Matematiksel İktisat Final 12. Deneme Sınavı
Toplam 19 Soru1.Soru
Radyoaktif partikülün başlangıçtaki büyüklüğü 2 ve azalma oranı ln2 olarak veriliyorsa zaman içinde azalma fonksiyonu hangisidir?
|
1/2t |
|
lnt |
|
e-ln2t |
|
0 |
|
1/2t-1 |
2.Soru
İki maldan talep edilen miktarları gösteren A ve B gibi eşit iki matris aşağıdaki gibidir. Buna göre x ve y sırasıyla aşağıdakilerden hangisidir?
|
6;5 |
|
3;4 |
|
2;7 |
|
8;6 |
|
4;3 |
Matrisler eşit olduğuna göre A matrisinin 1. satır 2. sütun elemanı olan 5 B matrisinin 1. sütun 2. satır elemanı olan y'ye eşittir. Buradan y'nin 5 olduğu belirlenir.
A matrisinin 2. satır 1. sütun elemanı x-y dir. B matrisinde 2. satır 1. sütun elemanı 1 olduğuna göre x-y=1 demektir. y yerine biraz önce belirlediğimiz 5 koyulursa:
x-5=1 Buradan x=6 bulunur.
Cevap x=6 y=5 olacaktır.
3.Soru
Eğer kâr fonksiyonunun ikinci türev değeri negatif bir sonuç veriyor ise bu sonuç aşağıdakilerden hangisiyle yorumlanabilir?
|
Firmanın karı yoktur |
|
Firmanın karı minimumdur |
|
Firmanın karı maksimumdur |
|
Firma zarardadır |
|
Firmanın zararı minimumdur |
Eğer firmanın kâr fonksiyonunun ikinci türev değeri negatif bir sonuç veriyor ise birinci türev kuralı ile elde edilen kritik nokta ya da noktaların firmanın kârını maksimum yaptığı söylenir.
4.Soru
Aşağıdaki iki değişkenli fonksiyonlardan hangisi için f(2,3) kritik bir noktadır?
|
f(x,y)=3x2-8y2-10x+7y-23 |
|
f(x,y)=x2+y2-x+3y-13 |
|
f(x,y)=2x2+y2-8x-6y-10 |
|
f(x,y)=2x2+y2-6x-5y-1 |
|
f(x,y)=2x2+y2-x-y+4 |
İki değişkenli bir fonksiyonun (x,y) ikilisinde kritik değer alması için söz konusu ikilide her iki 1. dereceden kısmi türevinin de sıfıra eşit olması gerekir. Verilen fonksiyonlardan sadece f(x,y)=2x2+y2-8x-6y-10 için (2,3) ikilisinde fx=4x-8=0, fy=2y-6=0 koşulu sağlanmaktadır. Bu nedenle doğru cevap C'dir.
5.Soru
Geliri 100 birim olan Ahmet, fiyatları sırasıyla 5 ve 10 olan x ve y ürünlerini tüketmektedir. Ahmetin fayda fonksiyonu olduğuna göre, elde edeceği faydayı maksimum yapan (x,y) ikilisi aşağıdakilerden hangisidir?
|
(20,0) |
|
(0,10) |
|
(10,10) |
|
(10,5) |
|
(5,10) |
Kısıt fonksiyonunu kullanarak iki bilinmeyeni tek bilinmeyene düşürelim:
Şimdi de amaç fonksiyonu olan fayda fonksiyonunu tek değişkenli olarak yeniden yazalım:
1. derece koşulunu uygulayalım:
6.Soru
Toplam hasıla fonksiyonu 8Q – 5Q2 ve toplam maliyet fonksiyonu 3Q2 + 4Q - 12 olduğuna göre firmanın kârını maksimum yapan üretim düzeyi nedir?
|
1 |
|
2 |
|
3 |
|
4 |
|
5 |
Kâr fonksiyonu toplam hasıladan toplam maliyetin farkı ile bulunur. π= 8Q – 5Q2 – (3Q2 + 4Q – 12) = 8Q – 5Q2 + 3Q2 - 4Q + 12 bu ifadeyi düzenlediğimizde π= -2Q2 + 4Q +12 ifadesini elde ederiz. Kâr fonksiyonunun türevini aldığımız zaman ise – 4Q +4 ifadesini buluruz. Bu ifadeyi sıfıra eşitlediğimiz zaman kârın maksimum olduğu üretim düzeyini buluruz. – 4Q +4=0 buradan Q = 1 olduğunu buluruz.
7.Soru
f(x,y)=xy+4+9x-x2+3y-y2 fonksiyonunu maksimum yapan (x,y) ikilisi aşağıdakilerden hangisidir?
|
(9/2, 3/2) |
|
(9,3) |
|
(7,5) |
|
(5,7) |
|
(-9,-3) |
İki değişkenli bir fonksiyonun maximum değerini alabilmesi için 1. dereceden kısmi türevlerinin sıfıra eşit olması ve 2. dereceden kısmi türevlerden oluşan Hessian matrisinin determinantının pozitif, asal minörlerinden en az birinin negatif olması gerekir.
İlk olarak 1. dereceden kısmi türevleri alalım:
fx=y+9-2x=0,
fy=x+3-2y=0,
Bu iki denklemden ilkini 2 ile çarparsak denklem sistemimiz şu hale gelir:
2y+18-4x=0
-2y+3+x=0
Bu iki denklemi taraf tarafa toplarsak:
21-3x=0, x=7 olur. x'i ilk denklemde yerine yazarsak y+9-2*7=0, y-5=0, y=5 bulunur.
Yani aradığımız ikili eğer diğer koşulları da sağlıyorsa (7,5) ikilisidir. Şimdi diğer koşulların sağlanıp sağlanmadığını görmek için 2. derece kısmi türevleri ve Hessian matrisini elde edelim:
fxx=-2 fxy=1
fyx=1 fyy=-2 ve bu durumda Hessian matrisimiz:
görüldüğü üzere hem determinantı pozitif, hem asal minörleri (-2,-2) negatif olan bir matristir. Bu nedenle doğru cevap C'dir.
8.Soru
Tek bir satır veya sütundan oluşan matrislere ne ad verilir?
|
Kare matris |
|
Üçgensel matris |
|
Vektör |
|
Determinant |
|
Köşegen matris |
Tek bir satır veya sütundan oluşan matrislere de vektör denir. Satır ve sütun sayısı birbirine eşit olan matrise kare matris denir. Üçgensel matris, köşegeninin alt veya üstündeki elemanları sıfırdan oluşan kare matristir. Eğer bir kare matrisin sadece köşegen elemanları sıfırdan farklıysa o matrise köşegen matris denir.
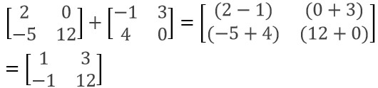
9.Soru
olarak verilmiştir. A ve B matrislerinin toplamı aşağıdakilerden hangisidir?
|
|
|
|
|
|
|
|
|
|
10.Soru
f(x,y) = 3x +5y – 7 için aşağıda verilen hangi (x,y) ikilisi 4 sonucunu verir?
|
(0,0) |
|
(1/3, 1/5) |
|
(1,1) |
|
(2,1) |
|
(1/2, 1/2) |
Verilen f(x,y) = 3x +5y – 7 fonksiyonu için (x,y) ikilisinin yerine (0,0) ikilisi yazılırsa -7 sonucunu verir. (1/3,1/5) ikilisi yazılırsa -5 sonucunu verir. (1,1) ikilisi yazılırsa 1 sonucunu verir. (2,1) ikilisi yazılırsa 4 sonucunu verir. (1/2,1/2) ikilisi yazılırsa -3 sonucu bulunur.
12.Soru
Bir bireyin fayda fonksiyonu U(X, Y) = -2X - X2 + 10XY - 8Y + 2Y2 şeklinde verilmiştir. Buna göre bireyin faydasını maksimum yapan tüketim miktarları nedir?
|
Y=2/5 ve X=3/5 |
|
Y=1/4 ve X=1/4 |
|
Y=1/3 ve X=1/3 |
|
Y=2/3 ve X=1/3 |
|
Y=1/3 ve X=2/3 |
Fayda fonksiyonunun maksimum olduğu noktayı bulmak için X ve Y’e göre kısmi türevlerini bulup sıfıra eşitlememiz gerekir. İlk önce X’e göre kısmi türevini bulalım. ∂U/∂X= -2 – 2X + 10Y eşitliğini elde ederiz. Bu eşitliği sıfıra eşitlersek -2 – 2X + 10Y = 0 şeklinde bir eşitlik elde ederiz. İşlem kolaylığı adına iki tarafı 2’e bölersek -1 – X + 5Y = 0 buluruz. Fayda fonksiyonunun Y’e göre kısmi türevini yazacak olursak ∂U/∂Y = 10X + 4Y - 8 şeklinde yazabiliriz. Bu fonksiyonu sıfıra eşitleyip sadeleştirdiğimizde ise 5X + 2Y - 4= 0 eşitliğini elde ederiz. Bu iki eşitliği bir denklem sistemi gibi çözdüğümüzde Y=1/3 ve X=2/3 sonucunu elde ederiz.
13.Soru
Aşağıdakilerden hangisi önce K’ya sonra L’ye göre türevi 3L2 olan fonksiyondur?
|
KL3
|
|
KL2
|
|
K2L3
|
|
3KL
|
|
3KL2
|
14.Soru
a sabit bir sayı olmak üzere yukarıda verilen y fonksiyonunun x=1 noktasındaki türevi aşağıdakilerden hangisidir?
|
0 |
|
1 |
|
a |
|
ln(a) |
|
ln(a) a |
Yukarıdaki şekilde verilen bir üstel fonksiyonun türevi kuralına göre belirlenir. Soruda x=1 noktasındaki türev sorulduğundan doğru cevap E'dir.
15.Soru
X'i elemek için sistemdeki birinci denklem ikinci denklemdeki x’in katsayısıyla ve ikinci denklem ise birinci denklemdeki x’in katsayısıyla çarpılır. Daha sonra ise çarpımlar sonucu elde edilen ilk denklemden ikinci denklem çıkartılır.
Yukarıda anlatılan doğrusal denklem sistemi çözebilme metodu aşağıdakilerden hangisidir?
|
Eşleştirme Metodu |
|
Eğim-Kesişim Metodu |
|
Eleme Metodu |
|
İkame (Yerine Koyma) Metodu |
|
Doğrusal Metod |
Doğrusal denklem sistemini çözebilmenin 3. yolu eleme metodunu uygulamaktır. Eleme metodunda verilen denklem sistemindeki bilinmeyenlerden x veya y’nin elenmesi yoluna başvurulur. Bunu yapabilmek için ise (örneğin x’i elemek için) iki aşamalı bir yol izlenir. Öncelikle, sistemdeki birinci denklem ikinci denklemdeki x’in katsayısıyla ve ikinci denklem ise birinci denklemdeki x’in katsayısıyla çarpılır. Daha sonra ise çarpımlar sonucu elde edilen ilk denklemden ikinci denklem çıkartılır. Doğru cevap C'dir.
16.Soru
Bir bireyin fayda fonksiyonu U(X, Y) = -4X - 3X2 + 2XY- 20Y + 5Y2 şeklinde verilmiştir. Buna göre bireyin faydasını maksimum yapan tüketim miktarları nedir?
|
X= 2, Y =4 |
|
X= 2, Y =0 |
|
X= 0, Y =2 |
|
X= 4, Y =4 |
|
X= 4, Y =2 |
Fayda fonksiyonunun maksimum olduğu noktayı bulmak için X ve Y’e göre kısmi türevlerini bulup sıfıra eşitlememiz gerekir. İlk önce X’e göre kısmi türevini bulalım. ?U/?X= -4 – 6X + 2Y eşitliğini elde ederiz. Bu eşitliği sıfıra eşitlersek -4 – 6X + 2Y = 0 şeklinde bir eşitlik elde ederiz. İşlem kolaylığı adına 2’e bölersek iki tarafı -2 – 3X +Y =0 buluruz. Fayda fonksiyonunun Y’e göre kısmi türevini yazacak olursak ?U/?Y=2X + 10Y -20 şeklinde yazabiliriz. Bu fonksiyonu sıfıra eşitleyip sadeleştirdiğimizde ise X + 5Y -10 = 0 eşitliğini elde ederiz. Bu iki eşitliği bir denklem sistemi gibi çözdüğümüzde Y=2 ve X=0 sonucunu elde ederiz.
17.Soru
Bir firmanın ürettiği mal için talep denklemi Q=60-0.5P şeklindedir. Buna göre Q=20 için marjinal gelir aşağıdakilerden hangisine eşittir?
|
20 |
|
40 |
|
60 |
|
80 |
|
100 |
18.Soru
A firmasının arz fonksiyonu Q(P)=40P^0,6 şeklinde verildiğine göre, aşağıdaki seçeneklerden hangisinde arzın fiyat esnekliği değeri doğru biçimde verilmiştir?
|
0,6
|
|
0,9
|
|
1,2
|
|
2,6
|
|
3
|
19.Soru
3 mala ait denge fiyatlarının belirlendiği bir denklem sisteminde L katsayılar matrisi verilmiştir. Buna göre L matrisi iz değeri kaçtır?
|
5 |
|
10 |
|
15 |
|
20 |
|
25 |
Bir matrisin köşegen elemanlarının toplamı iz değeridir. Buna göre;
L matrisinin iz değeri=1+6+8=15 olarak hesaplanır.
-
- 1.SORU ÇÖZÜLMEDİ
- 2.SORU ÇÖZÜLMEDİ
- 3.SORU ÇÖZÜLMEDİ
- 4.SORU ÇÖZÜLMEDİ
- 5.SORU ÇÖZÜLMEDİ
- 6.SORU ÇÖZÜLMEDİ
- 7.SORU ÇÖZÜLMEDİ
- 8.SORU ÇÖZÜLMEDİ
- 9.SORU ÇÖZÜLMEDİ
- 10.SORU ÇÖZÜLMEDİ
- 11.SORU ÇÖZÜLMEDİ
- 12.SORU ÇÖZÜLMEDİ
- 13.SORU ÇÖZÜLMEDİ
- 14.SORU ÇÖZÜLMEDİ
- 15.SORU ÇÖZÜLMEDİ
- 16.SORU ÇÖZÜLMEDİ
- 17.SORU ÇÖZÜLMEDİ
- 18.SORU ÇÖZÜLMEDİ
- 19.SORU ÇÖZÜLMEDİ