Matematiksel İktisat Final 18. Deneme Sınavı
Toplam 18 Soru1.Soru
y = 4x3 + x2(x+2) biçiminde verilen fonksiyonun ikinci dereceden türevi nedir?
|
yʹʹ= 28x + 4 |
|
yʹʹ= 30x + 4 |
|
yʹʹ= 30x + 6 |
|
yʹʹ= 15x2 + 4x |
|
yʹʹ= 24x + 2 |
y = 4x3 + x2(x+2) eşitliğinin birinci dereceden türevini almadan önce biraz düzenlersek;
fonksiyonunu elde ederiz. Buradan birinci derece türevi aldığımızda
eşitliğini elde ederiz. Buradan ikinci derece türevi, birinci türev eşitliğinin bir kez daha türevini alarak;
eşitliğini buluruz. Buna göre Doğru Cevap B seçeneği olur.
2.Soru
Bir bireyin fayda fonksiyonu U(X) = 3X2 - 18X+ 30 şeklinde verilmiştir. Buna göre bireyin faydasını maksimum yapan tüketim miktarı nedir?
|
2 |
|
3 |
|
4 |
|
5 |
|
6 |
Fayda fonksiyonunun maksimum olduğu noktayı bulmak için U(X) = 3X2 - 18X+ 30 fayda fonksiyonunun türevini almak gerekir. U?(X) = 6X – 18 fonksiyonunu buluruz. Bu fonksiyonu sıfıra eşitleyip çözdüğümüzde bireyin faydasını maksimum yapan tüketim miktarını buluruz. 6X -18 = 0 ise 6X=18 buradan X = 3 bulunur. Cevap B şıkkıdır.
3.Soru
I. İki matrisin toplamının evriği, matrislerin evrikleri toplamına eşit değildir.
II. Bir matrisin evriğinin evriği matrisin kendisine eşittir.
III. Bir sayı ile matrisin çarpımının evriği o sayı ile matrisin evriğinin çarpımına eşit değildir.
Matrislerin evriği ile ilgili verilen özelliklerden hangisi ya da hangileri doğrudur?
|
Yalnız I |
|
Yalnız II |
|
I ve II |
|
II ve III |
|
I, II ve III |
I. İki matrisin toplamının evriği, matrislerin evrikleri toplamına eşit değildir. (Bu yanlış bir ifadedir. İki matrisin toplamının evriği, matrislerin evrikleri toplamına eşittir.) II. Bir matrisin evriğinin evriği matrisin kendisine eşittir. (Bu doğru bir ifadedir.) III. Bir sayı ile matrisin çarpımının evriği o sayı ile matrisin evriğinin çarpımına eşit değildir. (Bu yanlış bir ifadedir. Bir sayı ile matrisin çarpımının evriği o sayı ile matrisin evriğinin çarpımına eşittir.)
4.Soru
Talep fonksiyonunun 200-5P, arz fonksiyonunun ise -100+P olduğu durumda piyasada geçerli olan denge fiyat düzeyi aşağıdakilerden hangisidir?
|
30
|
|
35
|
|
40
|
|
50
|
|
60
|
5.Soru
Bir öğrencinin okul kantininden elma (x) ya da kurabiye (y) almak üzere haftalık 24₺ harçlığı vardır. Bir adet kurabiye 1₺ ve 1 adet elma 0.5₺’dir. Bu öğrencinin kurabiye ve elma tüketimi sonucu sağladığı faydayı gösteren fayda fonksiyonu ’dir. Buna göre bu öğrencinin faydasını maksimize eden optimum tüketim bileşimi (x,y) aşağıdakilerden hangisidir?
|
(4,8) |
|
(8,8) |
|
(8,16) |
|
(16,16) |
|
(24,24) |
Öncelikle tüketicinin kısıt fonksiyonunu (bütçe kısıtını) oluşturmak gereklidir.
M=Pxx+Pyy⇒x+0,5y=24
Bu durumda tüketicinin problemi:
Maksimize et: U(x,y)=2x1/2+y1/2
Kısıt: x+0,5y=24
Fayda optimizasyon probleminin çözümü için gerekli Lagrange fonksiyonu ve I. Dereceden koşulları aşağıdaki gibi olacaktır.
L(x,y,λ)=2x(1/2)+y(1/2)+λ(24-x-0,5y)
Lx≡∂L/∂x=x-1/2-λ=0
Ly≡∂L/∂y=1/2y-1/2-0,5λ
Lλ≡∂L/∂λ=24-x-0,5y=0
λ=x-1/2=y-1/2⇒x=y
Bulunan x ifadesini Lλ’da yerine koyarsak
x+0,5x=24⇒1,5x=24⇒x=16,y=16
6.Soru
Bir bireyin fayda fonksiyonu U(X) = 7X2 - 6X+ 30 şeklinde verilmiştir. Buna göre bireyin faydasını maksimum yapan tüketim miktarı nedir?
|
5/7 |
|
6/7 |
|
4/7 |
|
3/7 |
|
1/7 |
Fayda fonksiyonunun maksimum olduğu noktayı bulmak için türevini almak gerekir. U?(X) = 14X – 6 fonksiyonunu buluruz. Bu fonksiyonu sıfıra eşitleyip çözdüğümüzde bireyin faydasını maksimum yapan tüketim miktarını buluruz. Sonuç 14X=6’dan X=3/7 çıkar.
7.Soru
26*log10 şeklinde verilmiş olan fonksiyonun sonucu nedir?
|
0 |
|
1 |
|
8 |
|
16 |
|
64 |
26=64 ve log10=1 ise 64*1 = 64 sonucunu buluruz.
8.Soru
I. Yerine koyma metodu
II. Toplam diferansiyel metodu
III. Lagrange çarpanı metodu
Yukarıda verilenlerden hangileri kısıtlı optimizasyonun çözüm yöntemleri arasında yer alır?
|
Yalnız I |
|
Yalnız II |
|
Yalnız III |
|
II ve III |
|
I, II ve III |
Bir kısıtlı optimizasyon problem üç farklı şekilde çözülebilir. Bunlar; yerine koyma metodu, toplam diferansiyel metodu ve Lagrange çarpanı metodudur.
9.Soru
Bir bankaya gecelik %4.5 faiz oranından yatırılan bir mevduatın yıllık efektif faiz oranı aşağıdakilerden hangisi olur?
|
% 4.5 |
|
% 4.6 |
|
% 4.7 |
|
% 4.8 |
|
% 5 |
10.Soru
Aşağıdakilerden hangisi y = d^m şeklindeki bir fonksiyonun ani büyüme oranını verir?
|
ln (d)
|
|
ln (m)
|
|
ln (y)
|
|
y ln (d)
|
|
y ln (m)
|
11.Soru
Monopolcü bir firmanın ürettiği iki mala ilişkin karşılaştığı talep fonksiyonu P(Q)=36-3Q olarak verilmiştir.Bu firmanın toplam hasılasını maksimum yapacak üretim düzeyi nedir?
|
2 |
|
4 |
|
6 |
|
8 |
|
10 |
12.Soru
Bir köşeli büyük parantez içinde satır ve sütunlara yazılı sayı, değişken veya fonksiyonları temsil eden elemanlardan oluşan dikdörtgen biçimindeki bir tablo şeklinde tanımlanan kavram aşağıdakilerden hangisidir?
|
Sayı dizisi |
|
Matris |
|
Sayı tablosu |
|
Seri |
|
Çözüm kümesi |
Matris, köşeli büyük parantez içinde satır ve sütunlara yazılı sayı, değişken veya fonksiyonları temsil eden elemanlardan oluşan dikdörtgen biçimindeki bir tablodur.
13.Soru
Aşağıdakilerden hangisi n. mertebeden simetrik bir matrisin asal minörleri (-, +, -, +, .........) şeklinde ise söylenebilir?
|
Matrisin öz değeri yoktur |
|
Matrisin belirli olup olmadığı söylenemez |
|
Matris pozitif belirlidir |
|
Matris belirli değildir |
|
Matris negatif belirlidir |
n. mertebeden simetrik bir matrisin asal minörleri (-, +, -, +, .........) şeklinde ise matris negatif belirlidir.
14.Soru
Bir tüketicinin tüm gelirini sadece (X) ve (Y) mallarına ayırdığı ve elde ettiği fayda düzeyinin U(X,Y) = 16XY olduğu belirlenmiştir. X malı için 6 ve Y malı için 18 ödemiştir. Bu iki malın tüketiminden elde ettiği toplam fayda 192 birim olduğuna göre, bireyin harcamasını minimum yapabilmesi için her iki maldan kaç birim satın almalıdır?
|
(X,Y)= (4,12)
|
|
(X,Y)= (1,3)
|
|
(X,Y)= (9,3)
|
|
(X,Y)= (2,8)
|
|
(X,Y)= (6,2)
|
15.Soru
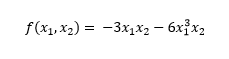
çok değişkenli fonksiyonunda
değeri aşağıdakilerden hangisidir?
|
-69 |
|
-24 |
|
42 |
|
75 |
|
102 |
olarak hesaplanır
16.Soru
y =ƒ(x)=ax+b aşağıdakilerden hangisi ile tanımlanabilir?
|
Aşağı bükey fonksiyon |
|
Yukarı bükey fonksiyon |
|
Doğrusal fonksiyon |
|
Eğim |
|
Konkav |
Doğrusal fonksiyonlarla iktisatta çok sık karşılaşırız. y =ƒ(x)=ax+b biçimindeki bir fonksiyon doğrusal fonksiyon olarak tanımlanır.
17.Soru
Talep fonksiyonu Qd = 1000P-3 şeklinde tanımlı olsun. Logaritma yardımıyla talebin fiyat esnekliğini hesaplayınız.
|
-1 |
|
0 |
|
1 |
|
2 |
|
3 |
Burada logaritmik transformasyon için doğal logaritmayı kullanacağız. Eşitliğin her iki tarafının doğal logaritması alındığında, logaritma kuralları gereği, lnQd = ln 1000 -3 lnP denklemi elde edilir. Elimizde üstel yapıda olan bir talep fonksiyonu vardı. Logaritma kullanarak bu fonksiyonu logaritmik ve doğrusal yapıya kavuşturduk. Artık yalnızca basit bir türev alarak talebin fiyat esnekliği hesaplamak mümkün hâle gelmiştir:
Yukarıda görüldüğü gibi bu malın talebi fiyata göre esnek çıkmıştır. Bir başka özellik ise bu talep fonksiyonunun her noktasında esneklik sabit ve 4’e eşittir. Doğru cevap E'dir.
18.Soru
İki mal tüketen bir tüketicinin bu iki maldan sağladığı marjinal faydaların birbirine oranına ne ad verilir?
|
Marjinal ikame oranı
|
|
Marjinal teknik ikame oranı
|
|
Optimum ikame oranı
|
|
Maksimum fayda oranı
|
|
Toplam ikame oranı
|
-
- 1.SORU ÇÖZÜLMEDİ
- 2.SORU ÇÖZÜLMEDİ
- 3.SORU ÇÖZÜLMEDİ
- 4.SORU ÇÖZÜLMEDİ
- 5.SORU ÇÖZÜLMEDİ
- 6.SORU ÇÖZÜLMEDİ
- 7.SORU ÇÖZÜLMEDİ
- 8.SORU ÇÖZÜLMEDİ
- 9.SORU ÇÖZÜLMEDİ
- 10.SORU ÇÖZÜLMEDİ
- 11.SORU ÇÖZÜLMEDİ
- 12.SORU ÇÖZÜLMEDİ
- 13.SORU ÇÖZÜLMEDİ
- 14.SORU ÇÖZÜLMEDİ
- 15.SORU ÇÖZÜLMEDİ
- 16.SORU ÇÖZÜLMEDİ
- 17.SORU ÇÖZÜLMEDİ
- 18.SORU ÇÖZÜLMEDİ