Mathematics 1 Final 1. Deneme Sınavı
Toplam 19 Soru2.Soru
What is the solution of the logarithmic equation
|
{log5 9} |
|
{log5 3} |
|
{log3 5} |
|
{log3 2} |
|
|
3.Soru
For the function f(x) = 2x3 + 3x2 + 5x what is the sum of f'(2) and f(1) equal to?
|
49 |
|
50 |
|
51 |
|
52 |
|
53 |
The derivative of the function f(x) = 2x3 + 3x2 + 5x is equal to 6x2 + 6x + 5. f'(2) = 6*(2)2 + 6*2 + 5 = 24+12+5=41 and f(1) = 2*(1)3 + 3*(1)2 + 5*1 = 2+3+5=10. the sum of these two values 41+10= 51. The answer is C.
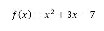
4.Soru
At which point on the graph of the function the slope is zero?
|
(-3/2, -7) |
|
(-3/2, -37/4) |
|
(-32/4, -3/2) |
|
(0 ,-5) |
|
(3, 8) |
So, the slope of the tangent line to the graph is zero at (-3/2, -37/4). The answer is B.
5.Soru
While approaching from the right limx→1 (x2 - 1) / (x4 – 1) = ?
|
0.5 |
|
0 |
|
does not exist |
|
∞ |
|
-1 |
(x2 – 1) / (x2 - 1) (x2 + 1) = 1 / (x2 + 1) ; 1 / (1 + 1) = 0.5 ; x ≠ 1 . pg. 108 . Correct answer is A.
6.Soru
What is the equation for the tangent line to the function f(x)=x2-2x+1at point (2,1)?
|
y=x-1 |
|
y=2x-3 |
|
y=3x-5 |
|
y=x+1 |
|
y=x |
The equation of tangent line is given by the formula:
y – f(x0) = f'(x0)(x – x0)
x0=2 and f(x0)=1 are given.
Since f(x)=x2-2x+1 then f'(x)=2x-2 and f'(x0)=2*2-2=2 for x0=2.
Thus the equation for the tangent line will be:
y-1=2(x-2)
y-1=2x-4
y=2x-3
7.Soru
While approaching from the right limx→2 (x2 – x – 2) / (x – 2) = ?
|
0 |
|
1 |
|
does not exist |
|
∞ |
|
3 |
(x – 2) (x + 1) / (x – 2) = x + 1 ; x ≠ 2 . pg. 108. Correct answer is E.
8.Soru
On which interval is the function f(x)=x3-12x increasing?
|
(-∞, -2)U(0,2) |
|
(-∞, -3)U(3,∞) |
|
(-∞, -4)U(4,∞) |
|
(-∞, -1)U(2,∞) |
|
(-∞, -2)U(2,∞) |
A function is increasing where its first derivative is positive. Thus, we have to find the intervals where the first derivative of function is positive.
f(x)=x3-12x
f'(x)=3x2-12
So the function is increasing where f'(x)>0
Namely:
3x2-12>0
3x2>12
x2>4
This is possible when x>2 and when x<-2
Thus the function is increasing in the interval (-∞, -2)U(2,∞)
9.Soru
Given that the demand function is p=60-x/3, the fixed cost 120 TL, and the variable cost for each item produced is 3 TL, what is the maximum profit?
|
450,5 |
|
550,75 |
|
2317,86 |
|
1536 |
|
2316,75 |
We know that the total revenue function is given by R=p*x,
Therefore, the answer is E.
10.Soru
limx›0, y›0 (x2 + xy + y2) / (x + xy + y) = ?
|
1 |
|
0 |
|
2 |
|
does not exist |
|
3 |
(x2 + x k x + k2 x2) / (x + x k x + k x) = (x2 (1 + k + k2)) / (x (k x + 1 + k)) = (x (1 + k + k2)) / (k x + 1 + k) = 0. pg. 182. Correct answer is B
11.Soru
_______ is the point at which cost or expenses and revenue are equal.
|
Surplus |
|
the Equilibrium Point |
|
Shortage |
|
the Break-Even Point |
|
the Total Revenue |
The break-even point is the point at which cost or expenses and revenue are equal: there is no net loss or gain, and one is said to have “broken even.”
12.Soru
For the function f(x)=x²-4x+12 which of the followings is correct?
|
f'(x)=2x |
|
f''(x)=0 |
|
The function has local minimum at (2,8) |
|
The function has local maximum at (2,8) |
|
The function has no local minimum or local maximum point |
f(x)=x²-4x+12
f'(x)=2x-4
f'(x)=2x-4=0 ›x=2
f''(x)=2, 2>0 local minimum.
f(2)=4-8+12=8
14.Soru
z = f(x, y) is defined implicitly by xz – yz + 3 = 0 ; Which of the following ones below is the equation of the tangent plane to the graph of z = f (x, y) around the point (1, -2, -1) ?
|
-x + 2 y + 3 z + 8 = 0 |
|
2 x – y + 2 z – 7 = 0 |
|
-x – 3 y + 2 z + 6 = 0 |
|
x + y – z + 5 = 0 |
|
-3 x + 3 y + z + 4 = 0 |
at (1, -2, -1) : ?F / ?x = z = -1 ; ?F / ?y = -y = 2 ; ?F / ?z = x – y = 3 ; -1 (x – 1) + 2 (y - (-2)) + 3 (z - (-1)) = -(x – 1) + 2 (y + 2) + 3 (z + 1) = -x + 1 + 2 y + 4 + 3 z + 3 = -x + 2 y + 3 z + 8 = 0 . pg. 187. Correct answer is A.
15.Soru
The fixed costs of a product is 2750 TL, variable cost of one unit is 1,5 TL, and the selling price of the product is 3 TL. Which of the following is the break-even point?
|
1850 |
|
1833,33 |
|
1733 |
|
1633,33 |
|
750,35 |
Break-even point is the point where the total cost and the total revenue are equal C(x)=R(x).
For our question, R(x)=p*x=3x and C(x)=v*x+a=1,5x+2750.
1,5x+2750=3x, 1,5x=2750, x=1833,33. The answer is B.
16.Soru
At which (x,y) point is the value of the function y=f(x)=x2-6x+5 is minimum?
|
(0,5) |
|
(3,0) |
|
(6,1) |
|
(2,-3) |
|
(3,-4) |
The first derivative must be equal to zero and the second derivative must be positive for a minimum value of a function. Thus:
f(x)=x2-6x+5
f'(x)=2x-6=0 so 2x=6, x=3 and when x=3 y=f(x)=9-18+5=-4
The second derivative is:
f''(x)=2>0
Thus for given function, point (3,-4) is the minimum.
17.Soru
SleepTight company sells its new pillow for 360 TL per item. Total cost consists of a fixed cost of 4800 TL and the production cost of 120 TL per item. How much profit or loss the manufacture acquires if the company sells 30 pillows?
|
3400 loss |
|
3400 profit |
|
740 profit |
|
2400 loss |
|
2400 profit |
Since the profit is revenue minus the cost we have P(x)=360x-(4800+120x)=240x-4800. Now, to find whether the company loses or makes money insert x=30 into the profit function: P(30)=240·30-4800=+2400, which means that the company gains 2400 TL.
18.Soru
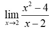
Which of the following is the value of
|
0 |
|
1 |
|
2 |
|
5 |
|
does not exist. |
we need to factorise the ratio which follows as;
f(x)=(x²-1)/(x-1)=(x-1)(x+1)/(x-1)=x+1
and if we put "1" instead of x, then the answer will be 1+1=2.
19.Soru
What is the value of the ?
|
1 |
|
4 |
|
8 |
|
12 |
|
does not exist |
by fractionating the function f(x)=(x-2)(x+2)/(x-2)=x+2 then lim x›2 x+2= 4
-
- 1.SORU ÇÖZÜLMEDİ
- 2.SORU ÇÖZÜLMEDİ
- 3.SORU ÇÖZÜLMEDİ
- 4.SORU ÇÖZÜLMEDİ
- 5.SORU ÇÖZÜLMEDİ
- 6.SORU ÇÖZÜLMEDİ
- 7.SORU ÇÖZÜLMEDİ
- 8.SORU ÇÖZÜLMEDİ
- 9.SORU ÇÖZÜLMEDİ
- 10.SORU ÇÖZÜLMEDİ
- 11.SORU ÇÖZÜLMEDİ
- 12.SORU ÇÖZÜLMEDİ
- 13.SORU ÇÖZÜLMEDİ
- 14.SORU ÇÖZÜLMEDİ
- 15.SORU ÇÖZÜLMEDİ
- 16.SORU ÇÖZÜLMEDİ
- 17.SORU ÇÖZÜLMEDİ
- 18.SORU ÇÖZÜLMEDİ
- 19.SORU ÇÖZÜLMEDİ