Matematiksel İktisat Final 17. Deneme Sınavı
Toplam 20 Soru1.Soru
x ve y mallarını tüketen Aysel’in fayda fonksiyonu U(x,y) =6xy+12x-10y-3x2-4y2 ise Aysel’in faydasını maksimum yapan (x,y) ikilisi aşağıdakilerden hangisidir?
|
(2,1) |
|
(2,2) |
|
(3,2) |
|
(3,1) |
|
(1,3) |
Öncelikle 1. dereceden türevlerin sıfıra eşit olması gerekir. Buna göre:
Ux=12-6x+6y=0
Uy=-10-8y+6x=0
bu denklemleri alt alta toplarsak:
2=2y ve y=1 olur. Bu değerini herhangi bir denklemde yerine yazdığımızda x=3 olur.
Şimdi 2. derece koşulları da kontrol edip bu değerlerin gerçekten U(x,y) fonksiyonunu maksimum yapıp yapmadığına karar verelim.
2. derece türevleri alırsak:
Uxx=-6 Uyx=6
Uxy=6 Uyy=-8
olacaktır. Şimdi de Hessian matrisini oluşturup determinantın pozitif, asal minörlerinin ise negatif olma koşulunu yerine getirip getirmediğine bakalım:
Görüleceği üzere hem matrisin determinantı pozitiftir hem de asal minörleri (-6 ve -8) negatiftir. Öyleyse maksimizasyonu sağlayan (x,y) ikilisi (3,1)'dir
2.Soru
Q(x,y,z)=4x2+3y2+2z2-2xy-3xz-yz fonksiyonuna ait Hessian matrisi aşağıdakilerden hangisidir?
|
|
|
|
|
|
|
|
|
|
Hessian matrisi için Q fonksiyonunun tüm 2. dereceden kısmi türevlerini almamız gerekir. Öncelikle 1. derece kısmi türevleri alalım:
Qx=8x-2y-3z
Qy=-2x+6y-z
Qz=-3x-y+4z
Şimdi de 2. kısmi türevleri alalım:
Qxx=8 Qxy=-2 Qxz=-3
Qyx=-2 Qyy=6 Qyz=-1
Qzx=-3 Qzy=-1 Qzz=4
Olacaktır. Öyleyse Hessian matrisimiz:
şeklinde olacaktır.
3.Soru
Esnekliğin mutlak değeri 1'den küçük ise bu tür talep aşağıdakilerden hangisini ifade eder?
|
İnelastik talep |
|
"Birim esnek" talep |
|
Esnek talep |
|
Ters talep |
|
Doğrusal talep |
Esnekliğin mutlak değeri 1'den küçük ise bu tür talep "inelastik" taleptir. Doğru cevap A'dır.
4.Soru
Bir mal için talep fonksiyonu olduğuna göre p=10 iken talebin fiyat esnekliği kaçtır?
|
-2 |
|
-1 |
|
0 |
|
1 |
|
2 |
5.Soru
lnx bir malın fiyatını ve lny arz edilen miktarı ifade etmektedir. Fiyat ve arz edilen miktar arasındaki ilişki logaritmik fonksiyon ile ln(x/?y) şeklinde verilmiştir. Bu ifadenin lnx ve lny cinsinden gösterimi aşağıdakilerden hangisidir?
|
lnx-1/2 lny
|
|
lnx-lny
|
|
lnx/lny
|
|
lnx+2lny
|
|
ln y/2+lnx^2
|
6.Soru
Sadece x ve y mallarını tüketen, M bütçesine sahip bir tüketicinin toplam faydasını maksimum yaptığı durumda; MU marjinal faydayı, M bütçeyi ve P fiyatı göstermek üzere aşağıdakilerden hangisi geçerlidir?
|
|
|
|
|
|
|
|
|
|
Denge halinde bir ürünün marjinal faydasının fiyatına oranı diğer ürünün marjinal faydasının fiyatına oranına eşittir. Aksi halde tüketici marjinal faydasının fiyata oranı yüksek olan ürünü daha fazla tüketir. Bu yüzden cevap D şıkkıdır.
7.Soru
Üçüncü mertebeden bir Z matrisinin negatif belirli olması için Z1, Z2 ve Z3 asal minörlerinin determinant değerleri nasıl olmalıdır?
|
Üçü de negatif |
|
Üçü de pozitif |
|
Z1 negatif, Z2 pozitif ve Z3 negatif |
|
Z1 pozitif, Z2 negatif ve Z3 pozitif |
|
Z1 negatif, Z2 ve Z3 pozitif |
Bir matrisin negatif belirli olması için asal minörleri -,+,-,+.... şeklinde olmalıdır. Bu nedenle doğru cevap C şıkkıdır.
8.Soru
Monopolcü bir firmanın toplam hasıla fonksiyonu;
ve toplam maliyet fonksiyonu;
olduğuna göre, firmanın karını maksimum yapan üretim düzeyi aşağıdakilerden hangisidir?
|
1 |
|
2 |
|
3 |
|
4 |
|
5 |
9.Soru
I. A x B kümesinin her alt kümesine A kümesinden B kümesine bir bağıntı denir.
II. Bir kümenin her elamanı diğer kümenin birden fazla elemanı ile eşleşiyorsa buna fonksiyon adı verilmektedir.
III. a, A kümesinin bir elemanı ve b, B kümesinin bir elemanı olmak üzere bunlardan oluşturulan (a, b) çiftine bir sıralı ikili denir.
IV. Küme birtakım nesnelerden oluşan bir topluluktur. Buna göre A ve B kümeleri için yukarıda verilen indislerden hangisi ya da hangileri doğrudur?
|
Yalnız I |
|
I ve II |
|
II ve III |
|
III ve IV |
|
I, III ve IV |
I. A x B kümesinin her alt kümesine A kümesinden B kümesine bir bağıntı denir. (Bu tanım doğrudur.)
II. Bir kümenin her elamanı diğer kümenin birden fazla elemanı ile eşleşiyorsa buna fonksiyon adı verilmektedir. (Bu tanım yanlıştır. Bir kümenin her elamanı diğer kümenin bir ve yalnız bir elemanı ile eşleşiyorsa buna fonksiyon adı verilmektedir.)
III. a, A kümesinin bir elemanı ve b, B kümesinin bir elemanı olmak üzere bunlardan oluşturulan (a,b) çiftine bir sıralı ikili denir. (Bu tanım doğrudur.)
IV. Küme birtakım nesnelerden oluşan bir topluluktur. (Bu tanım doğrudur). Buna göre I, III ve IV indisleri doğru olup Doğru Cevap E seçeneğidir.
10.Soru
matrisleri veriliyor. Buna göre A-B matrisi aşağıdakilerden hangisidir?
|
|
|
|
|
|
|
|
|
|
a11-b11=1-(-2)=3
a12-b12=-3-1=-4 şeklinde elemanlar birbirinden çıkarılır.
11.Soru
Yukarıda X ve Y mallarını üreten bir firmanın kar fonksiyonu verilmiştir.Üretim için çıktı kapasitesi X+Y=15 olarak sınırlanmış olup, firma kar maksimizasyonu amacı ile çalışmaktadır. Buna göre kar maksimizasyonu sağlayan Y miktarı kaçtır?
|
3 |
|
5 |
|
7 |
|
9 |
|
10 |
12.Soru
U(x,y)=4xy şeklinde yanlız x ve y mallarını tüketen Ahmet'in fayda fonnksiyonu verilmiştir. Ahmet 1 br. x için 3 TL. ve 1 br. y için 5 TL ödemektedir. Bu iki malı tüketmek için Ahmet'in toplam 300 TL. si bulunmaktadır. Buna göre Ahmet'in maksimum faydası ne kadardır?
|
500 |
|
2750 |
|
3250 |
|
4500 |
|
6000 |
13.Soru
Faiz oranı yıllık nominal %7 ise ana paranızın ikiye katlanması için gerekli olan zaman aşağıdakilerden hangisidir?
|
3 yıl |
|
5 yıl |
|
7 yıl |
|
10 yıl |
|
12 yıl |
70 kuralı olarak bilinen kurala göre ikiye katlanma için gerekli zamanı bulmak için 70'i faiz oranına bölmek yeterli olacaktır. Buna göre faiz oranı nominal %7 olduğuna göre ikiye katlanma için gerekli zaman 70/7=10 yıldır.
14.Soru
Talep fonksiyonu 600 – Q2 ve arz fonksiyonu 10Q şeklinde olan bir piyasada denge miktarı aşağıdakilerden hangisidir?
|
10
|
|
20
|
|
30
|
|
40
|
|
50
|
15.Soru
Bir malın talep fonksiyonu P=30-Q şeklinde belirlenmiştir. Buna göre toplam hasılayı maksimum yapan çıktı miktarı aşağıdakilerden hangisidir?
|
5
|
|
10
|
|
15
|
|
20
|
|
25
|
16.Soru
Q=200-2P-Pi+0,4Y şeklinde bir talep fonksiyonunda P malın fiyatını, Pi alternatif malın fiyatını ve Y tüketicinin gelirini temsil etmektedir. P=25, Pi=50 ve Y=1000 için talebin gelirin esnekliği aşağıdakilerden hangisidir?
|
0,2 |
|
0,4 |
|
0,5 |
|
0,8 |
|
0,9 |
Öncelikle talep edilen miktar hesaplanmalıdır. Q=200-2(25)-50+0,4(1000)=500 olarak bulunur. Ardından talebin gelir esnekliğini bulabilmek için fonksiyonun gelire göre kısmi türevi alınır (0,4). Buradan Ey=(Y/Q)*(dQ/dY)= (1000/500)*0,4=0,8 olarak bulunur.
17.Soru
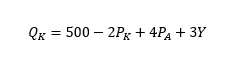
Bir K malının talep fonksiyonu olarak verilmiştir. Burada
;K malının talep edilen miktarını,
; K malının fiyatını,
; Alternatif malın fiyatını ve Y ise tüketicinin gelirini ifade etmektedir. Buna göre Y=2000,
iken talebin gelir esnekliği aşağıdakilerden hangisidir?
|
0,15 |
|
0,25 |
|
0,45 |
|
0,65 |
|
0,90 |
18.Soru
I. Arz ve Talep Fonksiyonları II. Üretim Fonksiyonları III. Esneklik Verilenlerden hangisi ya da hangileri doğrusal fonksiyonların iktisadi uygulamaları arasında girer?
|
Yalnız I |
|
Yalnız II |
|
I ve II |
|
I ve III |
|
II ve III |
Doğrusal fonksiyonlar iktisatta Keynesyen tüketim fonksiyonunda, arz ve talep fonksiyonları ile piyasa dengesinin belirlenmesinde, talebin fiyat esnekliğinin hesaplanmasında kullanılabilir. Cevap D şıkkıdır.
19.Soru
Aşağıdaki seçeneklerden hangisinde verilen denklemler bağımsız değildir?
|
y=x ve y=x/5 |
|
y=x ve y=z |
|
y=x ve 6y=6x |
|
y=x ve y=4x |
|
y=x ve 2y=x/8 |
C” şıkkında verilen y=x ve 6y=6x denklemleri bağımsız değildir.
20.Soru
Q=1000 - 5P - 4Pi+0,02Y
Bir mala ait talep fonksiyonu yukarıda verilmiştir. Q talep miktarını, malın kendi fiyatını, Pi ikame malın fiyatını ve Y ise tüketicinin gelir düzeyini ifade etmektedir. P = 10, Pi = 20, Y=500 olması durumunda çapraz fiyat esnekliği kaçtır?
|
0,02 |
|
0,04 |
|
0,05 |
|
0,07 |
|
0,09 |
Öncelikle P=10,Pi=20,Y=500 iken talep edilen miktarı hesaplayalım.
Q=1000 - 5*10 -4 * 20 + 0,02 * 500=880
Çapraz fiyat esnekliğini hesaplayabilmek için fonksiyonun ikame malın fiyatına göre kısmi türevini hesaplamamız gerekmektedir.
Buradan;
-
- 1.SORU ÇÖZÜLMEDİ
- 2.SORU ÇÖZÜLMEDİ
- 3.SORU ÇÖZÜLMEDİ
- 4.SORU ÇÖZÜLMEDİ
- 5.SORU ÇÖZÜLMEDİ
- 6.SORU ÇÖZÜLMEDİ
- 7.SORU ÇÖZÜLMEDİ
- 8.SORU ÇÖZÜLMEDİ
- 9.SORU ÇÖZÜLMEDİ
- 10.SORU ÇÖZÜLMEDİ
- 11.SORU ÇÖZÜLMEDİ
- 12.SORU ÇÖZÜLMEDİ
- 13.SORU ÇÖZÜLMEDİ
- 14.SORU ÇÖZÜLMEDİ
- 15.SORU ÇÖZÜLMEDİ
- 16.SORU ÇÖZÜLMEDİ
- 17.SORU ÇÖZÜLMEDİ
- 18.SORU ÇÖZÜLMEDİ
- 19.SORU ÇÖZÜLMEDİ
- 20.SORU ÇÖZÜLMEDİ