Genel Matematik Final 43. Deneme Sınavı
Toplam 20 Soru1.Soru
f (x) = ln(x) fonksiyonu veriliyor. Buna göre 2f' (1) + f" (1) ifadesinin değeri kaçtır?
|
1
|
|
2
|
|
3
|
|
4
|
|
5
|
3.Soru
integralinin sonucu nedir?
|
6 |
|
8 |
|
10 |
|
12 |
|
14 |
5.Soru
10000 TL’nin %12 yıllık bileşik faizle bankaya yatırıldığında 2 yıl sonraki getirisi ne olur?
|
1965 TL kazandırır
|
|
1835TL kaybettirir
|
|
1835 TL kazandırır
|
|
2544 TL kaybettirir
|
|
2544 TL kazandırır
|
6.Soru
Gelir fonksiyonu R:[0,300]›(-?, ?), R(x)=1000x-2x2 ile verilen bir maldan kaç adet satılırsa en çok gelir elde edilir?
|
200 |
|
220 |
|
250 |
|
270 |
|
300 |
Gelir fonksiyonunun yerel maksimumu sorulmaktadır. R’(x)=1000-4x=0 dan x=250 bulunur. 0<x<250 iken R’(x)>0 ve 250<x<300 iken R’(x)<0 olduğundan en çok gelir satılan miktar x=250 dir.
7.Soru
Aşağıda verilen bilgilerden hangisi/hangileri doğrudur?
|
Sadece I |
|
II-III |
|
I-II |
|
I-III |
|
I-II-III |
Ortak çarpanı 4 ve ilk terimi 5 olan geometrik dizinin terimleri 5, 5.4, 5.42,... biçimdedir. O halde 10. terimi 5. 49’dur. I. madde doğrudur.
Ortak farkı 4 ve ilk terimi 5 olan aritmetik dizinin ilk birkaç terimini yazalım:
a1=5, a2=5+4=9, a3=5+4+4=13, a4=5+4+4+4=17, a5=5+4+4+4+4=21 olur. Buradan 5,9,13,17,21,… dizisi elde edilir.
İlk 10 terim toplamı a1+a2+...+a10= 5.10+ (9.10/2).4=50+180=230 olur. II. Madde hatalıdır.
Ortak farkı 2 ve ilk terimi 5 olan aritmetik dizinin terimleri 5, 7, 9, 11, 13, ... biçimindedir. Bu dizinin genel kuralı an= 2n+3’dir. III. madde doğrudur.
O halde I. ve III. maddeler doğrudur.
8.Soru
20000 TL tasarruf bir bankada 36 ay değerlendirildiğinde 36 ay sonunda tasarrufun ulaşacağı değer 25000 TL olduğuna göre bankanın uyguladığı yıllık bileşik faiz oranı nedir?
|
%11 |
|
%13 |
|
%15 |
|
%18 |
|
%20 |
P TL tasarruf bir bankada, dönemlik r bileşik faizle değerlendirildiğinde n dönem sonra tasarrufun ulaşacağı değer Pn ile gösterilmişti ve bu değerin nasıl hesaplanacağı Pn=P(1+r)n formülüyle verilmişti. Bu soru aslında yukarıdaki formülden r’yi bulmamızı isteyen bir sorudur. Burada Pn=25000, P=20000, n=3 olarak verilmiştir. Bu durumda
Sonuç olarak bankanın uyguladığı yıllık bileşik faiz oranı r=0,18 yani %18’dir. Doğru cevap D'dir.
9.Soru
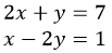
denklem sisteminin çözümü aşağıdakilerden hangisidir?
|
(3,1) |
|
(1,3) |
|
(-3,-1) |
|
(-1,-3) |
|
(1,0) |
Yerine koyma yöntemi ile çözersek, 2x+y=7 denkleminde y çekilirse y=7-2x elde edilir. Bu ifade x-2y=1 denkleminde yerine yazılırsa
bulunur. x değeri denklemlerden herhangi birinde yerine konulursa 2x+y=7 ise 2.3+y=7 ve buradan da y=1 elde edilir. Bu durumda bu denklem sisteminin çözümü (3,1)’dir. Denklem sisteminin çözümü yok etme yöntemi ile çözülecek olursa çözüm, 2x+y=7 denklemi 2 ile çarpılarak diğer denklem ile taraf tarafa toplanarak da bulunabilir. Bu durumda
olur. İki denklem taraf tarafa toplandığında da 5x=5 ve x=3 bulunur. Az önceki çözüm yöntemine benzer şekilde x değeri denklemlerden herhangi birinde yerine konulursa y=1 bulunur. Denklem sisteminin çözümü (3,1)’dir.
10.Soru
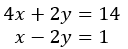
7x+3y=12-x+4y=5 denklem sistemini yok etme yöntemi ile çözünüz?
|
(46/30, 33/30)
|
|
(47/31, 33/31)
|
|
(33/31, 47/31)
|
|
(33/30, 46/30)
|
|
(33/30, 47/31)
|
12.Soru
Binde birin 10 tabanına göre logaritması kaçtır?
|
-3
|
|
-2
|
|
-1
|
|
0
|
|
3
|
13.Soru
eşitsizliğinin çözüm kümesi nedir?
|
|
|
|
|
|
|
|
|
|
buradan;
elde edilir.
14.Soru
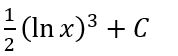
F'(x)=3x2+x ve F(0)=0 olan F(x) fonksiyonu aşağıdakilerden hangisidir?
|
x3+x2/2 |
|
3x3+x2+1 |
|
x3+x2 |
|
x3/3+x2/2 |
|
x3+x2+1 |
Öncelikle F'(x)=3x2+x verildiğinden F(x) i bulmak için her iki tarafın integrali alınmalıdır.
belirsiz integralini hesaplamalıyız.
olup, F(x)=x3+x2/2+C şeklinde bir fonksiyondur. F(0)=0 olduğundan, F(0)=03+02/2+C=0, C=0 olarak bulunur. O halde F(x)=x3+x2/2 dir.
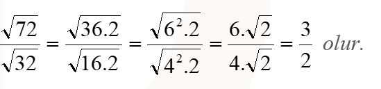
15.Soru
sayısı aşağıdakilerden hangisidir?
|
1/2 |
|
1 |
|
3/2 |
|
2 |
|
5/2 |
16.Soru
Bir geometrik dizinin ilk terimi 9 ve ortak çarpanı 4 ise ilk 18 teriminin toplamı kaç olur?
|
3.((4^14)-1)
|
|
3.((4^18)-1)
|
|
9.((4^14)-1)
|
|
9.((4^16)-1)
|
|
9.((4^18)-1)
|
17.Soru
f:R→R için f(x+1) = (x+1).f(x) ve f(1) = 2 ise f(2) değeri aşağıdakilerden hangisidir?
|
3 |
|
4 |
|
5 |
|
6 |
|
7 |
f(2) değeri istendiği için,
f(x+1) = (x+1).f(x) ifadesinde x = 1 alırsak
f(1+1) = (1+1).f(1)
f(2) = 2.2 =4 olarak bulunur.
18.Soru
Bir yatırımcı 50.000 TL parasının %40'ı ile fiyatı 10 TL olan bir hisse senedi alıyor. Kalan parası ile de fiyatı 15 TL olan başka bir hisse senedi alıyor. Bir ay sonra fiyatı 10 TL olan hisse senedi 8 TL'ye ve fiyatı 15 TL olan hisse senedi 10 TL'ye düşüyor. Bu yatırımcının toplam zararı yüzde kaçtır?
|
40
|
|
32
|
|
25
|
|
28
|
|
30
|
20.Soru
2 sayısının dördüncü kuvveti ile 3 sayısının ikinci kuvvetinin toplamı kaçtır?
|
9
|
|
12
|
|
16
|
|
20
|
|
25
|
-
- 1.SORU ÇÖZÜLMEDİ
- 2.SORU ÇÖZÜLMEDİ
- 3.SORU ÇÖZÜLMEDİ
- 4.SORU ÇÖZÜLMEDİ
- 5.SORU ÇÖZÜLMEDİ
- 6.SORU ÇÖZÜLMEDİ
- 7.SORU ÇÖZÜLMEDİ
- 8.SORU ÇÖZÜLMEDİ
- 9.SORU ÇÖZÜLMEDİ
- 10.SORU ÇÖZÜLMEDİ
- 11.SORU ÇÖZÜLMEDİ
- 12.SORU ÇÖZÜLMEDİ
- 13.SORU ÇÖZÜLMEDİ
- 14.SORU ÇÖZÜLMEDİ
- 15.SORU ÇÖZÜLMEDİ
- 16.SORU ÇÖZÜLMEDİ
- 17.SORU ÇÖZÜLMEDİ
- 18.SORU ÇÖZÜLMEDİ
- 19.SORU ÇÖZÜLMEDİ
- 20.SORU ÇÖZÜLMEDİ