Teknolojinin Bilimsel İlkeleri 1 Ara 10. Deneme Sınavı
Toplam 20 Soru1.Soru
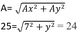
Bir A vektörünün büyüklüğü A=25 birim ve x bileşeninin büyüklüğü 7 birim olduğuna göre y bileşeninin büyüklüğü kaç birimdir?
|
7 |
|
25 |
|
24 |
|
13 |
|
5 |
2.Soru
A vektörünün ve -1 skaleri ile çarpılmasıyla elde edilen -1 A vektörü ile ilgili hangi ifade doğrudur?
|
-A vektörü orijinal vektöre zıt yöndedir. |
|
-A vektörü orijinal vektör yönündedir. |
|
Bir vektörle bir skalerin çarpımı tanımlı değildir. |
|
-A vektörü orijinal vektörle aynı yönde olup onunla aynı büyüklüğe sahiptir. |
|
-A vektörü orijinal vektörle zıt yönde olup onun 2 katı büyüklüğe sahiptir. |
Bir Vektörün Bir Skalerle Çarpımı: Bir vektörle bir skalerin çarpımı tanımlıdır. Bir vektörü bir skalerle çarptığımız zaman sonuç, o vektörün o skaler katı kadar olan yeni bir vektördür. Bu yeni vektörün yönü;
- Skaler pozitif (+) bir sayı ise orijinal vektör yönünde,
- Skaler negatif (-) bir sayı ise orijinal vektöre zıt yönde olur.
A vektörü +2 ve -1 skalerleriyle çarpıldığında elde edilen 2 A ve -1 A vektörleri ile ilgili şunlar ifade edilebilir: 2 A vektörü, A vektörüyle aynı yönde olup onun 2 katı büyüklüğe sahipken, -A vektörü, A vektörüyle zıt yönde olup onunla aynı büyüklüğe sahiptir.
Bu açıklamalardan da anlaşıldığı gibi -A vektörü, A vektörüyle zıt yöndedir, dolayısıyla doğru cevap A’dır.
3.Soru
Aşağıdakilerden hangisi türetilmiş bir büyüklüktür ?
|
Metre küp ( m³ ) |
|
Saniye ( s ) |
|
Amper ( A) |
|
Kandela (cd) |
|
Aydınlanma Şiddeti ( Cd ) |
SI’ın temel büyüklükleri ve birimleri tabloda verilenlerdir.
4.Soru
Düz bir zemin üzerindeki 20 kg kütleli kutu yatayla 60° açı yapacak şekilde 240 N'luk bir kuvvetle ittirilmektedir. Yüzey ile kutu arasındaki sürtünme katsayısı 0,6 olduğuna göre, kutunun ivmesi nedir?
|
6 m/s2 |
|
0.6 m/s2 |
|
12 m/s2 |
|
1.2 m/s2 |
|
0.12 m/s2 |
Fnet=m.a
F-fsürtünme=m.a
F-µ N=m.a
240.cos 60 N-0,6.20 kg.9.8 m/s2 =20.a
120 N-117,6 N=20.a
a=0,12 m/s2
Doğru cevap E'dir.
5.Soru
Hangi kuvvet diğer kuvvetlerle kıyaslandığında en şiddetli olan kuvvettir?
|
Yıldız ve gezegenler gibi büyük kütleli gök cisimleri arasındaki kütle çekim kuvveti |
|
Radyoaktif bozunma adı verilen radyoaktif çekirdeğin başka bir atomun çekirdeğine dönüşme mekanizmasından sorumlu kuvvet |
|
Yeryüzünde belirli bir yükseklikten bırakılan cismin yere düşmesini sağlayan kuvvet |
|
Atom çekirdeğini oluşturan parçacıklar arasında görülen, çekirdek içindeki nükleer kuvvetler |
|
Durgun veya yüklü parçacıklar arasında çekme veya itme şeklinde ortaya çıkan kuvvetler |
Yıldız ve gezegenler gibi büyük kütleli gök cisimleri arasında oldukça etkili olan kütle çekim kuvveti, diğer kuvvetlerle kıyaslandığında en zayıf olan kuvvettir.
Elektromanyetik kuvvetler, durgun veya yüklü parçacıklar arasında çekme veya itme şeklinde ortaya çıkan orta şiddetteki kuvvetlerdir.
Güçlü çekirdek(nükleer) kuvvetleri diğer bütün kuvvetlerden şiddetli olup atom çekirdeğini oluşturan parçacıklar arasında görülür. Bu kuvvetler, proton gibi atom çekirdeğini oluşturan parçacıkları bir arada tutmaktan sorumludur. Genelde çekici karakterde olup bazı durumlarda itici özellik de gösterirler. Çekirdek içindeki nükleer kuvvetler, elektromanyetik kuvvetten 100 kat daha şiddetlidir. Çekirdek kuvvetleri, atom çekirdeğinin boyutunda (≈10-15 m) etkili olup bunun üstündeki mesafelerdeki etkisi tamamen ihmal edilebilir.
Bu bilgilerden de anlaşıldığı gibi diğer kuvvetlerle kıyaslandığında en şiddetli olan kuvvet çekirdek içindeki nükleer kuvvetlerdir, dolayısıyla doğru cevap D’dir.
6.Soru
I. Aynı kuvvetin etkisindeki futbol topu bir tenis topuna göre daha az ivmelenir.
II. Ay’da cisimlerle Ay arasındaki kütle çekimi kuvveti Dünya’dakine göre daha zayıftır.
III. Kütle çekimi etkisinin ihmal edildiği bir uzay aracında astronotun ağırlığı sıfır olacaktır.
IV. Alışverişlerinizde kullandığınız market arabasını dolu iken harekete geçirmek, boş iken harekete geçirmekten daha zordur.
V. Eğer market arabası dolu iken bir nedenle harekete geçerse, arabayı durdurmak için boş haline göre daha fazla kuvvet uygulamak gerekir.
Yukarıda verilenlerden hangisinde/hangilerinde “Bir cismin kütlesi ne kadar büyük ise o kadar az ivme kazanacaktır.” ifadesi örneklendirilmiştir?
|
I |
|
I ve II |
|
II ve III |
|
I, IV ve V |
|
II, IV ve V |
Günlük yaşantımızdaki gözlemlerimize dayanarak aynı kuvvetin etkisi altındaki küçük kütleli bir cismin daha büyük kütleli bir cisme göre daha çabuk hızlandığını sezgisel olarak tahmin edebiliriz. Aynı kuvvet uygulandığı takdirde bir tenis topu bir futbol topundan daha hızlı hareket edecektir. Bu durumun tersi de doğrudur. Örneğin, alışverişlerinizde kullandığınız market arabasını dolu iken harekete geçirmek, boş iken harekete geçirmekten daha zordur. Diğer taraftan, eğer market arabası dolu iken bir nedenle harekete geçerse bu kez arabayı durdurmak için boş haline göre daha fazla kuvvet uygulamak gerekir. Verilen örneklerdeki cisimlerin davranışı bize tanımı daha önce verilen eylemsizlik prensibini hatırlatır. Eylemsizlik, bir cismin hareketsiz ise hareketsizlik durumunu sürdürmeye, hareketli ise de sahip olduğu hızı korumaya yönelik bir davranışıdır. Kütle büyüdükçe cisimlerin eylemsizliği de aynı oranda artar. Bu nedenle kütle, cismin doğasında var olan ve eylemsizliği ölçmek için kullanılan fiziksel bir niceliktir. Bir cismin kütlesi ne kadar büyük ise o kadar az ivme kazanacaktır. Bir futbol topunun kütlesi bir tenis topunun kütlesinden daha büyüktür. Dolayısı ile eylemsizliği daha fazladır. Bu nedenle aynı kuvvetin etkisindeki futbol topu bir tenis topuna göre daha az ivmelenir. Bu bilgilerden de anlaşıldığı gibi doğru cevap D’dir.
7.Soru
1 mil kaç km’dir?
|
1609 |
|
160,9 |
|
16,09 |
|
1,609 |
|
0,1609 |
Bir mil 1609 m’dir. 1609 m ise 1,609 km’dir.
8.Soru
Bir taş yukarıdaki şekilde görüldüğü gibi 20m yükseklikteki bir binanın tepesinden düşey yukarı yönde 80m/s’ lik bir hızla fırlatılıyor. Taşın 2s sonra yere olan uzaklığı kaç metredir? (Hava sürtünmesini ihmal ediniz, yerçekimi ivmesinin büyüklüğünü g=10 m/s 2 alınız.)
|
120 |
|
160 |
|
180 |
|
200 |
|
220 |
t=2s için taşa ait konum denkleminde bilinen değerleri yerine koyduğumuzda;
y= y0+v0t+1/2gt2=0+80x2+1/2(-10m/s2)x22=140 m
Taşın atıldığı noktaya yani binanın tepesine olan uzaklığı 20m’ dir. Yere olan uzaklık ise 20m+140m=180m olur.
9.Soru
4 metre uzunluğundaki bir ipin ucuna bağlanmış 250 g kütleli taş yatay düzlemde 10 m/s hızla çevrilmektedir. Yer çekimi etkisini ihmal ederek , taşın merkezcil ivmesi kaçtır ?
|
20 |
|
25 |
|
30 |
|
35 |
|
40 |
Taşın merkezcil ivmesi a = v2/ r = 100 / 4 = 25m/ s2 bulunur.
10.Soru
Bir araç gideceği yolun 1/2'sini 24 km hızla, kalan kısmını ise 12 km hızla gidiyor. Bu aracın tüm yol boyunca ortalama süratı saatte kaç kmdir?
|
12 |
|
14 |
|
16 |
|
20 |
|
24 |
Ortalama sürat= (Alınan toplam yol)/ (Geçen zaman) ise yolun yarısı X mesafe olursa sürelerde X/12 ve X/24 olacaktır. Denklemde yerine koyulduğunda ortalama sürat= 2X/ (X/12+ X/24)denkleminden sonuç 16 bulunur.
11.Soru
20 kg kütleye sahip bir bisikletin ağırlığı kaç newtondur?
|
185 |
|
196 |
|
200 |
|
216 |
|
220 |
W = m.g = (20 kg) (9,8 m/s 2 ) = 196 N.
12.Soru
Aralarında 36 km mesafe bulunan ve aynı yöne giden araçtan önde gidenin hızı 90 km/h arkada gidenin hızı ise 96 km/h’dir. Hızlı olan araç diğer araca kaç saat sonra yetişir?
|
4 |
|
5 |
|
6 |
|
7 |
|
8 |
Aralarında 6 km/H’lik bir hız farkı vardır. Hızlı olan araç saatte 6 km’lik bir mesafeyi kapatmaktadır. Aralarındaki 36 km’lik mesafeyi ise
(36km) / (6 km/h)’den 6 saatte kapatır.
13.Soru
Bir telefon satıcısı satmak istediği telefon ekranının 6 inç olduğunu söylerse kaç cm olduğunu ifade etmek ister ?
|
15,24 |
|
14,20 |
|
13,28 |
|
16,32 |
|
17, 40 |
Telefon ekranı ölçüleri komşu olmayan iki köşe araasındaki kenar uzunluğu yani hipotenüstür. 1inç = 2,54 cm olduğundan 6 inç = 15,24 cm dir.
14.Soru
Düz bir test pistinde 100 km/h sabit hızla giden bir yarış otomobili durmakta olan test otomobilini geçiyor. Otomobillere etki eden net kuvvetler için neler söylenebilir?
|
Sabit hızla giden araca etki eden net kuvvet sıfırken, durmakta olan araca etki eden net kuvvet sıfırdan farklıdır. |
|
Her iki araca etki eden net kuvvet sıfırdır. |
|
Her iki araca etki eden net kuvvet sıfırdan farklıdır. |
|
Sabit hızla giden araca etki eden net kuvvet sıfırdan farklı iken durmakta olan araca etki eden net kuvvet sıfırdır. |
|
Sabit hızla gitmekte olan araca etki eden net kuvvet durmakta olan araca etki eden net kuvvetten büyüktür. |
Günlük deneyimlerimizden yola çıkarak ilk etapta hareket eden yarış otomobiline etki eden net kuvvetin daha büyük olması gerektiği izlenimine kapılsak da buradaki anahtar kelime “sabit hız”dır. Her iki otomobil de sabit hız ile hareket ettiğinden, Newton’un birinci yasası gereğince otomobillerin her birine etki eden net kuvvet sıfırdır.
15.Soru
2 kg kütleli bir blok sürtünmesiz yatay bir düzlemde durmaktadır. Blok 100 N’ luk bir kuvvetle çekilirse, bloğun ivmesi kaç m/s2 olur?
|
2 |
|
10 |
|
20 |
|
50 |
|
100 |
Newton’ un ikinci yasasından a=F/m=100/2=50 m/s2dir.
16.Soru
I. Cismin yeri iki boyutlu bir koordinat sisteminde gösterilir.II. Birbirine 90° lik açılarla komşu üç eksen x, y ve z eksenleridir.III. Cismin y ve z eksenlerinin oluşturduğu düzleme olan dik uzaklığı x değerini verir.IV. Cismin xz eksenlerinin oluşturduğu düzleme olan dik uzaklığı y değerini verir.V. Cismin xy eksenlerinin oluşturduğu düzleme olan dik uzaklığı z değerini verir.Bir orjin ve bu orjinde birbirine 90° lik açılarla komşu üç eksen bulunuyorsa, uzayda bir cismin yerinin belirlenebilmesi için kullanılan bu referans sistemi ile ilgili yukarıda verilen ifadelerden hangisi/hangileri doğrudur?
|
I ve II |
|
II ve III |
|
II, III ve IV |
|
II, III, IV ve V |
|
I, II, III ve IV |
Uzayda bir cismin yerini belirlemek için her zaman bir referans sistemine ihtiyaç vardır. Bir referans sisteminin belirlenebilmesinin ilk şartı da bir orjin olmalı ve hangi değişkenler cinsinden cismin yerinin belirleneceği tespit edilmelidir. Silindirik koordinat sistemi, küresel koordinat sistemi gibi birçok koordinat sistemi olmasına rağmen, çoğunlukla kullanılan kartezyen koordinat sistemidir. Uzayda kartezyen koordinat sistemi, tanımlanmış bir orijinde birbirine 90° lik açılarla komşu üç eksenden oluşur. Bunlar x, y ve z eksenleridir. Kartezyen koordinat sisteminde bir noktanın yeri tanımlanırken sırasıyla x, y ve z değerleri kullanılır. Bu noktanın y ve z eksenlerinin oluşturduğu düzleme olan dik uzaklığı x değerini verir. Aynı şekilde xz eksenlerinin oluşturduğu düzleme olan dik uzaklığı y değerini, xy eksenlerinin oluşturduğu düzleme olan dik uzaklığı z değerini verir. Cismi iki boyutlu uzayda tanımlamak gerekiyorsa, yani cisim bir düzlemde hareket ediyorsa, sadece iki boyutlu bir koordinat sisteminde göstermek yeterli olacaktır.
Bu bilgilerden de anlaşıldığı gibi bir orjin ve bu orjinde birbirine 90° lik açılarla komşu üç eksen bulunuyorsa uzayda bir cismin yerinin belirlenebilmesi için kullanılan bu referans sistemi ile ilgili “Cismin yeri iki boyutlu bir koordinat sisteminde gösterilir.” ifadesi doğru değildir. Dolayısıyla doğru cevap D’dir.
17.Soru
Bir cisme uygulanan net kuvvet ile cismin bu kuvvet altında kazandığı ivme aşağıdaki grafikteki gibidir. Buna göre; cismin kütlesi kaç kg’dir?
|
1/2 |
|
1 |
|
3/2 |
|
2 |
|
5/2 |
Newton’un ikinci yasasına göre F= m X a denklemini grafiğe göre yorumlar isek;
6 = m X 3
m= 2 kg
18.Soru
ı. Işık hızına yakın hızlardaki hareketlerII. Büyük kütleli gök cisimlerinin hareketleriIII. Küçük kütleli cisimlerin hareketleriIV. Bir cisme etki eden net(bileşke) kuvvetV. Atomik boyuttaki hareketlerYukarıda verilenlerden hangileri Newton yasaları ile belirlenemez?
|
I ve II |
|
I ve V |
|
I, II ve III |
|
II, III ve V |
|
III, IV ve V |
Işık hızına yakın hızlardaki ve atomik boyuttaki hareketler Newton yasaları ile belirlenemezler. Dolayısıyla doğru cevap B’dir.
19.Soru
Bir düzlem üzerinde doğrusal bir yol boyunca hareket eden hareketlinin hızı belirli zaman aralıklarında eşit miktarlarda artıyor veya azalıyor ise bu hareketin adı nedir?
|
Düzgün Doğrusal Hareket |
|
Düzgün Değişen Doğrusal Hareket |
|
Düzgün Dairesel Hareket |
|
Bağıl Hareket |
|
Yatay Eksende İlk Hızsız Hareket |
Bir doğru boyunca ya da bir düzlem üzerinde doğrusal bir yol boyunca hareket eden cisimlerin zamanla hızlarında değişikliler söz konusu olabilir. Bu değişim sabit ivmeli gerçekleşiyor ise, başka bir değişle hareketlinin hızı belirli zaman aralıklarında eşit miktarlarda artıyor veya azalıyor ise bu harekete düzgün değişen doğrusal hareket denilmektedir. Dolayısıyla doğru cevap B’dir. Peki, bu harekette düzgün olarak değişen nedir? Düzgün olarak değişen hızdır.
20.Soru
Bilgisayarına 22 inç ekranlı bir monitör alan bir kişinin aldığı monitör kaç cm dir?
|
116,84 |
|
32,22 |
|
55,88 |
|
102,8 |
|
44,2 |
Ekran ölçüleri komşu olmayan iki köşe arasındaki kenar uzunluğu yani hipotenüstür. 1 inç = 2,54 cm olduğundan 22 inç= 22 . 2,54 = 55,88 cm dir.
-
- 1.SORU ÇÖZÜLMEDİ
- 2.SORU ÇÖZÜLMEDİ
- 3.SORU ÇÖZÜLMEDİ
- 4.SORU ÇÖZÜLMEDİ
- 5.SORU ÇÖZÜLMEDİ
- 6.SORU ÇÖZÜLMEDİ
- 7.SORU ÇÖZÜLMEDİ
- 8.SORU ÇÖZÜLMEDİ
- 9.SORU ÇÖZÜLMEDİ
- 10.SORU ÇÖZÜLMEDİ
- 11.SORU ÇÖZÜLMEDİ
- 12.SORU ÇÖZÜLMEDİ
- 13.SORU ÇÖZÜLMEDİ
- 14.SORU ÇÖZÜLMEDİ
- 15.SORU ÇÖZÜLMEDİ
- 16.SORU ÇÖZÜLMEDİ
- 17.SORU ÇÖZÜLMEDİ
- 18.SORU ÇÖZÜLMEDİ
- 19.SORU ÇÖZÜLMEDİ
- 20.SORU ÇÖZÜLMEDİ