bölge üzerindeki maksimum değeri 12 olur.
14.Soru
Bir bakteri kültüründeki bakteri sayısı 2 saatte 2 katına çıkıyorsa,10 saat sonra bakteri sayısı kaç katına çıkar?
|
12
|
|
16
|
|
20
|
|
24
|
|
32
|
17.Soru
Bir malın talep fiyat esnekliği 1/4 olarak verilsin. Bu malın miktarı ve fiyatı arasındaki ilişkiyi veren talep denklemi aşağıdakilerden hangisidir?
|
|
|
|
|
|
|
|
|
|
18.Soru
K, nüfus değişim oranı ve y0, başlangıç değeri olmak üzere zamana göre nüfus değişimini veren diferansiyel denklem ve çözümü hangisidir?
|
|
|
|
|
|
|
|
|
|
Zamana göre nüfus değişimini veren diferansiyel denklem
denklemidir ve başlangıç değeri y0 olan bu diferansiyel denklemin çözümü
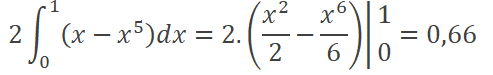
19.Soru
20’lik fert gruplarına göre gelir dağılımı verilerinden elde edilen Lorenz fonksiyonu
şeklinde belirlenmiştir. Buna göre bu ülkenin Gini indeksi aşağıdakilerden hangisidir?
|
0,25 |
|
0,33 |
|
0,50 |
|
0,66 |
|
0,75 |
Bir ülkenin Gini indeksi
formülüyle bulunabilir. Buna göre
elde edilir.
-
- 1.SORU ÇÖZÜLMEDİ
- 2.SORU ÇÖZÜLMEDİ
- 3.SORU ÇÖZÜLMEDİ
- 4.SORU ÇÖZÜLMEDİ
- 5.SORU ÇÖZÜLMEDİ
- 6.SORU ÇÖZÜLMEDİ
- 7.SORU ÇÖZÜLMEDİ
- 8.SORU ÇÖZÜLMEDİ
- 9.SORU ÇÖZÜLMEDİ
- 10.SORU ÇÖZÜLMEDİ
- 11.SORU ÇÖZÜLMEDİ
- 12.SORU ÇÖZÜLMEDİ
- 13.SORU ÇÖZÜLMEDİ
- 14.SORU ÇÖZÜLMEDİ
- 15.SORU ÇÖZÜLMEDİ
- 16.SORU ÇÖZÜLMEDİ
- 17.SORU ÇÖZÜLMEDİ
- 18.SORU ÇÖZÜLMEDİ
- 19.SORU ÇÖZÜLMEDİ