Statıstıcs I Final 1. Deneme Sınavı
Toplam 20 Soru1.Soru
For X which is a continuous random variable that is uniformly distributed and takes values between 3 and 9. What is the variance of the random variable X ?
|
12 |
|
14 |
|
16 |
|
18 |
|
20 |
For X which is a continuous random variable that is uniformly distributed and takes values between 3 and 9, the minimum value of the random variable X is 3 (it’s the value of a) and the maximum value is 9 (it’s the value of b). Then X~U (a=3, b=9) and the probability density function of the continuous random variable X is defined as, f (x) = 1/(b - a) = 1/(9 - 3)= 1/6 for 3?x?9. The variance is equal to (9 - 3)2/2 = 18. The answer is D.
2.Soru
Some of the illustrations of random variables that generally conform to model by means of Poisson distribution are presented below.Which illustration does NOT conform to this model?
|
The number of customers served by automated teller machine in a day. |
|
The amount of time that customers spent using the automated teller machine in a day |
|
The number of patients in the hospital on a given day |
|
The number of diseased strawberry plants in ten acres field |
|
The number of telephone calls received by a technical support center in a week. |
The Poisson distribution is widely used for discrete probability distribution which is used to model the number of outcomes occurring during a specified time interval or in a definite region.Option B is not a discerete random variable. It is a continuous random variable. The correct answer is B.
3.Soru
____________________ random variables have only a countable number of separate values such as 0, 1, 2 , 3... etc.?
____________________ random variables have only a countable number of separate values such as 0, 1, 2 , 3... etc.?
|
Continuous |
|
Ratio |
|
Interval |
|
Discrete |
|
Distinct |
Discrete random variables have only a countable number of separate values such as 0, 1, 2 , 3... etc.
4.Soru
In how many different ways can the letters in P R O B A B I L I T Y be arranged?
|
11 |
|
55 |
|
66 |
|
110 |
|
11! |
When order is not important, the arrangements of r objects from n distinct objects is called a combination. The number of combinations of size r from a collection of n objects is denoted by C(n,r), and it is given by C(n,r)= P(n,r)/r! = n!/r!(n - r)! when 0≤r≤n.
For P R O B A B I L I T Y there are in total 11 letters but B and I is used twice so they should be counted only once.
r=9, n=11 therefore 11!/9!(11-9)! = (10*11)/2! = 55. The answer is B.
5.Soru
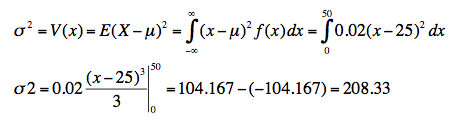
Pdf for continuous random variable X is defined as follows;
f (x) = 0.02, for 0 ≤ x ≤ 50. What is he variance of the continuous random variable X?
|
833.33 |
|
208.33 |
|
104.167 |
|
250.5 |
|
0.02 |
The variance of the continuous random variable X;
6.Soru
What will be the probability P(2.5<X<5) for the given probabilty distribution above?
|
0.1 |
|
0.2 |
|
0.3 |
|
0.4 |
|
0.6 |
P(2.5<X<5)=P(X=3)+P(X=4)=0.1+0.3=0.4
7.Soru
What is the midrange of the following data set with frequency in paranthesis?
15 (2), 25 (4), 38 (3), 44 (3), 64 (3), 105 (2)
|
105 |
|
64 |
|
60 |
|
44 |
|
25 |
Midrange = (x_min + x_max) / 2 = (15 + 105) / 2 = 60. pg. 96. Correct answer is C.
8.Soru
In a discrete probability distribution, The sum of the probabilities of each outcome of the random variable must equal to ___________ ?
|
0.1 |
|
0.4 |
|
0.7 |
|
0.9 |
|
1 |
The sum of the probabilities of each outcome of the random variable must equal to 1.
9.Soru
Find out the mode in the following data set: 30, 30, 40,40 50,50,65,65,80,80,80
|
30 |
|
40 |
|
50 |
|
65 |
|
80 |
The correct answer is E because it appears three times.
10.Soru
- f (x) ? 0 for all x values
- The normal distribution function curve is symmetric around the mean, µ
- The probability density function f (x) does not the touch and intersect x axis
Which of the above is/are the properties that probability density function f (x) of normal distribution has?
|
Only I |
|
I and II |
|
I and III |
|
II and III |
|
I, II and III |
Probability density function f (x) of normal distribution has the following properties.
(i) f (x) ? 0 for all x values.
(ii) ? ? -? f (x)dx =1
(iii) The normal distribution function curve is symmetric around the mean, µ.
(iv) The probability density function f (x) does not the touch and intersect x axis.
11.Soru
In order to investigate the impact of playing online games on developing English speaking skills, we make a group of students play online games for four hours a day and prevent another group of students playing any English online games. What type of research we are conducting?
|
Case |
|
Sampling |
|
Observational |
|
Experimental |
|
Interval |
Experimental study is a study in which the researcher manipulates some of the variables and try to determine how the manipulation influences other variables. In an experimental study, one or more independent variables are controlled so as to obtain information about their influence on the dependent variable. However, researchers cannot control all the variables having effects on the dependent variable. In this case, randomization techniques are applied to balance out the influence of any uncontrolled variable that might affect the variable of interest. Suppose we want to investigate the effects of exercise on cold by using an experimental design. For this purpose, we obtain a group of individuals who are the volunteers to participate the study. Then, we randomly assign the participants to the treatment (exercise) and control (no exercise) groups. After a lapse of time, we record the number of colds for each individual from the two experimental groups.
12.Soru
Which of the following is not big data?
|
Eskişehir’s food order website’s visitor traffic |
|
internet traffic of Eskişehir Train Station Free Wi-Fi |
|
phone call traffic in Eskişehir |
|
Anadolu University TV's broadcast |
|
Eskişehir Yunus Emre Hospital's user traffic |
Anadolu University TV's broadcast. pg. 11. Correct answer is D.
13.Soru
Consider an ultrasound software for brain tumor diagnosis : a) the overall rate of the disease in the population being screened is 1 % ; b) the probability that a healthy person wrongly gets a positive result (false positive) is 0.05 ; c) the probability that an ill wrongly gets a negative result (false negative) is 0.002 ; d) other 2 situations are correctly diagnosing healthy persons (true negative) and correctly diagnosing ills (true positive). If test of a person A gives a positive result, what is the probability that person A actually have the disease?
|
0.0495 |
|
0.998 * 0.01 / 0.05948 |
|
0.06 |
|
0.099 * 0.02 / 0.064 |
|
0.095 |
S = {people in the population being screened} , D = {have disease} , not-D = {do not have diesase} , pos = {positive result} , neg = {negative result} ; P (pos | not-D) = 0.05 , P (neg | D) = 0.002 , P (D) = 0.01 ; P (D | pos) = ? , P (D | pos) = P (pos | D) * P(D) / P(pos) (Bayes theorem) ; P (pos | D) = 1 - P ( neg | D) = 1 - 0.002 = 0.998 ; P (pos) = ? , P (pos) = P (pos | D) * P(D) + P (pos | not-D) * P(not-D) ; P (pos) = 0.998 * 0.01 + 0.05 * (1 - 0.01) = 0.00998 + 0.05 x 0.99 = 0.00998 + 0.0495 = 0.05948 ; P (D | pos) = 0.998 * 0.01 / 0.05948 ( = 0.168 = 16.8 % ) . pg. 141. Correct answer is B.
14.Soru
Which of the followings is not true regarding "range"?
|
In order to find the range of a data set, researcher need to identify only two characteristics, the largest and smallest values. |
|
Although the range is easy to calculate and to understand, it is generally not a very useful measure of variability. |
|
The disadvantage of the range is that it depends only on the highest and lowest observations. |
|
The range of a data set is the difference between the largest and smallest values. |
|
In grouped frequency distribution, the value of the range will only be the lowest value. |
In grouped frequency distribution, the value of the range will only be an approximate value.
15.Soru
The frequency distribution table of the students’ performance scores of a school were constructed as follows. What is the sample mean of the data?
|
52,4 |
|
53 |
|
54,5 |
|
55 |
|
56,8 |
16.Soru
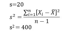
The standard deviation of the students’ performance scores data is 20. What is the variance of the data?
|
350 |
|
360 |
|
370 |
|
380 |
|
400 |
17.Soru
Consider the random experiment of tossing a fair coin until a tail (T) and a head (H) show up once. Describe the sample space of this random experiment ?
|
S = {H, T} |
|
S = {HH, HT, TH, TT} |
|
S = {HT, HT, HHT, HHHT} |
|
S = {HT, TH, HHT, TTH, HHHT, ... } |
|
S = {HT, TH, HHT, THH, HHHT, ... } |
S = {HT, TH, HHT, TTH, HHHT, ... }. pg. 133. Correct answer is D.
18.Soru
The probability that Navigator A shows wrong way to an address is 0.09 and the probability that Navigator B shows wrong way to the same address is 0.07 and the probability that both Navigators show wrong way to the same address is 0.04. What is the probability that only one of the Navigators shows wrong way to the same address?
|
0.16 |
|
0.14 |
|
0.12 |
|
0.10 |
|
0.08 |
P(A) – P(A and B) + P(B) – P(A and B) = 0.09 – 0.04 + 0.07 – 0.04 = 0.08 . pg. 138. Correct answer is E.
19.Soru
| X=x | 1 | 2 | 3 | 4 |
| P(X=x) | 0,20 | 0,30 | 0,30 | 0,20 |
Which of the following is the mean of given data above?
|
1 |
|
2 |
|
2,5 |
|
3 |
|
3,5 |
µ = E(X) = xP(X = x), x = 1,2,3,4, = 1·P(X =1)+ 2·P(X = 2)+ 3·P(X = 3)+ 4 ·P(X = 4)
µ = E(X) = 1·0.20+ 2·0.30+ 3·0.30+ 4 ·0.20
µ = E(X) = 0.20+ 0.60+ 0.90+ 0.80 = 2.5
20.Soru
| X=x | 1 | 2 | 3 | 4 |
| P(X=x) | 0,20 | 0,30 | 0,30 | 0,20 |
Which of the following is the variance of given data above?
|
4 |
|
4.25 |
|
4.15 |
|
4.20 |
|
4.50 |
E(X2) = 12P(X =1)+ 22⋅P(X = 2)+ 32⋅P(X = 3)+ 42⋅P(X = 4)
E(X2) = 1⋅0.20+ 4 ⋅0.30+ 9⋅0.30+16⋅0.40 = 10.50
σ 2=V(X) = E(X2)−[E(X)]2=10.50 − (2.5)2= 4.25
-
- 1.SORU ÇÖZÜLMEDİ
- 2.SORU ÇÖZÜLMEDİ
- 3.SORU ÇÖZÜLMEDİ
- 4.SORU ÇÖZÜLMEDİ
- 5.SORU ÇÖZÜLMEDİ
- 6.SORU ÇÖZÜLMEDİ
- 7.SORU ÇÖZÜLMEDİ
- 8.SORU ÇÖZÜLMEDİ
- 9.SORU ÇÖZÜLMEDİ
- 10.SORU ÇÖZÜLMEDİ
- 11.SORU ÇÖZÜLMEDİ
- 12.SORU ÇÖZÜLMEDİ
- 13.SORU ÇÖZÜLMEDİ
- 14.SORU ÇÖZÜLMEDİ
- 15.SORU ÇÖZÜLMEDİ
- 16.SORU ÇÖZÜLMEDİ
- 17.SORU ÇÖZÜLMEDİ
- 18.SORU ÇÖZÜLMEDİ
- 19.SORU ÇÖZÜLMEDİ
- 20.SORU ÇÖZÜLMEDİ