Coğrafi Bilgi Sistemleri İçin Temel Matematik Ara 2. Deneme Sınavı
Toplam 18 Soru1.Soru
3x-y+1=0 doğrusu ile 2x-2y+4=0 doğrusunun kesiştiği nokta aşağıdakilerden hangisidir?
|
|
|
|
|
|
|
(1,5) |
|
(5,1) |
3x-y+1=0 doğrusu ile 2x-2y+4=0 doğrusunun kesiştiği noktayı bulmak için iki denklemin ortak çözümü bulunmalıdır. Birinci denklemden
y=3x+1 ifadesi ikinci denlemde y yerine yazılırsa olur.
Bu x değeri iki denklemden herhangi birinde yerine yazılırsa hesaplanır. Buradan doğruların kesiştikleri nokta
noktasıdır.
2.Soru
Bir kutuda bulunan ampullerden 3 sarı, 4 kırmızı, 5 i beyazdır. Rastgele çekilen bir ampulün kırmızı veya beyaz çıkma olasılığı aşağıdakilerden hangisidir?
|
1/12 |
|
5/12 |
|
7/12 |
|
9/12 |
|
5/9 |
3.Soru
matrisinin determinantı aşağıdakilerden hangisidir?
|
6 |
|
5 |
|
4 |
|
3 |
|
2 |
Sarrus kuralına göre verilen matrisin determinantı hesaplanırsa = 3⋅(-3)⋅(-1)+1⋅4⋅2+1⋅0⋅0-(1⋅0⋅(-1)+3⋅4⋅1+0⋅(-3)⋅2)=5 olur.
4.Soru
Aşağıdaki tabloda x’in 1 ile 6 arasında alabileceği değerler için olasılık dağılımları görülmektedir. Buna göre x’in 3’ten küçük olma olasılığı kaçtır?
|
0,10 |
|
0,20 |
|
0,30 |
|
0,40 |
|
0,50 |
x’in 3’ten küçük olma olasılığı 0,04 + 0,16 = 0,20 olur.
5.Soru
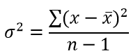
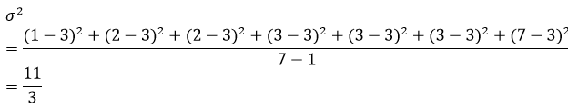
1,2,2,3,3,3,7 sayılarının varyansı aşağıdakilerden hangisidir?
|
|
|
|
|
|
|
|
|
|
Verilen sayı dizisinin aritmetik ortalaması
biçiminde elde edilir. Varyans ise
formülü ile hesaplanır. Buna göre verilen sayı dizisinin varyansı
biçiminde bulunur.
6.Soru
Bir fabrikada üretilen 2000 ayakkabıdan 100 tanesinde hata tespit edilmiştir.Hatalı ayakkabının rasgele üretildiği varsayılsın. Buna göre ilk üretilecek ayakkabının hatasız olma olasılığı hangi seçenekte verilmiştir?
|
0.005 |
|
0.05 |
|
0.5 |
|
0.95 |
|
0.995 |
Örneklemde seçilen ayakkabı sayısı = 2000 ve hatalı ayakkabı sayısı f = 100 dir. Göreli sıklık formülüne göre:
P(Hatalı) = f/n
P(Hatalı) = 100/2000
P(Hatalı) = 0.05 hatalı olma olasılığı elde edilir.
Hatasız olma olasılığı ise toplam olasılıktan çıkarılırsa
P(Hatasız) = 1 - P(Hatalı)
P(Hatasız) = 1 - 0.05
P(Hatasız) = 0.95 olarak bulunur. Doğru cevap D seçeneğinde verilmiştir.
7.Soru
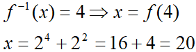
denklemini sağlayan x nedir ?
|
12 |
|
20 |
|
14 |
|
16 |
|
10 |
8.Soru
A=(2, -1) ve B=(-1, 3) noktalarından geçen
vektörünün standart taban vektörleri i ve j'nin doğrusal bileşimleri yardımıyla gösterimi aşağıdakilerden hangisidir?
|
|
|
|
|
|
|
|
|
|
vektörünün başlangıcı A=(2, -1) ve bitişi B=(-1, 3) noktası olduğundan standart taban vektörleri i ve j'nin doğrusal bileşimleri yardımıyla;
biçiminde gösterilir. Bu nedenle Doğru Cevap B seçeneği olur.
9.Soru
f(x)=23x-1 ise (fof)(1)=?
|
211 |
|
210 |
|
29 |
|
28 |
|
27 |
f(f(1))=?
f(1)=23-1=22=4
f(4)=23.4-1=211
10.Soru
x< 0 olmak üzere, ifadesinin eşiti aşağıdakilerden hangisidir?
|
-3x+7 |
|
3x+7 |
|
-3x+3 |
|
5x+7 |
|
-5x+4 |
x< 0 ise olarak bulunur. Buna göre
olarak bulunmaktadır.
11.Soru
8. Bir işyerinde çalışanların öğrenim durumları ile ilgili bilgiler tablodaki gibidir. Bu iş yerinde her sene bir çalışan tatil ile ödüllendirilmektedir. Bu sene tatile gidecek kişinin erkek ve ortaöğretim mezunu olma olasılığı kaçtır ?
İlköğretim Ortaöğretim Yükseköğretim Toplam
Kadın 9 15 16 40
Erkek 23 27 10 60
Toplam 32 42 26 100
|
0,23 |
|
0,27 |
|
0,32 |
|
0,40 |
|
0,60 |
Tabloya bakıldığında hem erkek hemde ortaöğretim mezunu olanların sayısı ilgili gözede 27 olarak verilmiş, toplam çalışan sayısı 100 olduğu için olsasılık 27/100 olarak bulunur.
12.Soru
ve
matrisleri veriliyor. Buna göre A-B matrisinin köşegeni üzerindeki elemanların aritmetik ortalaması aşağıdakilerden hangisidir?
|
-9 |
|
-6 |
|
0 |
|
6 |
|
9 |
A-B matrisini matrislerde çıkarma işlemi yardımıyla;
olarak hesaplayabiliriz. A-B matrisinin köşegen elemanları ise
olup bu elemanların aritmetik ortalaması;
olarak bulunur. Bu nedenle Doğru Cevap E seçeneği olur.
13.Soru
5, 6, 8, 7, 6, 8, 7, 5, 8, 6, 8, 5, 8 sayılarının modu kaçtır?
|
4 |
|
5 |
|
6 |
|
7 |
|
8 |
Çözüm: bir veri grubunda en çok tekrar eden değer, o veri grubunun modudur. Yukarıdaki veri grubunda en çok tekrar eden değer 8’dir. Dolayısıyla cevap E olur.
14.Soru
f(x)= {-(x^2+3x-5 ,x<1@4x+7 ,x?1)+ fonksiyonu için f(-1)+f(2) işleminin sonucu nedir ?
|
8 |
|
11 |
|
15 |
|
17 |
|
21 |
f(-1) için tanımlı olan fonksiyon x^2+3x-5 ve
f(2) için tanımlı olan fonksiyon 4x+7 olduğu için verilen değerleri tanımklı olduğu fonksiyonlarda yazarız.
f(-1) = x^2+3x-5 =1-3-5=-7
f(2)= 4x+7 =15
f(-1)+f(2)=-7+15=8 olarak bulunur.
15.Soru
Aşağıdaki ifadelerden hangisi doğrudur?
|
A kümesinde olup, B kümesinde olmayan elemanların kümesine B fark A kümesi denir. |
|
Her küme kendisinin alt kümesidir. |
|
Bir kümenin hiç elemanı yoksa evrensel küme denir. |
|
A veya B kümesinin elemanlarından oluşan kümeye iki kümenin kesişim kümesi denir. |
|
Bir kümenin dışında kalan elemanların oluşturduğu kümeye boş küme denir. |
Her küme kendisinin bir alt kümesi olduğundan doğru cevap B'dir.
16.Soru
Üç zar aynı anda atıldığında gelen en büyük sayının gelen en küçük sayının iki katına eşit olma olasılığı nedir?
|
|
|
|
|
|
|
|
|
|
Üç zar aynı anda atıldığında ortaya çıkabilecek tüm durumların sayısı 63 olur. En büyük zarın, en küçük zarın iki katı olduğu durumlar ise:
(1,1,2) 3 farklı şekilde ortaya çıkabilir.
(1,2,2) 3 farklı şekilde ortaya çıkabilir.
(2,2,4) 3 farklı şekilde ortaya çıkabilir.
(2,3,4) 6 farklı şekilde ortaya çıkabilir.
(2,4,4) 3 farklı şekilde ortaya çıkabilir.
(3,3,6) 3 farklı şekilde ortaya çıkabilir.
(3,4,6) 6 farklı şekilde ortaya çıkabilir.
(3,5,6) 6 farklı şekilde ortaya çıkabilir.
(3,6,6) 3 farklı şekilde ortaya çıkabilir.
Böylece,
3+3+3+6+3+3+6+6+3 = 36
farklı durum vardır. O halde cevap 62/63 = 1/6 olur.
17.Soru
A ve B tipinde, C ise
tipinde matrisler olsunlar. Aşağıdaki çarpma işlemlerinden hangisi hesaplanabilir?
|
AB |
|
BCT |
|
ABT |
|
AC |
|
BC |
İki matrisi çarpabilmek için ilk matrisin sütun sayısı ile ikinci matrisi satır sayısı aynı olmalıdır. A matrisinin sütun sayısı 3 ve BT matrisini tipinde olup satır sayısı 3 olup bu iki matris çarpılabilir.
18.Soru
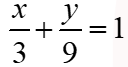
x ekseni ile kesişimi 3 , y ekseni ile kesişimi 9 olan doğru ile orijinden ve (4,6) noktasından geçen doğrunun kesişim noktası aşağıdakilerden hangisidir ?
|
(1,3) |
|
(2,3) |
|
(3,2) |
|
(4,1) |
|
(1,2) |
x ekseni ile kesişimi 3 ve y ekseni ile kesişimi 9 olan doğrunun denklemi,
denkleminden 3x+y-9=0 olarak bulunabilmektedir. Orijinden ve (4,6) noktasından geçen doğrunun denklemi ise iki noktası belli doğru denkleminden 6x-4y=0 olarak bulunmaktadır. Buradan y ,
olarak çekilip ilk doğru denkleminde yerine yazıldığında x=2 olarak bulunmaktadır. Bu değere karşılık her iki denklemden de y=3 olarak bulunmaktadır. Buna göre iki doğrunun kesişimi (2,3) noktasıdır. Doğru cevap B'dir.
-
- 1.SORU ÇÖZÜLMEDİ
- 2.SORU ÇÖZÜLMEDİ
- 3.SORU ÇÖZÜLMEDİ
- 4.SORU ÇÖZÜLMEDİ
- 5.SORU ÇÖZÜLMEDİ
- 6.SORU ÇÖZÜLMEDİ
- 7.SORU ÇÖZÜLMEDİ
- 8.SORU ÇÖZÜLMEDİ
- 9.SORU ÇÖZÜLMEDİ
- 10.SORU ÇÖZÜLMEDİ
- 11.SORU ÇÖZÜLMEDİ
- 12.SORU ÇÖZÜLMEDİ
- 13.SORU ÇÖZÜLMEDİ
- 14.SORU ÇÖZÜLMEDİ
- 15.SORU ÇÖZÜLMEDİ
- 16.SORU ÇÖZÜLMEDİ
- 17.SORU ÇÖZÜLMEDİ
- 18.SORU ÇÖZÜLMEDİ