Matematiksel İktisat Final 4. Deneme Sınavı
Toplam 19 Soru1.Soru
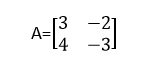
verilen A matrisinin ters matrisi nedir?
|
|
|
|
|
|
|
|
|
|
ek(A)=C'=kofaktör matrisi
2.Soru
12x - 3 = 4y fonksiyonunun tersi olan fonksiyon aşağıdakilerden hangisidir?
|
y = 1/4 + x/3 |
|
y = -1/4 + x/3 |
|
y = 1/3 + x/4 |
|
y = -1/3 + x/4 |
|
y = 12 + x/4 |
12x - 3 = 4y fonksiyonunun tersini alabilmek için ilk önce x'i yalnız bırakmak gerekir: x = (3 + 4y)/12 =1/4 + y/3
Daha sonra x ve y'nin yerini değiştirirsek y = 1/4 + x/3 şeklinde buluruz. Cevap A şıkkıdır.
3.Soru
Kar maksimizasyon koşulu P = MC(Q) şeklinde gerçekleşen piyasa türü aşağıdakilerden hangisidir?
|
Tam rekabet piyasası |
|
Monopolcü rekabet piyasası |
|
Monopol piyasası |
|
Oligopol piyasası |
|
Düopol piyasası |
Tüm piyasa koşullarında kar maksimizasyonu koşulu MR(Q) = MC(Q)'dir. Ancak, tam rekabet piyasasının varsayımları sonucunda firmaların fiyatı veri kabul etmeleri, firmanın marjinal hasılasının fiyata eşit olmasını garanti eder. Yani, MR(Q) = P'dir. Bu nedenle sadece tam rekabet piyasasında kar maksimizasyon koşulu; P = MC(Q) şeklindedir. Doğru cevap A'dır.
4.Soru
Tüketicinin fayda fonksiyonunun U = 500x1 + 250x2 + 3x1x2 - 3x12 - x22 olduğunu varsayalım. Burada x1 haftalık boş zaman x2 ise haftalık gelirdir. x1=180 ve x2=200 olması durumunda gelirin marjinal faydası aşağıdakilerden hangisidir?
|
370 |
|
380 |
|
390 |
|
400 |
|
410 |
Gelirin marjinal faydasının hesaplanması için fayda fonksiyonunun gelire göre kısmi türevinin alınması gerekir.
Doğru cevap C'dir.
5.Soru
Denklem sisteminin sol tarafının iki satır ve iki sütundan oluştuğu için iki eşitlik ve iki bilinmeyen değişkenden oluşan sisteme ne ad verilir?
|
Kare sistem |
|
İndis |
|
Vektör |
|
Matrisin evriği |
|
Kofaktör |
Denklem sisteminin sol tarafı, iki satır ve iki sütundan oluştuğu için, iki eşitlik ve iki bilinmeyen değişkenden oluşan bu sistem, bir kare sistemdir. Her bir değişkene ait katsayı için iki tane indis kullanılmıştır.
6.Soru
QS=30+4P
QD=90-2P
QS=QD
Arz, talep fonksiyonları ve piyasa denge koşulu yukarıdaki şekilde verilmiş ise denge fiyat ve denge miktarı sırasıyla nelerdir?
|
10 -70 |
|
15 – 45 |
|
6 -60 |
|
12- 75 |
|
12 - 70 |
30+4P=90-2P
6P=60
P=10
Q=30+4*10
Q=70
7.Soru
I. Kritik nokta, bir fonksiyonun birinci türevini sıfır yapan değer olarak tanımlanır.
II. Optimizasyon eldeki mevcut kaynakları en iyi şekilde kullanmak ve amaçlanan sonuca ulaşmak biçiminde tanımlanabilir.
III. Kâr, veri bir teknoloji düzeyinde üretim yapan bir firmanın toplam hasılası ile toplam maliyeti arasındaki pozitif fark olarak tanımlanır.
Verilen tanımlardan hangisi ya da hangileri doğrudur?
|
Yalnız I |
|
Yalnız II |
|
I ve II |
|
II ve III |
|
I, II ve III |
I. Kritik nokta, bir fonksiyonun birinci türevini sıfır yapan değer olarak tanımlanır. (Bu tanım doğrudur.) II. Optimizasyon eldeki mevcut kaynakları en iyi şekilde kullanmak ve amaçlanan sonuca ulaşmak biçiminde tanımlanabilir. (Bu tanım doğrudur.) III. Kâr, veri bir teknoloji düzeyinde üretim yapan bir firmanın toplam hasılası ile toplam maliyeti arasındaki pozitif fark olarak tanımlanır. (Bu tanım doğrudur.)
8.Soru
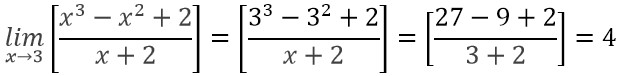
limiti aşağıdakilerden hangisidir?
|
2 |
|
3 |
|
4 |
|
5 |
|
6 |
x 3’e yaklaşırken fonksiyonun limitini bulmak için fonksiyonda x olan yerlere 3 yazılır ve çözüme gidilir.
9.Soru
Tersi olan bir kare matrisin, tersi ile çarpılması sonucunda aşağıdaki matris türlerinden hangisi elde edilir?
|
Simetrik matris |
|
Üçgensel matris |
|
Birim matris |
|
Sıfır matris |
|
Köşegen matris |
Denklem sistemlerini çözerken kullanacağımız yöntemlerden biri ise ters matris yöntemidir ve burada da katsayılar matrisinin tersini almak zorundayız. Bir matrisin tersinden söz edebilmek için her şeyden önce o matrisin kare matris olması gerekir. Ancak bu her kare matrisin de tersi olacağı anlamına gelmez. Eğer A gibi bir kare matrisin A-1 biçiminde gösterilen ters matrisi varsa, A matrisiyle tersinin çarpımının birim matrise eşit olması gerekmektedir. AB = BA = I olacak şekilde B matrisi varsa B’ye A’nın tersi denir. Doğru cevap D'dir.
10.Soru
ise A ve B matrislerinin toplamı aşağıdakilerden hangisidir?
|
|
|
|
|
|
|
|
|
|
İki matrisin toplanıp çıkarılabilmesi için iki matrisin aynı boyutta, yani iki matrisin satır ve sütun sayılarının birbirine eşit olması gerekir. Toplama ve çıkarma işlemleri sonucu elde edilen yeni matrisin boyutu da toplanan ve çıkarılan matrisle aynı olur. A ve B matrisleri aynı boyutta olduklarından toplanabilirler. Toplama için matrislerin aynı satır ve sütunlarındaki elemanlar toplanarak toplam matrisi oluşturulur.
(1+2) (2+4) (4-2)
(-2+3) (3+1) (7-3)
(5+1) (-1+5) (6+2)
3 6 2
1 4 4
6 4 8
11.Soru
Q=K3+2L3 üretim fonksiyonu ise Euler teoremine göre bu fonksiyonun homojenlik derecesi kaçtır?
|
1 |
|
2 |
|
3 |
|
4 |
|
5 |
Euler teoremi uygulanırsa K(dQ/dK)+L(dQ/DL)=K(3K2)+L(6L2)
=3K3+6L3=3(K3+2L3)=3Q ise üretim fonksiyonunun homojenlik derecesi 3’tür.
12.Soru
Sadece x ve y mallarını tüketen bir tüketicinin fayda maksimizasyonu problemine ilişkin Langrange formülasyonundaki Langrange çarpanının 2 olması halinde aşağıdakilerden hangisi doğrudur?
|
Bütçenin 1 birim artması tüketici faydasını 2 birim arttırır. |
|
Faydanın 1 birim artması için bütçenin 2 birim artması gerekir. |
|
x malının fiyatının 1 birim artması tüketicinin faydasını 2 birim düşürür. |
|
y malının fiyatının 1 birim artması tüketicinin faydasını 2 birim düşürür. |
|
Faydayı maksimum yapan tüketim sepetinde her iki maldan 2'şer adet bulunur. |
Tüketici faydası maksimizasyonunda Langrange çarpanı bütçenin marjinal faydasını göstermektedir. Bir başka ifadeyle, bu çarpan bütçedeki 1 birim artışın yaratacağı fayda artışını göstermektedir.
13.Soru
Bir öğrencinin okul kantininden elma (x) ya da kurabiye (y) almak üzere haftalık 24₺ harçlığı vardır. Bir adet kurabiye 1₺ ve 1 adet elma 0.5₺’dir. Bu öğrencinin kurabiye ve elma tüketimi sonucu sağladığı faydayı gösteren fayda fonksiyonu ’dir. Buna göre bu öğrencinin faydasını maksimize etmek üzere oluşturulacak Lagrange fonksiyonunun çözümünden elde edilecek Lagrange çarpanının ) değeri kaçtır?
|
1/4 |
|
1/2 |
|
1 |
|
2 |
|
4 |
3. numaralı sorunun çözümünde tüketicinin faydasını maksimum yapan mal bileşimini (16,16) olarak bulmuştuk. Denklemlerin çözümünden lagrange çarpanı aşağıdaki gibi elde edilmiştir.
L(x,y,λ)=2x1/2+y1/2+λ(24-x-0,5y)
Lx≡∂L/∂x=x-1/2-λ=0
Ly≡∂L/∂y=1/2y-1/2-0,5λ
Lλ≡∂L/∂λ=24-x-0,5y=0
λ=x-1/2=y-1/2⇒x=y
λ=x-1/2=y-1/2
λ=x-1/2⇒λ=(16)-1/2⇒λ=1/4
14.Soru
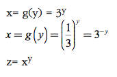
Yukarıda üç adet fonksiyon verilmiştir. Bu fonksiyonlardaki bağımlı ve bağımsız değişkenlerle ilgili aşağıdaki ifadelerden hangisi doğrudur?
|
Bir ve ikincide x bağımlı, y bağımsız değişken, üçüncü fonksiyonda z bağımlı y ise bağımsız değişkendir. |
|
Bircide x bağımlı, y bağımsız değişken, ikinci fonksiyonda y bağımlı x ise bağımsız değişken, üçüncüde y bağımlı z bağımsız değişkendir. |
|
Üçüncüde x bağımlı, y bağımsız değişken, bir ve ikinci fonksiyonda y bağımlı x ise bağımsız değişkendir. |
|
Her üç fonksiyonda da x bağımlı, y bağımsız değişkendir. |
|
Her üç fonksiyonda da x bağımlı, y bağımsız değişkendir. |
Yukarıdaki üç örneğin ilk ikisinde x bağımlı, y bağımsız değişken iken; üçüncü fonksiyonda z bağımlı y ise bağımsız değişkendir. Kuvvet fonksiyonlarından çok açık farkları, fonksiyonlarda bağımsız değişkenlerin üstte yer almalarıdır. Doğru cevap A'dır.
15.Soru
Q = 5P ^3 + 270 şeklinde verilmiş bir arz fonksiyonu olsun. Arzın fiyata göre esnekliği aşağıdaki fiyatlardan hangisinde inelastik denilebilir?
|
2
|
|
3
|
|
4
|
|
5
|
|
6
|
16.Soru
şeklindeki bir arz fonksiyonu için P=15 olduğunda arzın fiyata göre esnekliği ne olacaktır?
|
2,76 |
|
3,33 |
|
2,14 |
|
3,78 |
|
3,24 |
Öncelikle p=15 için arz miktarının ne kadar olduğunu hesaplayalım.
Q(15) = 3.153 - 750 = 9375 Arzın fiyat esnekli formülümüz şu şekilde idi:
P ve Q’yu bulduk. Öyleyse arz fonksiyonunun fiyata göre birinci türevini hesaplamamız gerekiyor.
Şimdi hesapladıklarımızı arzın fiyat esnekliği formülünde yerlerine yazalım:
=3,24 İktisadi olarak arzın fiyata göre esnek olduğunu söyleyebiliriz. Fiyattaki %1’lik artışa arz miktarı %3,24 artışla cevap vermektedir.
17.Soru
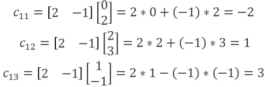
olduğuna göre A ve B matrislerinin çarpımı olan matris aşağıdakilerden hangisidir?
|
|
|
|
|
|
|
|
|
|
Olarak hesaplanır. Buna göre çarpım matris;[-2 1 3] olur.
18.Soru
Bir firmanın kâr fonksiyonu π(Q1, Q2) = 6Q1 - 3Q12 + 6Q1Q2 - 5Q22 + 12Q2 – 50 olduğuna göre firmanın kârını maksimum yapan üretim düzeyini bulmak için kullanılan Hersian matrisinin ilk terimi nedir?
|
6 |
|
1 |
|
0 |
|
-1 |
|
-6 |
∂π/∂Q1 = 6 - 6Q1 +6Q2 eşitliğini elde ederiz. Hersian matrisinin ilk terimi kâr fonksiyonun ikinci dereceden türevi yazılır. ∂2π/∂Q12 = - 6
19.Soru
Türev kavramıyla ilgili aşağıda verilen bilgilerden hangisi doğrudur?
|
Türev, birbirlerinden bağımsız iki değişkenden biri artarken diğer değişkenin nasıl değişeceğini gösterir. |
|
Bir y = f (x) fonksiyonu sürekli ise daima türevi vardır. |
|
Bir fonksiyonun grafiğinin keskin köşeleri var ise türevi de vardır. |
|
Değişim oranı, fonksiyonun değerindeki değişimin bağımsız değişkendeki değişime oranıdır. |
|
Bir y = f (x) fonksiyonunun x = a noktasındaki türevi, bu noktadan geçen teğetin eğiminden büyüktür. |
Türev, birbirleriyle ilişkili iki değişkenden biri artarken diğer değişkenin nasıl değişeceğini gösterdiğinden A seçeneği yanlıştır. Bir y = f (x) fonksiyonu sürekli ise daima türevi vardır ifadesi yanlıştır. Bunun aksine örnek vermek gerekir ise mutlak değer fonksiyonu düşünülebilir. f(x) = IxI mutlak fonksiyonu süreklidir ancak x = 0 noktasında türevi yoktur. Çünkü bu noktada fonksiyon keskin köşelere sahiptir. Bu nedenle C seçeneği de yanlış olur. Bir y = f (x) fonksiyonunun x = a noktasındaki türevi, bu noktadan geçen teğetin eğimine eşittir. Bu nedenle E seçeneği de yanlıştır. Değişim oranı, fonksiyonun değerindeki değişimin bağımsız değişkendeki değişime oranı olup Doğru Cevap D seçeneğidir.
-
- 1.SORU ÇÖZÜLMEDİ
- 2.SORU ÇÖZÜLMEDİ
- 3.SORU ÇÖZÜLMEDİ
- 4.SORU ÇÖZÜLMEDİ
- 5.SORU ÇÖZÜLMEDİ
- 6.SORU ÇÖZÜLMEDİ
- 7.SORU ÇÖZÜLMEDİ
- 8.SORU ÇÖZÜLMEDİ
- 9.SORU ÇÖZÜLMEDİ
- 10.SORU ÇÖZÜLMEDİ
- 11.SORU ÇÖZÜLMEDİ
- 12.SORU ÇÖZÜLMEDİ
- 13.SORU ÇÖZÜLMEDİ
- 14.SORU ÇÖZÜLMEDİ
- 15.SORU ÇÖZÜLMEDİ
- 16.SORU ÇÖZÜLMEDİ
- 17.SORU ÇÖZÜLMEDİ
- 18.SORU ÇÖZÜLMEDİ
- 19.SORU ÇÖZÜLMEDİ