Matematiksel İktisat Ara 2. Deneme Sınavı
Toplam 20 Soru1.Soru
Aşağıdakilerden hangisi doğrusal bir talep fonksiyonunda eğim katsayısı olabilir?
|
- 4
|
|
4
|
|
2
|
|
0.8
|
|
1
|
2.Soru
Bir X malının doğrusal talep fonksiyonu Qd=3000-2P’dir. Fiyat 1200 tl iken günde 600 miktar X malı talep ediliyorsa, günlük X malı talebinin fiyat esnekliği kaçtır?
|
-4 |
|
-3 |
|
-2 |
|
-1 |
|
2 |
Burada ifadesi
doğrusal talep fonksiyonunun eğimi olduğundan Qd=3000-2P fonksiyonunda değeri -2’dir. P ve Q değerlerini de yerlerine koyduğumuzda esneklik değerine ulaşırız:
e= -2× (1200/600)
e= -4
3.Soru
Verilen grafiklerdeki fonksiyonlardan hangisi ya da hangileri süreklidir?
|
(a) |
|
(a) ve (b) |
|
(b) |
|
(c) |
|
(a) ve (c) |
Bir fonksiyonun limiti mevcut ise ve bu limit değeri fonksiyonun değerine eşit ise o fonksiyon “sürekli” bir fonksiyondur. (a) fonksiyonu y eksenine yaklaşırken tanımlı değildir ve limiti yoktur. (c) fonksiyonu ise bir noktada kırılmıştır ve sağdan alınan limit ile soldan alınan limit eşit değildir. (b) fonksiyonu ise tanımlı olduğu her noktada limiti vardır ve limit değeri o noktadaki değere eşittir. Bu nedenle Doğru Cevap C seçeneği olur.
4.Soru
Arz, talep fonksiyonları ve piyasa denge koşulu aşağıdaki şekilde verilmiş ise yerine koyma metodu yardımıyla denge fiyat ve denge miktarı bulunuz.
Qs = 20 + 6P
Qd = 100 - 2P
Qs = Qd
|
P = 10, Qs = Qd = 80 |
|
P = 80, Qs = Qd = 10 |
|
P = Qs = Qd = 80 |
|
P = Qs = Qd = 10 |
|
P = 80, Qs = 60, Qd = 10 |
Qs = 20 + 6P
Qd = 100 - 2P
Qs = Qd olduğundan,
20 + 6P = 100 - 2P
8P = 80, P = 10
P değerini herhangi bir fonksiyonda yerine koyarsak örneğin arz fonksiyonunda,
Qs = 20 + 6*10 =80 değerini buluruz.
Sağlamasını yapmak için P değerini talep fonksiyonunda da yerine koyalım. Eğer sonuç 80 ise işlem doğru demektir.
Qd = 100 – 2*10 = 80
Sonuç:
P = 10
Qs = Qd = 80
Doğru cevap A'dır.
5.Soru
Tam rekabet koşullarında çalışan bir ekonomi için aşağıdakilerden hangisi söz konusu olamaz?
|
P = MR
|
|
P = MC
|
|
MR = MC
|
|
AR = MR
|
|
TC = MR
|
6.Soru
Yapılan bir araştırmaya göre bir tür grip salgını baş gösterdikten t ay sonra yaklaşık olarak Q(t) = 18/ (1 + 3e(üzeri -1,5t)) bin kişi hastalığa yakalanmaktadır. Buna göre hastalık başladıktan 1 ay sonra yaklaşık kaç hasta vardır?
|
18500
|
|
1000
|
|
10000
|
|
14700
|
|
12250
|
7.Soru
TR = K^{α} fonksiyonu verilmiştir. Buna göre aşağıdakilerden hangisi ani büyüme oranını verir?
|
ln (K)
|
|
ln (TR)
|
|
ln (α)
|
|
K ln (α)
|
|
α ln (K)
|
8.Soru
Bir mal için arz 2P=Qs+30 , talep P=110-4Qd olarak verilmiştir. Buna göre piyasa fiyatı 30 TL. olduğunda ne kadar arz fazlası oluşur?
|
10 |
|
20 |
|
30 |
|
40 |
|
50 |
Arz için; 2.30=Q+30 dan Q=30
Talep için; 30=110-4Q Q=20
Arz fazlası ; 30-20=10 olur.
9.Soru
Aşağıdaki denklemlerden hangisi doğrusaldır?
|
y=x1/3+7 |
|
y=3x2+8x+5 |
|
|
|
y=(1/x)+2x |
|
y=2x-4 |
1.dereceden denklemler doğrusaldır.
10.Soru
3y = 300 + 5x
y - x = 150
İki bilinmeyenli iki denklemli sistemin çözüm kümesi aşağıdakilerden hangisidir?
|
{-75, -150} |
|
{75, -150} |
|
{-75, 150} |
|
{75, 75} |
|
{75, 150} |
3y = 300 + 5x
y - x = 150
Denklem sisteminin çözüm kümesini bulmak için önce denklemleri düzenleyelim: 3y - 5x = 300 ve ikinci denklemi -3 ile çarpmamız gerekir.
3y - 5x = 300
y - x = 150 /*-3
Bu durumda iki denklemi alt alta toplarsak:
3y - 5x = 300
-3y + 3x = -450
-2x = -150 sonucunu buluruz, buna göre x = 75 olur. y = 150 + 75 = 225 olur. Çözüm kümesi {75, 150} olarak yazılır.
Cevap E şıkkdır.
11.Soru
I. Birinci türevi -2P'ye eşittir.II. Talebin fiyat esnekliği -2P/(144 - P2)'ye eşittir.III. P=12 olduğu zaman talep fiyata göre birim esnektir.Qd = 144 - P2 için verilenlerden hangisi ya da hangileri doğrudur?
|
Yalnız I |
|
Yalnız II |
|
Yalnız III |
|
I ve II |
|
I ve III |
I. Birinci türevi -2P'ye eşittir. (Doğru)
II. Talebin fiyat esnekliği -2P/(144 - P2)'ye eşittir. (Yanlış, talebin fiyat esnekliği formülü [(dQd/dP)*(P/Qd)]'dür. Buna göre Talebin fiyat esnekliği -2P2/(144 - P2)'ye eşittir. )
III. P=12 olduğu zaman talep fiyata göre birim esnektir. (Yanlış) Talebin fiyat esnekliği -2P2/(144 - P2) olduğuna göre -2P2/(144 - P2) = -1 eşitliği çözüldüğünde P2 = 48 ve P=4√ 3 olur.
Cevap A şıkkıdır.
12.Soru
İkinci türevi daima pozitif olan fonksiyonlar aşağıdakilerden hangisi ile adlandırılır?
|
Doğrusal fonksiyon |
|
İçbükey fonksiyon |
|
Dışbükey fonksiyon |
|
Artan fonksiyon |
|
Azalan fonksiyon |
Eğimi sürekli artan, yani ikinci türevi daima pozitif olan fonksiyonlar dışbükey fonksiyon olarak adlandırılır. Bu fonksiyonların yerel minimum noktaları mevcuttur.
Örneğin, y = x2 fonksiyonu dışbükey bir fonksiyondur. Bu fonksiyon x = 0 noktasında en küçük değerine ulaşır.
Eğimi sürekli azalan, yani ikinci türevi daima negatif olan fonksiyonlar ise içbükey fonksiyon olarak adlandırılır. Bu fonksiyonları yerel maksimum noktaları mevcuttur.
Örneğin, y = 5x – x2 fonksiyonu içbükey bir fonksiyondur. Çünkü ikinci türevi daima negatiftir: f'' (x) = –2.
13.Soru
Aşağıdaki yöntemlerden hangisi iktisatta, eşanlı doğrusal denklem sistemlerini çözmek için kullanılan yöntemlerden biri değildir?
|
Eğim-Kesişim Metodu |
|
İkame Metodu |
|
Yerine Koyma Metodu |
|
Ekleme Metodu |
|
Eleme Metodu |
İktisatta, eşanlı doğrusal denklem sistemlerini çözmek için sırasıyla Eğim-Kesişim Metodu, ikame (Yerine Koyma) ve Eleme Metotlarından yararlanılır.
14.Soru
fonksiyonunun 2.dereceden türevi nedir?
|
y=8x3-10x-1/x+ex |
|
y= 24x2-10+1/x2+ex |
|
y= 24-10+ex |
|
y= 8x2-10 -1/x |
|
y= 24x2-10x-1/x+ex |
1. dereceden türev; y,= 8x3-10x-1/x+ex
2.dereceden türev; y,,=24x2-10+1/x2+ex
15.Soru
C = 570 + 0.3Y
I = 380
G = 450
Y = C + I + G
Sistemde cari toplam tüketim (C) cari gelirin (Y) fonksiyonu olarak; yatırım (I) ve kamu harcamaları (G) ise otonom harcamalar olarak verilmiştir. Buna göre cari toplam tüketimin değeri kaçtır? (Toplam gelir ise toplam efektif talebin fonksiyonudur.)
|
1170 |
|
1500 |
|
1570 |
|
2000 |
|
2070 |
C = 570 + 0.3Y
I = 380
G = 450
Denklem sisteminde verilenleri toplam gelir eşitliğinde yerine yazarsak: Y= 570 + 0.3Y + 380 + 450 olur. Bu ifadeyi düzenlediğimizde 0.7Y = 1400 buradan da Y = 2000 sonucunu buluruz. Buna göre C = 570 + 600 = 1170 değeri çıkar. Cevap A şıkkıdır.
16.Soru
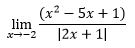
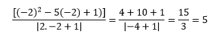
limiti aşağıdakilerden hangisidir?
|
1 |
|
2 |
|
2 |
|
4 |
|
5 |
17.Soru
Yukarıdaki şekilde verilen fonksiyonların hangileri sürekli, hangileri süreksizdir?
|
a ve b sürekli, c süreksiz |
|
b ve c sürekli, a süreksiz |
|
b sürekli, a ve c süreksiz |
|
Hepsi sürekli |
|
Hepsi süreksiz |
Sürekli fonksiyonların grafikleri de sürekli olur.
Eğer bir fonksiyonun grafiğini çizdiğimizde, kesintiler veya sıçramalar görüyorsak bu fonksiyon sürekli değildir.
Şeklin (b) panelindeki fonksiyon sürekli bir fonksiyondur. Buna karşılık şeklin (a) ve (c) panellerindeki fonksiyonlar ise sürekli değildir. Doğru cevap C’dir.
18.Soru
I. a=3 ve a=b
II. a=1 ve a=c21
III. a=9 ve a=0
Verilenlerden hangisinde veya hangilerinde tutarlılık koşuluna uygundur?
|
Yalnız I |
|
Yalnız II |
|
Yalnız III |
|
I ve II |
|
I ve III |
I. a=3 ve a=b (Tutarlılık koşuluna uygundur.)
II. a=1 ve a=c21 (Tutarlılık koşuluna uygundur.)
III. a=9 ve a=0 (Tutarlılık koşuluna uygun değildir.)
Cevap D şıkkıdır.
19.Soru
C = 400+0,7Y , I = 200+0,2Y ve G = 300 ise gelir düzeyi (Y) kaçtır?
|
900
|
|
990
|
|
9000
|
|
9800
|
|
10200
|
20.Soru
Yukarıda verilen toplam harcamalar- milli gelir denge modelinde; Y milli geliri , C özel tüketim harcamalarını ve G ise otonom hükümet harcamalarını ifade etmektedir.
Buna göre, bu model için denge milli gelir düzeyi nedir?
|
25 |
|
32 |
|
49 |
|
54 |
|
70 |
Y=C+I+G
Y=22+0,3Y+13+14
Y=49+0,3Y
Y-0,3Y=49
0,7Y=49
Y=70
-
- 1.SORU ÇÖZÜLMEDİ
- 2.SORU ÇÖZÜLMEDİ
- 3.SORU ÇÖZÜLMEDİ
- 4.SORU ÇÖZÜLMEDİ
- 5.SORU ÇÖZÜLMEDİ
- 6.SORU ÇÖZÜLMEDİ
- 7.SORU ÇÖZÜLMEDİ
- 8.SORU ÇÖZÜLMEDİ
- 9.SORU ÇÖZÜLMEDİ
- 10.SORU ÇÖZÜLMEDİ
- 11.SORU ÇÖZÜLMEDİ
- 12.SORU ÇÖZÜLMEDİ
- 13.SORU ÇÖZÜLMEDİ
- 14.SORU ÇÖZÜLMEDİ
- 15.SORU ÇÖZÜLMEDİ
- 16.SORU ÇÖZÜLMEDİ
- 17.SORU ÇÖZÜLMEDİ
- 18.SORU ÇÖZÜLMEDİ
- 19.SORU ÇÖZÜLMEDİ
- 20.SORU ÇÖZÜLMEDİ