Matematiksel İktisat Final 9. Deneme Sınavı
Toplam 18 Soru1.Soru
İki mala ait denge fiyatları olan P1 ve P2 ye ait eşitliklerin matrislerle Ax=b biçiminde gösterimi aşağıdaki gibidir.
Denklem sisteminin çözümünden elde edilecek P1 fiyatı aşağıdakilerden hangisidir?
|
2 |
|
3 |
|
5 |
|
8 |
|
10 |
Soruyu çözmek için farklı yöntemler kullanılabilir. Gauss Eleme yöntemi bunlardan bir tanesidir.
P1 ve P2 değerlerini bulmak için sistemi önce aşağıdaki gibi yazarız
- Satırı ½ ile çarparız
- Satırı 8 ile çarpıp 2. Satırdan çıkartırız
- Satırı -1/44 ile çarparız
- satırın 6 katını 1. Satırdan çıkartırız
Buradan P1=2 ve P2=3 bulunacaktır.
2.Soru
Q=24K0,4 L0,7 olarak verilen Cobb-Douglas üretim fonksiyonunun ölçeğe göre getirisi aşağıdakilerden hangisidir?
|
Sabit |
|
Artan |
|
Önce artan sonra azalan |
|
Azalan |
|
Önce azalan sonra artan |
Cobb-Douglas üretim fonksiyonunda ölçeğe göre getiri aşağıdaki gibi belirlenir:
?+ß<1 ise ölçeğe göre azalan getiri
?+ß=1 ise ölçeğe göre sabit getiri
?+ß>1 ise ölçeğe göre artan getiri
Buna göre ?+ß=0,4+0,7>1 olduğundan verilen fonksiyonda ölçeğe göre getiri artandır.
3.Soru
Tek bir satır veya sütundan oluşan matrislere ne ad verilir?
|
Minör |
|
Kofaktör |
|
Matrisin evriği |
|
Vektör |
|
İndis |
Tek bir satır veya sütundan oluşan matrislere de vektör denir.
4.Soru
Bir bankaya yatırılan mevduat % 6 faiz oranından 6 ayda bir bileşiklendirildiğinde efektif faiz oranı aşağıdakilerden hangisine eşit olur?
|
% 6.01 |
|
% 6.03 |
|
% 6. 05 |
|
% 6.07 |
|
% 6.09 |
5.Soru
f(x,y)=10x2+5xy+4y2-25 fonksiyonunun x değişkenine göre kısmi türevi aşağıdakilerden hangisidir?
|
25x |
|
20x+5y |
|
20x+5y-25 |
|
25x+25 |
|
10x+13y |
6.Soru
Üretim fonksiyonu Q(K,L)=K0.5L0.5 Şengüller işletmesi için birim emek maliyeti 4, birim sermaye maliyeti 12 Lira ise maliyet minimizasyonu yapmak için 100 birim sermayeye karşılık kaç birim emek kullanmalıdır?
|
300 |
|
250 |
|
200 |
|
150 |
|
100 |
Maliyet minimizasyonu amacımız olduğuna göre Langrange ifademiz şu şekilde olacaktır:
L=12K+4L+ λ(Q- K0.5L0.5)
- Derece türevleri alırsak:
LK=12-0.5 λ(L/K)0.5 ve buradan 12=0.5 λ(L/K)0.5
LL=4-0.5 λ(K/L)0.5 ve buradan 4=0.5 λ(K/L)0.5
Bu ifadeleri taraf tarafa bölersek 3=L/K yani L=3K olur. Yani 100 birim sermaye karşılık L=3*100=300 birim emek kullanılmalıdır. Cevap A'dır.
7.Soru
I. Eşitlik sayısından daha fazla değişken varsa sistemi çözmek için yeterli ipucu yoktur.
II. Eşitliklerden birinin kesin olarak 0’a eşit olması beklenir.
III. Değişkenlerden daha fazla eşitlik varsa, çok fazla ipucu vardır.
Bir eşitliğin çözülüp çözülemeyeceğinin belirlenmesine ilişkin yukarıdaki ifadelerden hangisi/hangileri doğrudur?
|
Yalnız I |
|
Yalnız II |
|
I ve III |
|
II ve III |
|
I, II ve III |
Bir eşitliği çözüp çözemeyeceğinizi nasıl belirlersiniz? Kural oldukça basittir: eşitlikleri ve sonra da bilinmeyenleri (değişkenleri) sayarız.
- Eğer eşitlik sayısından daha fazla değişken varsa sistemi çözmek için yeterli ipucunuz yok demektir.
Örneğin, y = x + z ve z = 5 şeklinde iki eşitlik ve 3 değişkene sahipseniz, y = x + 4 olduğunu bilirsiniz ama bir eşitlik daha olmadan y veya x’i çözecek yeterli bilgiye sahip olamazsınız.
- Diğer taraftan, eğer elinizde değişkenlerden daha fazla eşitlik varsa, çok fazla ipucunuz var demektir.
Örneğin, 4 eşitlik ve 3 bilinmeyene sahipseniz eşitliklerden bir tanesi ya tutarsız ya da bağımlı olacaktır.
8.Soru
Bir kısıtlı optimizasyon probleminde Lagrange çarpanı aşağıdakilerden hangi anlama gelmektedir?
|
Amaç-kısıt oranıdır. |
|
Kısıttaki değişimin amaca etkisidir. |
|
Amaçtaki değişimin kısıta etkisidir. |
|
Kısıtın esnekliğidir. |
|
Kısıt-amaç oranıdır. |
Kısıtlı optimizasyon problemindeki Lagrange çarpanı amacın kısıttaki değişime duyarlılığını ölçmektedir. Dolayısıyla Lagrange çarpanı amaç ile kısıt arasındaki marjinal ilişkinin şiddetini ölçer.
9.Soru
olarak verilen bir üretim fonksiyonunda K=15 ve L=5 ise marjinal ikame oranı (MRS) kaçtır?
|
-0,75 |
|
-0,25 |
|
0 |
|
0,25 |
|
0,75 |
10.Soru
Soruda tüketim (C), harcanabilir gelir (Yd) ve vergi (T) eşitlikleri verilmiştir. Buna göre marjinal tüketim eğilimi aşağıdakilerden hangisi olur?
|
0.7 |
|
0.2 |
|
0.5 |
|
0.14 |
|
0.56 |
Burada bulduğumuz 0.56 katsayısı marjinal tüketim eğilimini biz verir.
11.Soru
Yukarıdaki matrisin determinantı aşağıdakilerden hangisidir?
|
-6 |
|
-1 |
|
1 |
|
3 |
|
6 |
Determinant bir doğrusal denklem sisteminin çözümünün bulunmasında kullanılır. 2 x 2 boyutundaki bir kare matris için determinant değeri, matrisin köşegen elemanları çarpımından köşegen dışı elemanları çarpımının çıkarılmasıyla bulunur. Bu durumda köşegen elemanları 1 x 1’den 1 olarak bulunurken; köşegen dışı elemanların çarpımı 0 x 7’den 0 olarak bulunur. Aradaki fark alındığında determinant 1 - 0 = 1 olarak bulunur. Doğru cevap C’dir.
12.Soru
Birbirleriyle ilişkili iki değişkenden biri artarken diğer değişkenin nasıl değişeceği aşağıdakilerden hangisi ile gösterilir?
|
Limit |
|
İntegral |
|
Determinant |
|
Fonksiyon |
|
Türev |
Türev; iki değişkenden birinin değeri artarken diğerinin değerinin hangi yönde ve ne kadar değişeceği ile ilgilenir. Bu yönde birkaç örnek sıralayabiliriz:
• Acaba bir yıl daha fazla okula gitmenin bireylerin ortalama ücretlerine etkisi ne kadardır?
• Bir malın fiyatındaki 1 liralık artış, mala olan talebi ne kadar azaltacaktır?
• Döviz kurlarındaki 1 kuruşluk artış, net ihracatı ne yönde ve hangi miktarda değiştirecektir?
• Üretim miktarındaki bir birimlik artış, toplam maliyetleri ne kadar artıracaktır?
• Vergi oranındaki %1’lik bir artış, vergi hasılasını artıracak mıdır, yoksa azaltacak mıdır?
Doğru cevap E'dir.
13.Soru
Birbirleriyle ilişkili iki değişkenden biri artarken diğer değişkenin nasıl değişeceğini gösteren kavram aşağıdakilerden hangisidir?
|
Fonksiyon |
|
Türev |
|
Limit |
|
Süreklilik |
|
İntegral |
Türev birbirleriyle ilişkili iki değişkenden biri artarken diğer değişkenin nasıl değişeceğini gösterir. Doğru cevap B'dir.
14.Soru
Fayda fonksiyonu U = 40x1 + 20x2 + 90 olan bir tüketici için x1 ürünü tüketiminde meydana gelecek 1 birimlik artışın faydaya olan etkisi kaçtır?
|
20
|
|
40
|
|
60
|
|
80
|
|
90
|
15.Soru
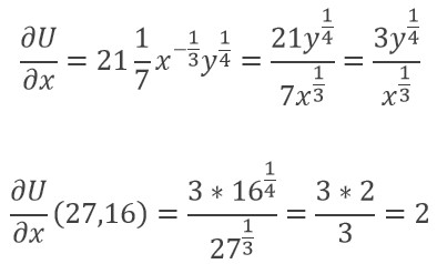
x ve y mallarını tüketen bir tüketicinin fayda fonksiyonu olarak verilmiştir. Buna göre bu tüketici x malından 27 ve y malından 16 birim tüketiyorsa x malının marjinal faydası kaçtır?
|
1 |
|
2 |
|
3 |
|
4 |
|
5 |
Fayda fonksiyonunun x’e göre kısmi türevinde değerler yerine yazılarak hesaplama yapılır.
16.Soru
Tekelci bir piyasaya ait talep fonksiyonu (P) ve ortalama maliyet fonksiyonu(AC) verilmiştir. Buna göre, bu piyasadaki firmanın maksimum kar elde edebilmesi için üretmesi gereken çıktı miktarı (Q) kaç birimdir?
|
0,6 |
|
0,8 |
|
1,2 |
|
1,5 |
|
2 |
17.Soru
Aşağıdakilerden hangisi P = 3q2 + 150 fonksiyonunun kritik noktasıdır?
|
q = 1
|
|
q = 0
|
|
q = -1
|
|
q = 2
|
|
q = 3
|
18.Soru
z=f(x1,x2) fonksiyonu sürekli türevlenebiliyorsa ikinci mertebeden çapraz kısmi türevlerinin birbirine eşit olduğunu öne süren teorem aşağıdakilerden hangisidir?
|
Young teoremi |
|
Runge teoremi |
|
Taylor teoremi |
|
Hardy teoremi |
|
Bayes teoremi |
Söz konusu savı öne süren teorem Young teoremidir. Doğru cevap A'dır.
-
- 1.SORU ÇÖZÜLMEDİ
- 2.SORU ÇÖZÜLMEDİ
- 3.SORU ÇÖZÜLMEDİ
- 4.SORU ÇÖZÜLMEDİ
- 5.SORU ÇÖZÜLMEDİ
- 6.SORU ÇÖZÜLMEDİ
- 7.SORU ÇÖZÜLMEDİ
- 8.SORU ÇÖZÜLMEDİ
- 9.SORU ÇÖZÜLMEDİ
- 10.SORU ÇÖZÜLMEDİ
- 11.SORU ÇÖZÜLMEDİ
- 12.SORU ÇÖZÜLMEDİ
- 13.SORU ÇÖZÜLMEDİ
- 14.SORU ÇÖZÜLMEDİ
- 15.SORU ÇÖZÜLMEDİ
- 16.SORU ÇÖZÜLMEDİ
- 17.SORU ÇÖZÜLMEDİ
- 18.SORU ÇÖZÜLMEDİ