Matematiksel İktisat Final 14. Deneme Sınavı
Toplam 16 Soru1.Soru
x ve y olmak üzere iki ürün üreten bir firmanın toplam maliyet fonksiyonu TC=4x2+y2-40x-4y+500 ise optimum (x,y) üretim miktarları nedir?
|
(4,4) |
|
(2,6) |
|
(3,5) |
|
(4,3) |
|
(5,2) |
Üreticiler maliyetin minimum olmasını isterler. Bu nedenle bu bir minimizasyon problemidir. Öyleyse söz konusu toplam maliyet fonksiyonunun 1. derece kısmi türevleri sıfıra eşit olmalı, bu fonksiyondan elde edilecek Hessian matrisinin ise determinantı pozitif ve asal minörlerinden en az biri pozitif olmalıdır. İlk önce 1. derece kısmi türevleri bulalım:
TC(x,y)= 4x2+y2-40x-4y+500
TCx=8x-40=0, x=5
TCy=2y-4=0, y=2 olacaktır. Şimdi bu üretim miktarlarının diğer koşulları yerine getirip getirmediğini test edelim. 2. derece kısmi türevleri alırsak:
TCxx=8 TCxy=0
TCyx=0 TCyy=2 olacaktır. Buradan Hessian matrisi:
Görüldüğü üzere hem matrisin determinantı hem de asal minörleri pozitiftir. Tüm koşullar sağlanmıştır. Bu nedenle doğru cevap E'dir.
2.Soru
Yeni bir bilgisayar modeli geliştirildikten t yıl sonra halkın sahip olma yüzdesi, y, aşağıdaki lojistik eğrisi ile modellenmiştir. y=55/(1+800e^(-0,3t) ) Buna göre bilgisayar modeli geliştirildikten 20 yıl sonra halkın sahip olma yüzdesi aşağıdakilerden hangisidir?
|
%18,44
|
|
%24,56
|
|
%35,74
|
|
%52,48
|
|
%66,30
|
3.Soru
4x+3y=11
2x+y=5
Şeklindeki eşitlikler ile belirlenen bir doğrusal denklem sisteminin çözümünde x ve y değerleri aşağıdakilerden hangisidir?
|
x=2 y=1 |
|
x=1 y=3 |
|
x=2 y=4 |
|
x=3 y=1 |
|
x=1 y=2 |
Denklem sisteminin çözüm yollarından bir tanesi ikame (yerine koyma) metodudur. Bunun için ikinci denklemdeki y’yi yalnız bırakırsak:
y=5-2x olur. Daha sonra y için bulduğumuz bu ifadeyi birinci eşitlikte yerine koyarız.
4x+3(5-2x)=11 Parantezi açarsak
4x+15-6x=11 -2x=-4 x=2 bulunur.
X için bulduğumuz değeri herhangi bir eşitlikte yerine koyarak y değerine ulaşabiliriz.
- Eşitliği kullanırsak: 4(2)+3y=11 8+3y=11 3y=11-8 3y=3 y=1 bulunur
- Eşitliği kullanırsak: 2(2)+y=5 4+y=5 y=5-4 y=1 bulunur.
Yani denklem isteminin çözümü x=2 y=1 şeklindedir.
4.Soru
(x+2)2 - y = 0
2y + x = 6
Denklem sisteminde x pozitif bir sayı olarak kabul edildiğinde çözüm kümesi aşağıdakilerden hangisidir?
|
{0.5 , 2.5} |
|
{0.5 , 2.75} |
|
{1 , 1} |
|
{2.5 , 2.5} |
|
{2.5 , 2.75} |
(x+2)2 - y = 0
2y + x = 6
Denklem sisteminde x2 + 2x + 4 - y = 0 ise y = x2 + 2x + 4 bunu ikinci denklemde yerine yazarsak 2x2 + 4x + 8 + x = 6 olur. 2x2 + 5x + 2 = 0 olarak sadeleştirdiğimizde çarpanlarına (2x + 1)(x + 2) = 0 şeklinde ayırırız. Bu durumda iki tane x çözüm olabilir: x=-2 ve x=1/2
x pozitif bir sayı olduğu için x=1/2 çözümümüz olabilir. Bu durumda 2y + 1/2 = 6 olur. y=2.75 değeri bulunur. Çözüm kümesi {0.5 , 2.75} olur. Cevap B şıkkıdır.
5.Soru
Bir firmanın milyon dolar olarak ölçülen toplam geliri (TR) durgunluk döneminde sürekli azalmaktadır. Toplam hasılanın t yılın sonunda alacağı değer şöyle modellenmiştir. TR=5e^(-0,15t) Buna göre 2 yıl sonra firmanın toplam geliri aşağıdakilerden hangisidir?
|
3,7
|
|
4,2
|
|
5,6
|
|
7,3
|
|
10,8
|
6.Soru
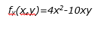
fonksiyonunun y değişkenine göre kısmi türevi aşağıdakilerden hangisidir?
|
|
|
|
|
|
|
|
|
|
7.Soru
I. Kuralın uygulandığı tüm girdi sayılarının kümesine Tanım Kümesi adı verilir. II. Tüm çıktı sayılarının kümesine Değer Kümesi adı verilir. III. Değeri model tarafından belirlenen değişkene İçsel, değeri modelin dışında belirlenen değişkene ise Dışsal değişken denir. Yukarıda verilen ifadelerden hangisi ya da hangileri doğrudur?
|
Yalnız II |
|
I ve II |
|
I ve III |
|
II ve III |
|
I, II ve III |
Tanım kümesi; kuralın uygulandığı tüm girdi sayılarının kümesidir. Değer kümesi; tüm çıktı sayılarının kümesidir. İçsel değişken; değeri model tarafından belirlenen değişken olup, Dışsal değişken ise değeri modelin dışında belirlenen değişkendir. Bu ifadelere göre verilen indislerin tümü doğru olup Doğru Cevap E seçeneğidir.
8.Soru
Aşağıdakilerden hangisi P = q2 + 3q - 500 fonksiyonunun kritik noktasıdır?
|
q = 0
|
|
q = -\frac{3}{2}
|
|
q = \frac{1}{2}
|
|
q = \frac{3}{2}
|
|
q = -\frac{1}{2}
|
9.Soru
Aşağıdaki fonksiyonlardan hangisi x=0 için maksimum değerini alır?
|
f(x)=10x-5 |
|
f(x)=12-4x |
|
f(x)=x2 |
|
f(x)=5-x2 |
|
f(x)=x3 |
Bir fonksiyonun "x" noktasında maksimum değerini alması için o noktada birinci türevinin sıfır, ikinci türevinin negatif olması gerekir. Bu koşulları sağlayan tek fonksiyon D şıkkında bulunmaktadır zira f(x)=5-x2 için f'(x)=-2x ve x=0 için f'(0)=0; f''(x)=-2 ve x=0 için f''(0)=-2 olacaktır.
10.Soru
Bir amacın belirli kısıtlar altında gerçekleştirilmesine ne ad verilir?
|
Amaç Fonksiyonu |
|
Kısıt Fonksiyonu |
|
Kısıtlı Optimizasyon |
|
Maksimizasyon |
|
Minimizasyon |
Bir amacın belirli kısıtlar altında gerçekleştirilmesine kısıtlı optimizasyon, kısıtın olmaması durumunda ise kısıtsız optimizasyon denir. Optimizasyon duruma göre maksimizasyon (örneğin firma karı veya hasılatı, tüketici faydası) veya minimizasyon (maliyet) şeklinde olabilir.
11.Soru
Üretim fonksiyonu Q = 4KL şeklinde olan ve toplam maliyet fonksiyonu TC = rK + wL şeklinde olan bir firma için K miktarında meydana gelecek 1 birimlik artış firma karını nasıl etkiler?
|
4PL – r kadar artar.
|
|
4L – r – w kadar artar.
|
|
4PL kadar azalır.
|
|
–r-w kadar artar.
|
|
4KL+r kadar artar.
|
12.Soru
İktisatta ters talep fonksiyonu olarak adlandırılan denklem aşağıdakilerden hangisidir?
|
|
|
|
|
|
|
|
|
|
İktisatta ters talebin ne olduğunu örnek üzerinde inceleyerek görebiliriz. Fiyat belirli bir düzeyde olduğunda tüketicinin talep edeceği miktar şu fonksiyonla belirlenir:
Yanda görülen standart bir talep fonksiyonudur. Biz buradan fiyatı çeker ve onun için bir denklem yazmak istersek;
eşitliğini elde ederiz. Buradan da P ’i yalnız bıraktığımızda,
denklemini elde ederiz ki bu son denklem iktisatta ters talep fonksiyonu olarak adlandırılır. Doğru cevap C'dir.
13.Soru
y=ƒ(x) fonksiyonunun [x1, y1] kapalı aralığındaki ortalama değişim oranı aşağıdaki eşitliklerden hangisi ile hesaplanır?
|
y=ƒ(x) fonksiyonunun [x1, y1] kapalı aralığında ortalama değişim oranı eşitliği ile hesaplanmaktadır. Bu nedenle Doğru Cevap A seçeneği olur. 14.SoruQ=0,5K0,6L0,8 şeklinde verilen Cobb-Douglas üretim fonksiyonunun ölçeğe göre getirisi aşağıdakilerden hangisidir?
Yanıt Açıklaması:
Üretimde kullanılan faktörlerden K ve L’nin üstünde yer alan sayıların toplamı 1’i geçtiği için burada ölçeğe göre artan getiri söz konusudur. 15.SoruBir firmanın ortalama maliyet fonksiyonu
Yanıt Açıklaması:
16.SoruU = 500x1 + 250x2 + 5x1x2 fayda fonksiyonu verilmiştir. Bu fayda fonksiyonuna ilişkin x1 malından bir birim fazla tüketilmesinin faydaya olan katkısı aşağıdakilerden hangisidir?
© 2019 sorular.net
IOS Uygulamamız Güncellendi! |