Sağlık Alanında İstatistik Ara 1. Deneme Sınavı
Toplam 20 Soru1.Soru
Bir deneyin herhangi bir olası sonucunun sayısal değerine ne ad verilir?
|
Temel değişken |
|
Öznel değişken |
|
Nesnel değişken |
|
Subjektif değişken |
|
Rassal değişken |
Sayısal değerler yardımıyla bir deneydeki olası sonuçların tanımlanmasında bir araç olarak rassal değişkenler kullanılır. Dolayısıyla rassal değişkenlerin sayısal değerler olduğu kabul edilir. Buna göre, bir deneyin herhangi bir olası sonucunun sayısal değerine rassal değişken adı verilir.
2.Soru
Büyüklük sırasına konmuş birimlerin birden fazla kullanılması durumunda ilgilenilen değişkenin aldığı değerlerin tekrarlanma sayılarını da gösterecek şekilde elde edilen seriye ne ad verilir?
|
Basit seri |
|
Kontenjan serisi |
|
Frekans serisi |
|
Kümülatif seri |
|
Gruplanmış seri |
Büyüklük sırasına konmuş birimlerin birden fazla kullanılması durumunda ilgilenilen değişkenin aldığı değerlerin tekrarlanma sayılarını da gösterecek şekilde elde edilen seriye frekans serisi denir. Doğru cevap C'dir.
3.Soru
Kesikli olasılık dağılımı olarak bilinen dağılım hangisidir?
|
Kombinasyon |
|
Algoritma |
|
Logaritma |
|
Binom |
|
Permutasyon |
Binom dağılımı, uygulamalarda çok sık rastlanan kesikli olasılık dağılımıdır. Dağılımın
en önemli özelliği, aynı koşullarda tekrarlanan deneylerin her tekrarında yalnızca iki olası sonuç bulunur.
4.Soru
Aşağıdakilerden hangisi kesikli değişkendir?
|
Kan basıncı |
|
Bir hastanedeki yatak sayısı |
|
Vücut ağırlığı |
|
Boy |
|
Cinsiyet |
Alacağı değerler sadece tamsayı olarak belirtilebilen nicel değişkenlere kesikli değişken adı verilir. Bir hastanedeki yatak sayısı tamsayı ile ifade edilir. Doğru cevap B'dir.
5.Soru
Bir okulda sporla ilgilenen 90 öğrenciden 30’u basketbol, 40’ı voleybol, 25’ i ise hem basketbol hem voleybol oynamaktadırlar. Bu öğrenciler arasından rastgele seçilen bir öğrencinin hem basketbol hem de voleybol oynama olasılığı kaçtır?
|
0,25 |
|
0,50 |
|
0,75 |
|
0,80 |
|
0,85 |
P(A)= 30/90. P(B)=40/90. P(A∩B)= 25/90 olasılıkları mevcuttur. Toplama kuralı yardımıyla; P(A∪B)= P(A).P(B) - P(A∩B)= 30/90 + 40/90 - 25/90 = 45/90 = 0,5 bulunur.
6.Soru
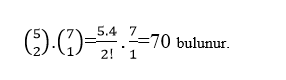
5 hemşire ve 7 doktor arasından 2 hemşire ve bir doktor ile kaç farklı ekip oluşturulabilir?
|
140 |
|
90 |
|
70 |
|
35 |
|
20 |
7.Soru
Bir üniversite bünyesinde bulunan bir fakültede, fakülte öğrencilerinden belirli sayıda örneklem alınarak öğrencilerin fiziksel sağlıkları ile ilgili istatistik elde edilmek istenmektedir. Bu durumda aşağıdaki istatistik türlerinden hangisi kullanılmış olur?
|
Tanımlayıcı istatistik |
|
Betimsel istatistik |
|
Biyoistatistik |
|
Çıkarımsal istatistik |
|
Biyometri |
Çıkarımsal istatistik, örnekten elde edilen bilgi kullanılarak topluluk değerinin en iyi tahminidir.
8.Soru
Bir araştırmada gözlem değerlerinin terslerinin aritmetik ortalamasının tersi ile ilgileniliyor ise ne hesaplanır?
|
Değişim aralığı |
|
Ortalama Sapma |
|
Geometrik ortalama |
|
Kırpılmış ortalama |
|
Harmonik ortalama |
Bir araştırmada gözlem değerlerinin terslerinin aritmetik ortalamasının tersi ile ilgileniliyor ise harmonik ortalama hesaplanır.
9.Soru
İstatistiksel hipotez testlerinde yapılabilecek hatalarla ilgili olan aşağıdaki ifadelerden hangisi doğrudur?
|
Gerçekte Ho hipotezi doğru iken test sonucunda yanlış karara varılıp Ho reddedebilirse yapılan bu hataya 2.ci tip hata denir. |
|
Gerçekte Ho hipotezi yanlış iken test sonucunda doğru karara varılıp Ho kabul edilirse yapılan bu hataya I.ci tip hata denir. |
|
Hipotez testlerinde, 1. tip hataya nazaran, 2.tip hata işlemekten daha çok kaçınılır. |
|
Hipotez testlerinde birinci ve ikinci tip hatalardan birini işleme olasılığı artarken diğerini işleme olasılığı da artar. |
|
1. tip hatayı işleme riskine razı olabileceğimiz maksimum olasılığa testin anlam düzeyi denir. |
Görüldüğü gibi istatistiksel hipotez testlerinde yapılabilecek iki tür hata söz konusudur. Gerçekte Ho hipotezi doğru iken test sonucunda yanlış karara varılıp reddedilirse yapılan bu hataya 1. tip hata ya da alfa-hatası adı verilir. Gerçekte H0 hipotezi yanlış iken test sonucunda yanlış karara varılıp kabul edilirse yapılan bu hataya da 2. tip hata ya da beta-hatası adı verilir.
Hipotez testlerinde, 1. tip hata üzerinde daha çok durulur ve 2. tip hataya nazaran, 1. tip hata işlemekten daha çok kaçınılır. Ayrıca, 1. ve 2. tip hatalar arasında ters orantı vardır. Yani bu hatalardan birini işleme olasılığı azalırken diğerinin olasılığı artar.
10.Soru
Toplam 40 kişilik bir sınıfta yapılan test sınav sorularının çözülme süreleri gruplandırılmış frekans serisi olarak aşağıda verilmiştir. Bu sınıfın bu sınav için ortalama soru çözme süresi ne kadardır ?
|
27,93 |
|
29,36 |
|
32,25 |
|
35,41 |
|
39,39 |
Sınıf aralıklarının orta noktası X_i olarak alınır.
Soru çözme süresi (Saniye ) X_i Frekans
0 - 10 (0+10)/2 = 5 2
10 - 20 (10+20)/2=15 6
20 - 30 (20+30)/2=25 9
30 - 40 (30+40)/2=35 11
40 - 50 (40+50)/2=45 8
50 - 60 (50+60)/2=55 4
Toplam 40
µ = (?-?f_i.x_i ?)/N = (5.2+15.6+25.9+35.11+45.8+55.4)/40 = (10+90+225+385+360+220)/40 = 1290/40 = 32,25
11.Soru
7 – 9. Sorular aşağıdaki bilgilere göre cevaplandırılacaktır. Varyansı 36 olan normal dağılımlı bir ana kütleden seçilen 36 birimlik bir örneklemin aritmetik ortalaması 36’dır. %95 güven düzeyinde, H0 : µ = 42 ve H1 : µ ? 42 olarak kurulan hipotezler test edilecektir.
7. Aşağıdakilerden hangisi sıfır hipotezi için red bölgesidir?
|
Sol alt kuyrukta, %2,5’lik alan |
|
Sağ alt kuyrukta, %5’lik alan |
|
Sağ alt kuyrukta, %2,5’lik alan |
|
Her iki alt kuyrukta, %5’erlik alan |
|
Her iki alt kuyrukta, %2,5’erlik alan |
Eğer H1 hipotezi çift-yönlü, yani ana kütle parametresinin test edilecek değerden farklı olduğu şeklinde kurulmuş ise red bölgesi dağılımın her iki alt kuyruğunda da yer alır ve bu iki bölgenin toplam büyüklüğü, ?/2’si sağ alt kuyrukta ve ?/2’si sol alt kuyrukta olmak üzere kadardır. Örneğimizde ? = 0,95 olduğu için (1 – ? ) = 0,05 ?/2 = 0,025 olur.
12.Soru
Bir olasılık dağılımı
X P(x)
0 0,15
1 0,25
2 0,40
3 0,20
Olarak veriliyor. Bu olasılık dağılımının beklenen değeri kaçtır ?
|
0,85 |
|
1,05 |
|
1,65 |
|
2,12 |
|
2,30 |
Beklenen değer, bir rassal değişkenin aldığı değerlerin, bu rassal değişkenlere ilişkin olasılıklarla ağırlıklandırıldığı bir ağırlıklı ortalamadır. Kesikli bir rassal değişkeninin beklenen değeri aşağıdaki eşitlik yardımıyla hesaplanır:
E(x)= µ = ? x.P(x) = 0.(0,15) + 1.(0,25) + 2. (0,40 ) + 3. (0,20)
= 0 + 0,25 + 0,80 + 0,60
= 1,65
13.Soru
Bilimsel bir araştırmada incelenecek olan tüm birimlerin oluşturduğu topluluğa ne ad verilir?
|
Birim |
|
Veri |
|
İstatistik |
|
Ana kütle |
|
Örneklem |
Bilimsel bir araştırmada incelenecek olan tüm birimlerin oluşturduğu topluluğa ana kütle denir. Doğru cevap D'dir.
14.Soru
Büyüklük sırasına konulmuş verilerin birden fazla kullanılması durumunda ilgilenilen değişkenin aldığı değerlerin tekrar sayılarını gösterecek şekilde elde edilen seriye ne ad verilir?
|
Basit seri |
|
Bileşik seri |
|
Çok değişkenli seri |
|
Çapraz tablo |
|
Frekans serisi |
Büyüklük sırasına konulmuş verilerin birden fazla kullanılması durumunda ilgilenilen değişkenin aldığı değerlerin tekrar sayılarını gösterecek şekilde elde edilen seriye frekans serisi adı verilir. Doğru cevap E'dir.
15.Soru
İkiden fazla ana kütle ortalamasının karşılaştırılması hangi yöntem ile yapılır?
|
Aralık Tahmini |
|
Korelasyon |
|
Regresyon Analizi |
|
Varyans Analizi |
|
Hipotez Testi |
İkiden fazla ana kütle ortalamasının karşılaştırılmasında Varyans Analizi yöntemi kullanılır. Doğru cevap D'dir.
16.Soru
Ortalama, olasılık dağılımlarının merkezi eğilimini gösteren tipik bir değer olan, bir olasılık dağılımının ortalamasına ne ad verilir?
|
Beklenen değer |
|
Alışılmış değer |
|
Negatif değer |
|
Ortalama değer |
|
Pozitif değer |
Ortalama, olasılık dağılımlarının merkezi eğilimini gösteren tipik bir değerdir ve bir olasılık dağılımının ortalamasına, o olasılık dağılımının beklenen değeri adı verilir. Beklenen değer, bir rassal değişkenin aldığı değerlerin, bu rassal değişkenlere ilişkin olasılıklarla ağırlıklandırıldığı bir ağırlıklı ortalamadır.
17.Soru
Standart sapması 16 olan bir serinin varyans değeri kaçtır?
|
4 |
|
16 |
|
64 |
|
128 |
|
256 |
Standart sapma, varyansın kareköküne eşit olduğundan dolayı; elde edilmek istenen varyans değeri 16'nın karesinin alınması ile elde edilir. 16'nın karesi 256'ya eşittir. Doğru cevap E'dir.
18.Soru
Bir araştırma sonucunda elde edilen gözlem sonuçları 3, 4, 5, 5, 3, 3, 2, 2, 1, 3, 4, 5, 2 olarak verilmiştir. Bu serinin medyanı kaçtır?
|
1 |
|
2 |
|
3 |
|
4 |
|
5 |
Terimleri büyükten küçüğe sıralanmış bir seride, serinin tam ortasında yer alan terimin aldığı değere medyan ya da ortanca adı verilir.
19.Soru
Birbirleri ile ilişkili olan A olayının gerçekleştiği bilindiğinde, B olayının gerçekleşme olasılığına ne ad verilir?
|
Koşullu olasılık |
|
Beklenen değer |
|
Varyans |
|
Bayes teoremi |
|
Bernoulli denemesi |
Birbirleri ile ilişkili olan A olayının gerçekleştiği bilindiğinde, B olayının gerçekleşme olasılığına koşullu olasılık denir. Doğru cevap A'dır.
20.Soru
Bir bilimsel araştırma kapsamında, 100 birinci sınıf, 200 ikinci sınıf ve 250 de üçüncü sınıf düzeyinden öğrencinin akademik motivasyon düzeyi ölçülmüştür. Öğrencilerin akademik motivasyon düzeylerinin sınıf düzeylerine göre farklılaşıp farklılaşmadığının belirlenmesi için hangi istatistiksel yöntemden yararlanılır?
|
İki Yönlü Varyans Analizi |
|
Tek Yönlü Varyans Analizi |
|
Tekrarlı Ölçükler için Tek Yönlü Varyans Analizi |
|
Bağımsız Örneklemler için t-Testi |
|
İlişkili Örneklemler için t-Testi |
Bu ölçümler dikkate alındığında Tek Yönlü Varyans Analizi uygulanmalıdır.
-
- 1.SORU ÇÖZÜLMEDİ
- 2.SORU ÇÖZÜLMEDİ
- 3.SORU ÇÖZÜLMEDİ
- 4.SORU ÇÖZÜLMEDİ
- 5.SORU ÇÖZÜLMEDİ
- 6.SORU ÇÖZÜLMEDİ
- 7.SORU ÇÖZÜLMEDİ
- 8.SORU ÇÖZÜLMEDİ
- 9.SORU ÇÖZÜLMEDİ
- 10.SORU ÇÖZÜLMEDİ
- 11.SORU ÇÖZÜLMEDİ
- 12.SORU ÇÖZÜLMEDİ
- 13.SORU ÇÖZÜLMEDİ
- 14.SORU ÇÖZÜLMEDİ
- 15.SORU ÇÖZÜLMEDİ
- 16.SORU ÇÖZÜLMEDİ
- 17.SORU ÇÖZÜLMEDİ
- 18.SORU ÇÖZÜLMEDİ
- 19.SORU ÇÖZÜLMEDİ
- 20.SORU ÇÖZÜLMEDİ