Matematik 2 Final 8. Deneme Sınavı
Toplam 20 Soru1.Soru
(1,0) noktası aşağıdaki eşitsizliklerden hangisini sağlar?
|
x + y ≥ 4 |
|
x + 2y ≥ 0 |
|
x - y ≥ 2 |
|
x + 5y ≥ 3 |
|
3x + y ≥ 5 |
(1,0) noktasını B şıkkındaki eşitsizlikte yerine yazarsak x+2y=1+2.0=1 olup eşitsizliği sağladığı görülür.
2.Soru
işleminin sonucu nedir?
|
2 |
|
3 |
|
4 |
|
5 |
|
6 |
olarak elde edilir. Buna göre doğru cevap E seçeneğidir.
3.Soru
Düzlemsel tek parça bir çizge ile ilgili olarak aşağıdakilerden hangisi doğrudur?
|
Çizgenin düzlemde belirlediği bölge sayısı + çizgenin köşe noktalarının sayısı = kenar sayısı + 2
|
|
Çizgenin düzlemde belirlediği bölge sayısı - çizgenin köşe noktalarının sayısı=kenar sayısı + 2
|
|
Çizgenin düzlemde belirlediği bölge sayısı + kenar sayısı = çizgenin köşe noktalarının sayısı - 2
|
|
Çizgenin düzlemde belirlediği bölge sayısı + çizgenin köşe noktalarının sayısı = kenar sayısı - 2
|
|
Kenar sayısı + çizgenin köşe noktalarının sayısı = Çizgenin düzlemde belirlediği bölge sayısı +2
|
4.Soru
“MATEMATİK” kelimesinin Gaius Julius Caesar tarafından kullanılan şifreleme metodu ile karşılığı nedir?
|
ÖÇVĞÖÇVLN |
|
KİTAMETAM |
|
CEBİR |
|
DEEFFGG |
|
NETMATE |
Jül Sezar komutanlarına göndereceği mesajları şifreleyerek gönderiyormuş. Bunun için alfabedeki harfleri kaydırarak şifreli mesaj oluşturuyormuş. Sanıyorum, alfabedeki her harfi 3 adım sağa kaydırıyormuş . Doğru cevap A’dır.
5.Soru
Verieln çizelgeye göre aşağıdakilerden hangisinin komşu sayısı 4 tür?
|
a |
|
e |
|
f |
|
j |
|
c |
c nin komşu sayısı 4 olup diğer şıklardaki noktaların sayısı 2 dir.
6.Soru
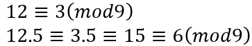
denkliğinin çözüm kümesi aşağıdakilerden hangisidir?
|
|
|
|
|
|
|
|
|
|
Denkliğin her iki tarafından 2 çıkarırsak,
olur. Şimdi de denkliğin her iki tarafını 3 ile çarparsak,
elde edilir. O halde çözüm kümesi 5’e bölümünden 1 kalanını veren sayıların kümesidir.
7.Soru
Bir harita çizilmek isteniyor. Bu harita 5 bölgeye ayrılacaktır. Haritada 15 köşe noktası var ise kenar sayısı kaç olmalıdır?
|
18 |
|
20 |
|
22 |
|
24 |
|
35 |
Düzlemsel tek parça bir çizgede çizgenin düzlemde belirlediği bölgelerin sayısıyla çizgenin köşe noktalarının sayısının toplamı, çizgenin kenar sayısından iki fazla olur. Yani
bölge sayısı +köşe noktalarının sayısı = kenar sayısı +2
eşitliği geçerlidir.
5+15=Kenar sayısı +2 olduğuna göre Kenar sayısı=18 olur.
8.Soru
diferansiyel denkleminin y(0)=2 koşuluna uyan çözümü aşağıdakilerden hangisidir?
|
|
|
|
|
|
|
|
|
|
olup buradan integral aldığımızda
olur. y(0)=2 koşulunu kullanırsak,
elde edilir. Dolayısıyla c=2 olarak bulunur. O halde,
diferansiyel denklemin y(0)=2 koşulunu sağlayan çözümüdür.
9.Soru
kaçtır?
|
60 |
|
90 |
|
120 |
|
136 |
|
144 |
olup
şeklinde bulunur. Böylece
olur. Doğru cevap E’dir.
10.Soru
K_4 tam çizgesinin kaç kenarı vardır?
|
7
|
|
10
|
|
6
|
|
8
|
|
5
|
11.Soru
Matrisi
şeklinde verilen oyunda II. oyuncu 2. sütunu seçtiğinde garantilenmiş kaybı aşağıdakilerden hangisi olur?
|
-1 |
|
2 |
|
3 |
|
0 |
|
4 |
2. sütundaki {-1,2,3,0} sayılarının en büyüğü olan 3’tür.
12.Soru
Aşağıdaki çizgenin tüm köşe noktaları komşu noktalar farklı renkte olacak şekilde en az kaç renk ile boyanabilir?
|
1 |
|
2 |
|
3 |
|
4 |
|
5 |
Çizge, sadece iki renk kullanılarak boyanabilir. Doğru cevap B’dir.
13.Soru
Sırasıyla 1., 2., ve 3. satırları (4 -5 3 2), (-3 -6 -7 1), ve (3 4 2 1) şeklinde verilen oyunun aşağı değeri nedir?
|
1
|
|
-5
|
|
2
|
|
3
|
|
-6
|
14.Soru
Bir düzlemsel çizgede köşe sayısı 7, kenar sayısı 21 ise bölge sayısı kaçtır?
|
14
|
|
12
|
|
10
|
|
16
|
|
20
|
15.Soru
Ebob(48, 56). Ekok(45,75) işleminin sonucu kaçtır?
|
360
|
|
720
|
|
600
|
|
900
|
|
1800
|
16.Soru
Matrisi
olan oyunun yukarı değeri aşağıdakilerden hangisidir?
|
5 |
|
4 |
|
3 |
|
2 |
|
1 |
Sütunların en büyükleri 5, 2, 3, 4’tür. Bu sayıların en küçüğü 2 olduğundan yukarı değer 2’dir. Doğru cevap D’dir.
17.Soru
Aşağıdaki sayı dizilerinden hangisi bir çizgenin köşe noktalarının derecelerinin bir dizisi olamaz?
|
2, 3, 3, 4, 5, 6, 7
|
|
2, 2, 4, 4, 6, 6, 5, 3
|
|
0, 0, 0, 0, 0, 0, 1, 1
|
|
3, 5, 7, 3, 9, 3, 5
|
|
2, 2, 4, 4, 6, 5, 1
|
18.Soru
2x+1?4 (mod 7) denkliğini sağlayan x’in alabileceği en küçük pozitif tamsayı ile en büyük negatif tamsayı değerinin toplamı kaçtır?
|
-3
|
|
-1
|
|
0
|
|
1
|
|
3
|
19.Soru
Aşağıdaki sayılardan hangisi 15 ile aralarında asaldır?
|
20 |
|
84 |
|
90 |
|
81 |
|
92 |
İki sayının en büyük ortak bölenleri 1 ise bu sayılara aralarında asaldır denir. Buna göre
olduğundan doğru cevap E’dir.
20.Soru
Bir matris oyununda II. oyuncunun her sütunun altına o sütundaki en büyük sayıyı yazıp daha sonra bu sayılar içinde en küçük olanı belirler. Belirlediği bu sayıya aşağıdakilerden ne ad verilir?
|
Matris oyununun yukarı değeri
|
|
Matris oyununun aşağı değeri
|
|
Matris oyununun denge değeri
|
|
Matris oyunun kayıp değeri
|
|
Matris oyununun strateji değeri
|
-
- 1.SORU ÇÖZÜLMEDİ
- 2.SORU ÇÖZÜLMEDİ
- 3.SORU ÇÖZÜLMEDİ
- 4.SORU ÇÖZÜLMEDİ
- 5.SORU ÇÖZÜLMEDİ
- 6.SORU ÇÖZÜLMEDİ
- 7.SORU ÇÖZÜLMEDİ
- 8.SORU ÇÖZÜLMEDİ
- 9.SORU ÇÖZÜLMEDİ
- 10.SORU ÇÖZÜLMEDİ
- 11.SORU ÇÖZÜLMEDİ
- 12.SORU ÇÖZÜLMEDİ
- 13.SORU ÇÖZÜLMEDİ
- 14.SORU ÇÖZÜLMEDİ
- 15.SORU ÇÖZÜLMEDİ
- 16.SORU ÇÖZÜLMEDİ
- 17.SORU ÇÖZÜLMEDİ
- 18.SORU ÇÖZÜLMEDİ
- 19.SORU ÇÖZÜLMEDİ
- 20.SORU ÇÖZÜLMEDİ