Sanayi Ekonomisi Final 10. Deneme Sınavı
Toplam 20 Soru1.Soru
"Kamu Çıkarı Teorileri" ile ilgili verilen bilgilerden hangisi yanlıştır?
|
Kamu çıkarı teorilerinin merkezinde piyasa başarısızlıkları ve etkin kamu müdahalesi bulunmaktadır |
|
Kamu çıkarı teorilerine göre firmaların ve diğer iktisadi aktörlerin regülasyonu, sosyal refahı artırmaktadır |
|
Kamu çıkarı teorisi, regülasyonlara ilişkin devletin piyasaya müdahalesinin, piyasa başarısızlıklarına ve piyasa kusurlarına cevap olarak yapıldığını açıklamaktadır |
|
Kamu çıkarı teorilerine göre zamanla diğer politik meselelerin daha öncelikli hâle gelmesi, yasa yapıcıların düzenleyici kurumlar üzerindeki denetimini azaltacaktır |
|
Kamu çıkarı teorileri, politikacıların kamu çıkarına uygun davrandıklarını ya da politik süreçlerin etkin olduğunu ve maliyet hakkındaki bilgiler ile regülasyonun faydalarının geniş bir şekilde yayıldığını varsaymaktadır. |
Özel çıkar teorilerinin ilki özellikle siyaset bilimciler tarafından geliştirilen ele geçirme teorisidir. Teori regülasyonun zamanla endüstrinin çıkarına hizmet eder hâle geleceğini varsaymaktadır. Teoriye göre zamanla diğer politik meselelerin daha öncelikli hâle gelmesi, yasa yapıcıların düzenleyici kurumlar üzerindeki denetimini azaltacaktır.
2.Soru
Doğrusal olmayan (nonlinear) fiyat farklılaştırması olarak da bilinen ve birim başına fiyatın sabit olmayıp satın alınan malın miktarına göre değişmekte olduğu fiyat farklılaştırması aşağıdakilerden hangisidir?
|
Sıfırıncı derece fiyat farklılaştırması |
|
Birinci derece fiyat farklılaştırması |
|
İkinci derece fiyat farklılaştırması |
|
Üçüncü derece fiyat farklılaştırması |
|
Dördüncü derece fiyat farklılaştırması |
Doğrusal olmayan (nonlinear) fiyat farklılaştırması olarak bilinen ikinci derece fiyat farklılaştırmasında, birim başına fiyat sabit olmayıp satın alınan malın miktarına göre değişmektedir.
3.Soru
Aşağıdakilerden hangisi piyasa yapısını belirleyen niteliklerden birisi değildir?
|
Üreticilerin devletle ilişkileri |
|
Piyasadaki satıcıların birbirleriyle ilişkileri |
|
Alıcıların birbirleriyle ilişkileri |
|
Satıcılarla alıcılar arasındaki ilişkiler |
|
Piyasadaki satıcıların potansiyel satıcılarla ilişkileri |
Piyasa yapısını belirleyen nitelikler şöyle sıralanır:
- Piyasadaki satıcıların birbirleriyle ilişkileri
- Alıcıların birbirleriyle ilişkileri
- Satıcılarla alıcılar arasındaki ilişkiler
- Piyasadaki satıcıların potansiyel satıcılarla ilişkileri
Devletle üreticilerin ilişkisi piyasa yapısını belirleyen nitelikler arasında değildir.
4.Soru
Oligopolde faaliyet gösteren iki firmadan birisi rakibinin üretimini düşük miktarda tutacağını düşünmektedir. Bu firma için en iyi strateji aşağıdakilerden hangisinde verilmiştir?
I. Üretimi düşük tutmak
II, Üretimi sabit tutmak
III.Üretimi artırmak
|
Yalnız I |
|
Yalnız II |
|
Yalnız III |
|
I veya II |
|
II veya III |
İlk olarak A firmasının seçenekleri incelenirse: Eğer A firması, B firmasının “yüksek” çıktı üreteceğini düşünürse o da “yüksek” çıktı miktarı üreterek ve 1 birim kâr elde ederek yapabileceğinin en iyisini yapacaktır. Aynı durumda eğer A firması “düşük” miktar üretimi seçseydi bu durumda 0 kâr elde edecekti. Eğer A Firması, B Firmasının “düşük” miktar üreteceğini düşünürse, aynı şekilde yapacağı en iyi stratejiyi seçerek “yüksek” miktarda çıktı üretip 3 birim kâr elde edecektir. Tersine, eğer o da B firması gibi “düşük” miktarda üretimi seçerse bu durumda 2 birim kâr elde edecektir. Bundan dolayı, A firması için en iyi strateji, B firmasının ne yapacağını düşünmeksizin,
“yüksek” çıktı miktarını seçmektir. Doğru cevap C seçeneğidir.
5.Soru
Göreli rekabet yöntemi ile ilgili aşağıda verilen ifadelerden hangisi doğru değildir?
|
Şirketin kazancı hiçbir şekilde kendi maliyetine bağlı değildir |
|
Yöntemde gözle görülür şekilde şirketlerin birbirleriyle rekabet etmesi söz konusu değildir |
|
Firmalar aynı piyasada hizmet veren ve rekabet eden firmalar olmalıdır |
|
Diğer düzenlenmiş firmanın fiyatları ve performansları başka bir firmanın performansını değerlendirmek için bir ölçüt olarak kullanılmaktadır |
|
Yöntemin dezavantajlarından birisi; piyasada gizli anlaşma riskinin söz konusu olmasıdır |
A,B,D ve E seçenekleri doğru iken, C şıkkındaki ifade doğru değildir. Çünkü, firmaların aynı piyasada hizmet veren ve rekabet eden firmalar olması gerekmez. Şöyle ki; firmalar aynı piyasada hizmet vermeyen ve rekabet etmeyen firmalar olsa bile maliyetleri bakımından rekabet içinde olmaları da yeterlidir. Doğru seçenek "C" şıkkıdır.
6.Soru
Aşağıdaki çemberimsi modelde piyasa dengesine ilişkin ifadelerden hangisi yanlıştır?
|
Firmaların yüksek fiyat isteklerini uygulayabildikleri bölge, firmaların müşterileri için rekabet etmek zorunda kalmadıkları bölgedir.
|
|
Firmaların yüksek fiyat isteklerini uygulayabildikleri bölge, her bir firma kendi sınırları içinde monopolcü bir güce sahiptir.
|
|
Firmaların yüksek fiyat isteklerini uygulayabildikleri bölge, monopolcü gücü kar maksimizasyonu için kullanır.
|
|
Modelde bir firma sattığı ürünün fiyatını arttırdığında ciddi Pazar payı ve gelir kaybı yaşamaktadır.
|
|
Modelde bir firma sattığı ürünün fiyatını arttırdığında rakip firmalar bir reaksiyon göstermektedir.
|
7.Soru
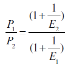
İki grup tüketici için ilk grubun talep esnekliği -3 (E1 = -3) ve ikinci grubun talep esnekliği -6 (E2 = -6) ise birinci gruptakilereuygulanan fiyat ikinci gruptakilerin kaç katıdır?
|
1 |
|
1,25 |
|
1,5 |
|
1,75 |
|
2 |
P1/P2= (1-1/6)/(1-1/3)=(5/6)/(2/3)=1,25
Buna göre birinci grup tüketicilere uygulanan fiyat ikinci grup tüketicilere uygulanan fiyatın 1,25 katı büyük olmalıdır.
8.Soru
Aşağıdakilerin hangisi bir ticari mübadelede, taraflardan birinin ticarete konu olan mal veya hizmet hakkında diğerine göre daha güvenilir, doğru ve ayrıntılı bilgiye sahip olması durumudur?
|
Asimetrik bilgi |
|
Ahlaki tehlike |
|
Güvenilir bilgi sağlama |
|
Stratejik davranış |
|
Tam etkinlik |
Asimetrik bilgi, örneğin bir ticari mübadelede, taraflardan birinin ticarete konu olan mal veya hizmet hakkında diğerine göre daha güvenilir, doğru veya ayrıntılı bilgiye sahip olması durumudur. Doğru cevap A'dır.
9.Soru
Aşağıda yer alan bilgilerden hangisi X-etkinsizliği ile alakalıdır.
|
Rekabet koşullarının olmadığı piyasa yapılarının işleyişi önemli ölçüde X-etkisizliklerine neden olabilir. |
|
X-etkinsizliği piyasa gücü ile doğrudan ilişkili bir kavramdır. |
|
Çıktı değerini azaltmadan bir malın çıktı değerini arttıramıyorsa bu durumda X-etkinliği söz konusudur. |
|
X etkinsizliğine neden olan, istikrarsızlık, enflasyon ve reklam gibi unsurlardan kaynaklanan israflar daha çok oligopol şartlarında ortaya çıkmaktadır. |
|
X- etkinsizliğine neden olan en önemli unsur büyümedir. |
Rekabet koşullarının olmadığı piyasa yapılarının işleyişi önemli ölçüde X-etkisizliklerine neden olabilir. X-etkinsizliği piyasa gücü ile doğrudan ilişkili bir kavramdır. Çıktı değerini azaltmadan bir malın çıktı değerini arttıramıyorsa bu durumda X-etkinliği söz konusudur. X etkinsizliğine neden olan, istikrarsızlık, enflasyon ve reklam gibi unsurlardan kaynaklanan israflar daha çok oligopol şartlarında ortaya çıkmaktadır. X etkinsizliğine neden olan bir başka unsur reklam ve satış çabalarından kaynaklanan israflardır.
10.Soru
Piyasa arzının mevcut talep düzeyinin çok altında olması durumunda mevcut arzın, talep edenler arasında eşit bir şekilde bölüşümünün yapılması ilkesine ne ad verilir?
|
Tayınlama |
|
Rasyonelleştirme |
|
Koordinasyon |
|
Kıtlık |
|
Planlama |
Bir piyasada arz ve talep koşulları daima değişkenlik gösterir. Piyasa arzının mevcut talep düzeyinin çok altında olması genellikle kıtlık olarak adlandırılır. Bu koşullarda piyasa fiyatı hızla yükselmekte ve tüketiciler zarar görmektedir. Piyasa mekanizması malların tahsisini sağlamada başarısız olabilmektedir. Böylesi durumlarda genellikle halk kıtlığın yaşandığı piyasada malın tüketiciler arasında tahsisinin devlet tarafından yapılmasını arzu etmektedir. Bu durumda mevcut arzın, talep edenler arasında eşit bir şekilde bölüşümünün yapılması ilkesine dayanan tayınlama yani malların karne ile tahsisi yapılır. Tayınlama devlet tarafından genellikle kamu çıkarı gözetilerek yapılmaktadır.
11.Soru
Aşağıdakilerden hangisi iktisadi regülasyonlardan biri değildir?
|
Fiyat regülasyonu |
|
Miktar regülasyonu |
|
Giriş-çıkış regülasyonu |
|
Diğer regülasyonlar (kalite ve yatırım regülasyonu) |
|
Sosyal regülasyonlar |
Bu amaç doğrultusunda kullanılan iktisadi regülasyonlar temelde dört başlık altında toplanabilmektedir:
• fiyat regülasyonu,
• miktar regülasyonu,
• giriş-çıkış regülasyonu,
• diğer regülasyonlar (kalite ve yatırım regülasyonu)
12.Soru
Fiyat regülasyonu ile ilgili bilgilerden hangisi yanlıştır?
|
Devlet, firmaların uygulaması gereken belirli bir fiyat veya belirli bir fiyatın alt ve üst sınırlarını beyan ettiği bir fiyat aralığı belirleyebilir. |
|
Devlet, monopolün mal veya hizmet için fiyatı çok yüksek belirlediğine inanıyorsa, fiyat regülasyonu ile maksimum fiyatı belirleyerek bu durumu engelleyebilir. |
|
Fiyat regülasyonu, düzenleyici kurumun kârı sınırlandırması hususundaki hedefine ulaşmak için bir araç olarak görülebilir. |
|
Düzenleyici kurum genellikle fiyatı, firmanın yüksek getiri oranı elde edeceği şekilde belirlemektedir. |
|
Regüle edilen firmanın, fiyat ayarlamalarını yavaş yapması durumunda kamu kuruluşlarının normal getirinin altında getiri elde etmesine neden olmaktadır. |
Fiyat regülasyonunda devlet, firmaların uygulaması gereken belirli bir fiyat veya belirli bir fiyatın alt ve üst sınırlarını beyan ettiği bir fiyat aralığı belirleyebilir. Eğer devlet, monopolün mal veya hizmet için fiyatı çok yüksek belirlediğine inanıyorsa, fiyat regülasyonu ile maksimum fiyatı belirleyerek bu durumu engelleyebilir ve bu sayede toplum refahını arttırabilir. Fiyat regülasyonu, düzenleyici kurumun kârı sınırlandırması hususundaki hedefine ulaşmak için bir araç olarak görülebilir. Düzenleyici kurum genellikle fiyatı, firmanın normal getiri oranı elde edeceği şekilde belirlemektedir. Ancak kamu hizmetlerinin düzenlenmesinde araç olarak kullanılan bu uygulama, kârı belirleyen faktörlerden yalnızca bir tanesi olduğundan, bu uygulamayla düzenleyici kurumun hedeflediği normal getiri oranına ulaşmak çok da kolay olmayacaktır. Yeni maliyet ve talep koşullarına cevap olarak değişen fiyatlardaki düzenleyici gecikme nedeniyle firmanın, çok yüksek ya da çok düşük getiri elde etmesine de neden olunabilmektedir. Örneğin; regüle edilen firmanın, fiyat ayarlamalarını yavaş yapması durumunda kamu kuruluşlarının normal getirinin altında getiri elde etmesine neden olmaktadır. Böyle bir sonuç 1970’lerde artan enerji ve girdi fiyatları ile birlikte yaşanan küresel enflasyonist süreç sonrasında ortaya çıkmıştı.
13.Soru
Yoğunlaşma ölçüm metotları arasında endüstrideki firmaların piyasa paylarının tersinin logaritması ağırlık olarak kullanılan indeks türü aşağıdakilerden hangisidir?
|
Linda İndeksi |
|
Entropi İndeksi |
|
Gini İndeksi |
|
Hall-Tideman İndeksi |
|
N-Firma Yoğunlaşma İndeksi |
Ekonomistler tarafından kabul gören bir diğer ölçüt olan Entropi İndeksinde endüstrideki firmaların piyasa paylarının tersinin logaritması ağırlık olarak kullanılmaktadır.
14.Soru
I-Garanti vererek firmalar mallarının kalitesi hakkında tüketicilere ikna edici bilgileri direkt veya dolaylı olarak sunabilirler. II-Yükümlülük kanunları da garantilerle aynı fonksiyona sahiptir. III-Uzmanlar da tüketiciye ihtiyaç duyduğu güvenilir bilgiyi sağlayabilir. Yukarıdaki ifadelerden hangisi/hangileri tüketicilere bilgi sunmada kullanılan en yaygın araçlar arasındadır?
|
Yalnız I |
|
Hepsi |
|
I ve II |
|
II ve III |
|
Yalnız II |
Yukarıdakilerin hepsi tüketicilere bilgi sunmada kullanılan en yaygın araçlar arasında yer alır
15.Soru
"Özel Çıkar Teorileri" ile ilgili verilen bilgilerden hangisi yanlıştır?
|
Regülasyonları çıkar gruplarının davranışları üzerinden açıklamaya çalışmaktadır |
|
Stigler, Peltzman ve Becker gibi iktisatçılar teoriye katkıda bulunmuştur |
|
Özel çıkar teorisi, regülasyonları, kendi ekonomik çıkarlarını korumayı amaçlayan özel çıkar gruplarının davranışları üzerinden açıklamaktadır |
|
Özel çıkar teorileri servetin genellikle daha etkin çıkar gruplarına aktarılması ile sonuçlanmaktadır |
|
Özel çıkar teorilerinin ilki özellikle siyaset bilimciler tarafından geliştirilen Chicago regülasyon teorisidir |
Özel çıkar teorilerinin ilki özellikle siyaset bilimciler tarafından geliştirilen "ele geçirme teorisi"dir.
16.Soru
Fiyat farklılaştırması türlerinden hangisi uygulamada hiçbir zaman mümkün değildir?
|
Birinci dereceden fiyat farklılaştırması |
|
İkinci dereceden fiyat farklılaştırması |
|
Üçüncü dereceden fiyat farklılaştırması |
|
Zamanlararası fiyat farklılaştırması |
|
Çift yönlü tarife |
Uygulamada birinci derecede fiyat farklılaştırması hiçbir zaman mümkün değildir. Öncelikle çok az sayıda alıcı olmadıkça her bir alıcıya farklı fiyat uygulaması pratik bir şey değildir. Bu yapılsa bile antitröst yasalar karşı çıkabilir. İkincisi, firma tüketici için rezervasyon fiyatının ne olduğunu bilemez. Her ne kadar firma tüketicilere ne kadar ödeyebileceklerini sorsa da doğru cevaplar alamaz. Çünkü çok az verebileceğini söylemek tüketiciye kalmıştır ve böyle söylediğinde malı ucuza alma olasılığı vardır.
17.Soru
Aşağıdaki ifadelerden hangisi yanlıştır?
|
Asimetrik bilgi kavramını ortaya atan ve bilgi ekonomisi alanının kurucusu George Akerlofdur. |
|
Bilginin alıcılar tarafından elde edilmesi asimetrik bilgi durumunu ortadan kaldırmaya yarayacak yollardan bir tanesidir. |
|
Firmaların yüksek fiyat isteklerini uygulayabildikleri bölge, müşterileri için rekabet etmek zorunda kalmadıkları bölgedir. |
|
Kötü seçim piyasadaki taraflardan birinin malların türünü ya da kalitesini gözleyebildiği durumlarla ilişkilidir. |
|
Eksik rekabetçi piyasalardaki firmalar tam olarak gözlemleyemedikleri birçok değişken tarafından etkilenmektedirler. |
Kötü seçim piyasadaki taraflardan birinin malların türünü ya da kalitesini gözleyemediği durumlarla ilişkilidir. Doğru cevap D'dir.
18.Soru
Zamanlar arası fiyat farklılaştırması ile ilgili olarak aşağıda verilen ifadelerden hangisi yanlıştır?
|
Tüketiciler farklı zamanlara göre gruplandırılır. |
|
Üçüncü derece fiyat farklılaştırması ile ilgilidir. |
|
Tüketiciler farklı fiyat uygulamasına tabi tutulur. |
|
İkinci derece fiyat farklılaştırması ile ilgilidir. |
|
Tüketiciler farklı talep fonksiyonlarına sahip gruplar haline getirilir. |
Zamanlar arası fiyat farklılaştırması, üçüncü derece fiyat farklılaştırması ile ilgili olup; tüketiciler farklı zamanlara göre değişik fiyat uygulamasına tabi tutularak farklı talep fonksiyonlarına sahip farklı gruplar haline getirilir.
19.Soru
Bir oyuncunun , oyunun belirli bir noktasında oyun ağacındaki farklı düğümlerin kümesine ne ad verilmektedir?
|
Bilgi seti |
|
Hakim strateji |
|
Tek periyotlu oyun |
|
Nash dengesi |
|
Karma strateji |
Bilgi seti, bir oyunun oyuncular tarafından anlaşılması için önemli bir kavramdır. Oyuncular oyunun oynanışı sırasında sahip oldukları bilgi düzeylerine göre kendilerine hareket belirleyeceklerdir. Normal biçimde, bir oyunun bilgi yapısı, oyunun hareketler düzeni gibi, genellikle belirsizdir. Bununla birlikte, oyun esnasında kimin ne bildiğinin anlaşılması için bilgi setinin kullanılmasına ihtiyaç vardır. Doğru cevap A seçeneğidir.
20.Soru
Aşağıdakilerden hangisi düzenleyici kurumun kârı sınırlandırma hedefine ulaşak için kullandığı regülasyon türüdür?
|
Fiyat regülasyonu |
|
Miktar regülasyonu |
|
Giriş regülasyonu |
|
Yatırım regülasyonu |
|
Kalite regülasyonu |
Fiyat regülasyonu, düzenleyici kurumun kârı sınırlandırması hususundaki hedefine ulaşmak için bir araç olarak görülebilir. Düzenleyici kurum genellikle fiyatı, firmanın normal getiri oranı elde edeceği şekilde belirlemektedir.
-
- 1.SORU ÇÖZÜLMEDİ
- 2.SORU ÇÖZÜLMEDİ
- 3.SORU ÇÖZÜLMEDİ
- 4.SORU ÇÖZÜLMEDİ
- 5.SORU ÇÖZÜLMEDİ
- 6.SORU ÇÖZÜLMEDİ
- 7.SORU ÇÖZÜLMEDİ
- 8.SORU ÇÖZÜLMEDİ
- 9.SORU ÇÖZÜLMEDİ
- 10.SORU ÇÖZÜLMEDİ
- 11.SORU ÇÖZÜLMEDİ
- 12.SORU ÇÖZÜLMEDİ
- 13.SORU ÇÖZÜLMEDİ
- 14.SORU ÇÖZÜLMEDİ
- 15.SORU ÇÖZÜLMEDİ
- 16.SORU ÇÖZÜLMEDİ
- 17.SORU ÇÖZÜLMEDİ
- 18.SORU ÇÖZÜLMEDİ
- 19.SORU ÇÖZÜLMEDİ
- 20.SORU ÇÖZÜLMEDİ