Coğrafi Bilgi Sistemleri İçin Temel Matematik Ara 5. Deneme Sınavı
Toplam 17 Soru1.Soru
vektörleri verilsin. Bu durumda
vektör çarpımı aşağıdakilerden hangisidir?
|
|
|
|
|
|
|
|
|
|
a x b = (y1.z2 – z1.y2)i – (x1.z2 – z1.x2)j + (x1.y2 – y1.x2)k
dış çarpım formulü uygulandığında sonucuna ulaşırız.
2.Soru
4x-2y = 2 ve 10x – 5y = 5 denklem sisteminin Cramer metodu ile çözümünü bulunuz?
|
(1,2) |
|
(4, -2) |
|
(2,3) |
|
(0,0) |
|
(3,4) |
Cramer kuralını uygulayabilmek için ilk olarak denklem sisteminin kaysayılar matrisi ve sabitler vektörü oluşturulmalıdır. Bu sistemin katsayılar matrisi dir. Sistemin sabitler vektörü yani sadece sayılardan oluşan kısım ise
dır. Cramer kuralına göre,
olarak hesaplanmaktadır. Denklem sisteminin çözümü (x,y) = (0,0) olarak bulunur.
3.Soru
3x-3y+4=0 doğrusu ile 5x-3y=-6 doğrusunun kesiştiği (x,y) noktası aşağıdakilerden hangisidir ?
|
(1,2/3) |
|
(-1, 1/3) |
|
(3,5) |
|
(5,-1) |
|
(-1/3, 1/3) |
İki denkleminde sıfıra eşit olması lazım. Bu yüzden ikinci denklem 5x-3y=-6 yerine 5x-3y+6=0 olarak yazılır.
3x-3y+4= 5x-3y+6 ve x= -1
İlk denklemde yerine yazıldığında
3(-1)-3y+4=0
-3-3y+4=0 y=1/3 olarak bulunur.
(x,y) = (-1, 1/3) olarak bulunur.
4.Soru
ise f(x) fonksiyonu nedir?
|
3x-2 |
|
x2+x+7 |
|
3x+2 |
|
3x2-2x+7 |
|
3x+7 |
f(x2+2x)=3x2+6x+7
f(x2+2x)=3(x2+2x)+7
f(x)=3x+7
5.Soru
f(x)=2x-1, h(x)=x3+1 ise (f.g)(3) kaçtır?
|
100 |
|
110 |
|
120 |
|
130 |
|
140 |
(f.g)(3)=f(3).g(3)=5.28=140 olur.
6.Soru
P1=(3,5/2) ve P2=(5,11/2) noktalarını birleştiren doğrunun orta noktasının koordinatları nedir ?
|
(1,1) |
|
(2,-3) |
|
(3,-1) |
|
(4,4) |
|
(4,-4) |
M= ((x1+x2)/2 ,(y1+y2)/2 )
M= ( (3+5)/2 ,(5/2+11/2)/2 ) = (4,4)
7.Soru
a = i - 2j + 3k ve b = 2i + 4j - 5k vektörleri için a.b iç çarpımı nedir ?
|
-21 |
|
-12 |
|
11 |
|
17 |
|
22 |
a . b’yi hesaplamak için iki vektörün bileşenlerini çarpıp sonucu toplamalıyız.
a.b = x1.x2 + y1.y2 + z1.z2
a.b = (1.2) + (-2.4) + ( 3.(-5)) = 2-8-15=
= -21
8.Soru
fonksiyonunun ters fonksiyonu aşağıdakilerden hangisidir?
|
|
|
2x |
|
|
|
|
|
|
= y
denkleminden çekilirse olmaktadır. Yani
olarak bulunmaktadır.
9.Soru
ve
ise
kümesi aşağıdakilerden hangisidir?
|
|
|
|
|
|
|
|
|
|
dır.
olur.
10.Soru
olduğuna göre
kümesi aşağıdakilerden hangisidir?
|
|
|
{1,2} |
|
{a,b,c} |
|
{1,a,b} |
|
{1,2,a,b,c} |
olduğundan
şeklinde bulunur.
11.Soru
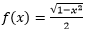
olsun.Buna göre (f.g)(4)+(f/g)(4) kaçtır ?
|
|
|
|
|
|
|
|
|
|
Verilen fonksiyonlara göre
olarak bulunmaktadır. Buna göre
ve
olarak hesaplanmaktadır.
12.Soru
a = 3i - 2j + k ve b = 2i - 4j + 6k vektörleri için a.b nin dış çarpımı nedir ?
|
4i -5 j + 2 k |
|
4i + 3 j - 2 k |
|
- 8 i - 16 j - 8 k |
|
8 i + 6 j +2 k |
|
2 i + 4 j +6 k |
a . b nin dış çarpımını hesaplamak için
a.b = (y1.z2 – y2.z1) i - (x1.z2 – x2.z1) j + (x1.y2 – x2.y1) k
a.b = (-2.6 – (-4).1) i - (3.6 – 2.1) j + (3.(-4) – 2.(-2)) k
a.b = - 8 i - 16 j - 8 k
13.Soru
A = |■(3&-1&9@4&0&2)| ve B = |■(1&2@3&-4@5&4)| matrisleri için A + 2BT işleminin sonucu nedir ?
|
|■(3&1&7@4&0&3)| |
|
|■(0&-1&19@4&5&2)| |
|
|■(5&5&19@8&-8&10)| |
|
|■(5&-5&9@0&8&19)| |
|
|■(3&1&9@2&5&10@7&0&19)| |
A = |■(3&-1&9@4&0&2)| ve
B = |■(1&2@3&-4@5&4)| matrisi için önce BT = |■(1&3&5@2&-4&4)| bulduk.
2.BT ise 2. |■(1&3&5@2&-4&4)| = |■(2&6&10@4&-8&8)|
A + 2.BT = |■(3&-1&9@4&0&2)| + |■(2&6&10@4&-8&8)| = |■(5&5&19@8&-8&10)|
14.Soru
f(x)= (3x+1)/(x^2-4) fonksiyonunun en geniş tanım kümesini bulunuz.
|
{-2,2} |
|
(-2,2) |
|
R-(-2,2) |
|
R-{-2,2} |
|
R-[-2,2] |
Rasyonel bir fonksiyon için tanımsız yapan noktalar paydayı sıfır yapan noktalardır.Bizim örneğimiz için bu durumda x2-4 = 0 denkleminin çözüm kümesini bulmamız gerekiyor. Çözüm kümesi {-2,2} olarak bulunur. Sorumuz tanımsız yapan noktalar olsaydı cevabımız {-2,2} olacaktı. Fakat sorumuz tanımsız yapan nokta değil, en geniş tanım kümesi olduğuna göre bu noktaların dışındaki her şey tanımlı yapmaktadır. Bunu ise R - {-2,2} şeklinde gösteririz.
15.Soru
Bir kesikli rassal değişkenin olasılık dağılımı sırasıyla verilmiştir. X: 1-2-3-4-5, P(X): 0.12-0.3-0.28-0.17-0.13. Buna göre X değerinin 3 ve 3'ten büyük olma olasılığı hangi seçenekte doğru olarak verilmiştir?
|
0.28 |
|
0.45 |
|
0.58 |
|
0.7 |
|
0.87 |
X in 3 ve 3 ten büyük olması P(x>=3) ile gösterilir.
P(x>=3) = P(3) + P(4) + P(5) olduğundan
P(x>=3) = 0.28 + 0.17 + 0.13
P(x>=3) = 0.58 olarak elde edilir. Doğru cevap C seçeneğinde verilmiştir.
16.Soru
Aşağıdaki doğrulardan hangisi 4x+2y-7=0 doğrusuna paraleldir?
|
-4x+8y+7=0 |
|
4x-2y+7=0 |
|
-4x+8y+5=0 |
|
4x-2y+5=0 |
|
-4x-2y+5=0 |
4x+2y-7=0 doğrusu 4x-7=-2y ⇒
biçiminde yazılırsa x’in katsayısı olan -2 verilen doğrunun eğimi olur.
Buradan yukarıda verilen şıklardaki doğruların eğimleri hesaplandığında
-4x-2y+5=0 doğrusunun da eğiminin -2 olduğu görülür. Bu iki doğrunun eğimi eşit olduğu için birbirine paraleldirler.
17.Soru
f(x)=x2+x ve olmak üzere (fog)-1 (a) =-3 ise a kaçtır?
|
4 |
|
5 |
|
6 |
|
7 |
|
8 |
(fog)-1 (a) =-3 ise (fog)(-3) = a olmaktadır.Buradan olarak bulunmaktadır.