Coğrafi Bilgi Sistemleri İçin Temel Matematik Final 11. Deneme Sınavı
Toplam 17 Soru1.Soru
Bulanık küme teorisini ortaya atan ve ‘bulanık’ kelimesini teknik terimlere dâhil eden kişi aşağıdakilerden hangisidir?
|
Aristo |
|
Zadeh |
|
Planck |
|
Gödel |
|
Asilyan |
1965’te Azeri kökenli sistem bilimci Zadeh tarafında yayımlanan makale modern anlamda belirsizlik kavramının değerlendirilmesinde önemli bir işaret taşı olarak kabul edilir. Zadeh bu makalede bulanık küme teorisini ortaya koymuştur. Ayrıca ‘bulanık’ kelimesini teknik terimlere dahil etmiştir.
2.Soru
Ölçeklenmesi sonucu elde edilen noktanın koordinatları (8,-4,6) ve sx = -1 , sy = 2 ve sz = -3 olduğuna göre Üç boyutlu uzayda noktanın ilk koordinatları nasıldır ?
|
(3,-5,6) |
|
(-8,-2,-2) |
|
(8,-2,2) |
|
(-8, 2, 0 ) |
|
e) (8,-4,12) |
(x,y,z ) noktasının x değişkeni sx , y değişkeni sy ve z değişkeni sz ile çarpılarak ölçekleme yapılır.
(sx.x , sy.y , sz ) = ( sx .x , sy.y , sz.z) = (8,-4,6)
sx .x=8 ise (-1).x=8 ve x=-8 ,
sy.y = -4 ise 2.y=-4 ve y=-2
sz.z= 6 ise (-3).z=6 ve z=-2
olduğu için (x,y,z)=(-8,-2,-2) olur.
3.Soru
f (x) = 3x2 – 6x + 11 fonksiyonunun artan olduğu aralık aşağıdakilerden hangisidir?
|
(2 , ∞) |
|
(-1 , ∞) |
|
(1 , ∞) |
|
(-2 , ∞) |
|
(-∞ , -1) |
f '(x) = 6x – 6’dır. 6x – 6 = 0 iken x = 1 olur. Böylece f '(x) fonksiyonu (-∞ , 1) aralığında negatif ve (1 , ∞) aralığında ise pozitif olduğundan f (x) fonksiyonu (1 , ∞) aralığında artandır.
4.Soru
f(x)=x2-1 fonksiyonunun grafiğine hangi x noktasında çizilen teğet doğrusunun eğimi 6 olur?
|
6 |
|
5 |
|
4 |
|
3 |
|
2 |
Bunun için önce f fonksiyonunun türevini alıp 6’ya eşitlemeliyiz. f' (x)=2x=6 denkleminden x=3 olur.
5.Soru
P1=(1/2,6) ve P2=(1/3,-2) noktalarından geçen doğrunun eğimi kaçtır ?
|
4/3 |
|
3/4 |
|
12 |
|
24 |
|
48 |
Eğim= m = (y2-y1)/(x2-x1) = (-2-6)/(1/3-1/2) = (-8)/((-1)/6) = 48
6.Soru
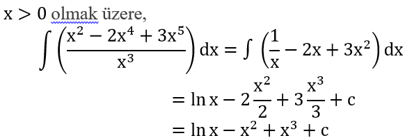
x>0 olmak üzere, integralinin sonucu aşağıdakilerden hangisidir?
|
|
|
|
|
|
|
|
|
|
7.Soru
(3,1) noktasına dönüşümü uygulanarak oluşan yeni nokta aşağıdakilerden hangisidir?
|
(x,y) = (3,10) |
|
(x,y) = (2,5) |
|
(x,y) = (10,6) |
|
(x,y) = (6,0) |
|
(x,y) = (6,10) |
Yukarıdaki dönüşümü uygularsak yeni nokta olarak hesaplanır.
8.Soru
Uzayda Kartezyen koordinatlarda olarak gösterilen noktanın kutupsal koordinatlardaki karşılığı nedir?
|
|
|
|
|
|
|
|
|
|
Kartezyen koordinatlarda verilen (x,y) noktasının kutupsal koordinatlardaki karşılığı ve
olmak üzere
ikilisidir. Böylece
ve
olur. Böylece verilen noktanın kutupsal koordinatlardaki karşılığı
olarak bulunur.
9.Soru
Yukarıdaki grafikte orta yaşlı kavramını temsil eden üyelik fonksiyonu gösterilmiştir.
Hangi yaş için orta yaş kavramının üyelik fonksiyonu değeri 0 olur?
|
30 |
|
35 |
|
41 |
|
45 |
|
49 |
Grafiğe göre orta yaş kavramının üyelik değeri 0 olan yaşlar, 30 ve daha altı ile 50 ve daha üstüdür.
10.Soru
(3,4) noktasına döndürme dönüşümü uygulanırsa elde edilen yeni nokta aşağıdakilerden hangisidir?
|
(-1,18) |
|
(-1,8) |
|
(1,8) |
|
(-4,9) |
|
(-1,-1) |
elde edilir. O halde (-1,18) elde edilir.
11.Soru
an = (3n+7)/(4n-2) dizisinin limitini hesaplayınız.
|
3/4 |
|
- 3/2 |
|
7/4 |
|
-7/2 |
|
3/7 |
(lim()┬(n→∞)〖(3n+7)/(4n-2)〗 ) = lim┬(n→∞)〖(n( 3+ 7/n ))/(n(4- 2/n ))〗 = 〖lim┬(n→∞) 〗〖(3+ 7/n )/(4- 2/n )〗 = lim┬(n→∞)〖(3+7/n)〗/(lim┬(n→∞)〖( 4-2/n〗)) = (3+0)/(4-0) = 3/4
12.Soru
lim┬(n→∞)〖(4n-1 )/(〖3n〗^2+4n-72)〗 dizisinin limitini hesaplayınız.
|
(-1)/3 |
|
1/3 |
|
0 |
|
1 |
|
4/3 |
〖lim┬(n→∞) 〗〖(n(4- 1/n ))/(n^2 (3+ 4/n- 72/n^2 ) )〗 = lim┬(n→∞)〖(( 1/n )( 4-1/n ))/(3+ 4/n- 72/n^2 )〗 = 〖lim┬(n→∞) (〗〖1/n) lim┬(n→∞)〖( 4-1/n )〗 〗/lim┬(n→∞)〖(3+4/n - 72/n^2 )〗 = (0 (4-0))/((3+0-0)) = 0
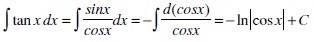
13.Soru
integralinin çözümü aşağıdakilerden hangisidir?
|
-ln IcosxI+C |
|
ln IcosxI+C |
|
-ln Icos2xI+C |
|
-ln Icosx+ax+bI+C |
|
-ln Id(cosx)I+C |
14.Soru
noktasının kutupsal gösterimi aşağıdakilerden hangisidir?
|
|
|
|
|
|
|
|
|
|
Bu durumda A noktasının kutupsal koordinatlardaki gösterimi A= elde edilir.
15.Soru
Alfabenin 29 harfi kullanılarak oluşturulmuş, hiçbir harfin tekrar etmediği, 3 harfli, (anlamlı ya da anlamsız) bir sözcükler arasından biri rastgele seçildiğinde bu sözcüğün harflerinin alfabetik olarak sıralı olma olasılığı (sözlük sırası) nedir?
|
|
|
|
|
|
|
|
|
|
Hiçbir harf tekrar etmediğine göre bu şekilde oluşturulabilecek sözcüklerin sayısı yani, örnek uzayın eleman sayısı |S| = 29 · 28 · 27 olur. ˙İstenen koşula uygun sözcüklerin kümesini E ile gösterirsek, 3 harfli bir sözcük farklı şekilde seçilip, bu sözcük 1 farklı şekilde alfabetik olarak sıralanabileceğinden
olur. O halde cevap
olur.
17.Soru
3x+2y-4=0 doğrusu ile P(-1,-1) noktası arasındaki uzaklık değeri aşağıdakilerden hangisidir?
|
|
|
|
|
|
|
|
|
|
Bir doğru ile bir nokta arasındaki uzaklık formülünden;
olarak elde edilir.