Coğrafi Bilgi Sistemleri İçin Temel Matematik Final 3. Deneme Sınavı
Toplam 16 Soru1.Soru
A(4,7) ve B(-2,3) noktaları veriliyor. [AB] doğru parçasının orta dikmesinin denklemi aşağıdakilerden hangisidir?
|
3x-2y+13=0 |
|
3y+2x-12=0 |
|
3y-2x-13=0 |
|
3x-2y-13=0 |
|
3y-2x-14=0 |
Orta noktanın koordinatları (x,y) olsun.
olan doğrunun denklemi
2.Soru
f(x)=3x2 (x+2) fonksiyonu hangi aralıkta azalandır?
|
|
|
|
|
|
|
|
|
|
f(x)=3x2 (x+2)= 3x3+6x2 fonksiyonunun azalan olduğu aralığı bulabilmek için türevini alıp fonksiyonun işaretinin negatif olduğu kümeyi bulmalıyız. f'(x)=9x2+12x=3x(3x+4) olur. 3x(3x+4)<0 olduğu küme aralığıdır.
3.Soru
f(x)=2x4+3x2-5x fonksiyonunun ikinci mertebeden türevi aşağıdakilerden hangisidir?
|
f''(x)=2x2+3x |
|
f''(x)=24x2+6 |
|
f''(x)=24x2-5 |
|
f''(x)=12x3-6 |
|
f''(x)=-12x3+x |
Türev alma kurallarını kullanarak f(x) fonksiyonunun önce birinci türevini alalım. f'(x)=8x3+6x-5 olur. Bunun üzerinden tekrar türev alırsak f(x)’in ikinci mertebeden türevini bulmuş oluruz. O da f''(x)=24x2+6 bulunur.
4.Soru
A= ( -2,5,-2 ) noktası ve B =(2,-3,6) noktası ise |(AB) ⃗ | vektörünün uzunluğu (normu) kaç birim dir ?
|
2√33 |
|
-2√33 |
|
4√3 |
|
2√33 |
|
12 |
A ve B arasındaki mesafe Öklid uzaklık formülü ile hesaplanır.
|(AB) ⃗ | = √(〖〖(x〗_2-x_1)〗^2+〖〖(y〗_2-y_1)〗^2+〖〖(z〗_2-z_1)〗^2 )
= √(〖(2+2)〗^2+(〖-3-5)〗^2+〖(6+2)〗^2 )
= √(〖(4)〗^2+(〖-8)〗^2+〖(8)〗^2 ) = √144
= 12
5.Soru
Bulanık mantık uygulamalarının son aşaması aşağıdakilerden hangisidir?
|
Durulaştırma |
|
Sadeleştirme |
|
Kural işleme |
|
Dönüştürme |
|
Bulanıklaştırma |
Bulanık bir süreç, üç ayrı birimden oluşmaktadır. Bu birimler; sırası ile bulanıklaştırıcı birim, kural işleme birimi ve durulaştırıcı birim şeklindedir.
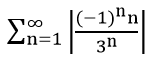
6.Soru
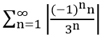
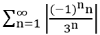
serisinin yakınsaklığıyla ilgili yapılan yorumlardan hangisi doğrudur?
|
|
|
|
|
|
|
|
|
|
serisi mutlak yakınsaktır.
bulunur. Dolayısıyla
serisi yakınsaktır.
ise mutlak yakınsaktır.
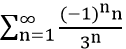
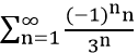
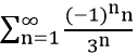
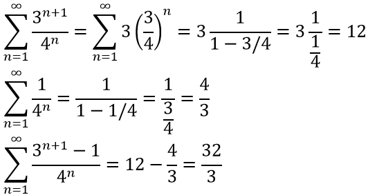
7.Soru
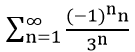
toplamının sonucu aşağıdakilerden hangisidir?
|
12 |
|
|
|
9 |
|
|
|
24 |
Verilen seriyi iki geometrik serinin toplamı olarak yazalım:
8.Soru
Yukarıdaki grafikte Genç – Orta Yaşlı – Yaşlı kavramlarını temsil eden üyelik fonksiyonları gösterilmiştir.
15 yaş için aşağıdakilerden hangisi doğrudur?
|
|
|
|
|
|
|
|
|
|
Grafiğe göre ,
ve
olur.
9.Soru
Kartezyen koordinatlarda olarak gösterilen noktanın kutupsal koordinatlardaki karşılığı nedir?
|
|
|
|
|
|
|
|
|
|
Kartezyen koordinatlarda verilen (x,y) noktasının kutupsal koordinatlardaki karşılığı olmak üzere
ikilisidir. Böylece
ve
olur. Böylece verilen noktanın kutupsal koordinatlardaki karşılığı
olarak bulunur.
10.Soru
Yukarıda verilen şekilde bulanık sistem yapısının genel gösterimi bulunmaktadır. Bu gösterimde ok işaretlerinden boş bırakılan ok işaretine seçeneklerden hangisi gelebilir?
|
Kural Tabanı |
|
Bulanıklaştırma |
|
Üyelik Fonksiyonu |
|
Durulaştırma |
|
Mantıksal Önerme |
Bulanık bir süreç, üç ayrı birimden oluşmaktadır. Bu birimler; sırası ile bulanıklaştırıcı birim, kural işleme birimi ve durulaştırıcı birim şeklindedir. Şekilde genel bir bulanık sistem yapısı gösterilmektedir ve ok işareti olan yere gelecek doğru cevap bulanıklaştırmadır. Doğru cevap B'dir.
11.Soru
Üç boyutlu uzayda (3,4,2) noktasının koordinatları ile ölçeklenmesi sonucu elde edilen noktanın koordinatları aşağıdakilerden hangisidir?
|
(-1,2,3) |
|
(1,-2,3) |
|
(1,2,-3) |
|
(1,2,3) |
|
(1,-2,-3) |
noktası elde edilir.
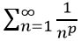
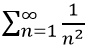
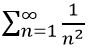
12.Soru
Aşağıdaki serilerden hangisi yakınsaktır?
|
|
|
|
|
|
|
|
|
|
Çözüm: Pozitif terimli seriler için p-yakınsaklı testinde için p>1 ise seri yakınsaktır. O halde
serisi için p=3>1 olduğundan bu seri yakınsaktır.
13.Soru
∫_0^2▒〖(3x^2-4e^x+1/(x+1)〗 ) dx işleminin sonucu nedir ?
|
12 -4e2 + ln|3| |
|
12 + 4e2 |
|
- 12 + 4e2 |
|
- 4e2 + ln|3| |
|
e2 + ln|4| |
∫_0^2▒〖(3x^2-4e^x+1/(x+1)〗 ) dx = ( 3x^3/3 -4e^x + ln|x+1| ) I_0^2 = ( x3 -4e^x+ ln|x+1| ) I_0^2
= (8 -4e2 + ln|2+1| ) – ( 0 – 4e0 + ln|0+1| )
= (8 -4e2 + ln|3| ) – ( – 4 + ln|1| )
= (8 -4e2 + ln|3| ) – ( – 4 )
= 12 -4e2 + ln|3|
Not: ln|1| = 0 olduğu için
14.Soru
Fiziksel olarak bir büyüklüğün anlık değişimini karakterize eden kavram aşağıdakilerden hangisidir?
|
Türev |
|
İntegral |
|
Fonksiyon |
|
Küme |
|
Matris |
Türev, fiziksel olarak bir büyüklüğün anlık değişimini karakterize eder.
15.Soru
Kartezyen koordinat sisteminde konumu olan bir noktanın küresel koordinat sistemindeki yeri aşağıdakilerden hangisidir?
|
|
|
|
|
|
|
|
|
|
elde edilir. Bu durumda A’nın küresel koordinatlardaki konumu
olur.
16.Soru
Geleneksel denetleyici yerine bir bulanık mantık denetleyicisi kullanmayı düşünen ve uygulayan ilk ülke aşağıdakilerden hangisidir ?
|
Almanya |
|
|
|
Azerbaycan |
|
|
|
Japonya |
Kısıtlı ve hassas olmayan, ısı ile karbondioksit oranı gibi bilgilerle iyi bir çalışma düzeni elde edilebilmesi oldukça zor olup operatörlerin bu konuda yeterli bir uzmanlık kazanabilmeleri için yıllar geçmesi gerekir. Fakat kişiler ve uzmanlık düzeyleri arasında kaçınılmaz farklılıklar olacağından, üretilen çimento da vardiyadan vardiyaya değişecek, tutarlı ve aynı kalitede çimento üretimi çok zor olacaktır. İşte bir Danimarka firması bu nedenlerden dolayı lineer bir model üzerine kurulu, geleneksel denetleyici yerine bir bulanık mantık denetleyicisi kullanmayı düşünmüş ve çok başarılı sonuçlar veren bir uzman sistem geliştirmiştir.