Matematiksel İktisat Final 10. Deneme Sınavı
Toplam 19 Soru1.Soru
Bir firmanın ortalama maliyet fonksiyonu AC(Q)=1/3Q3-1.5Q2+2Q-4 şeklindedir. Buna göre firmanın ortalama maliyetini minimum yapan üretim düzeyi aşağıdakilerden hangisidir?
|
1 |
|
2 |
|
3 |
|
4 |
|
5 |
Fonksiyonun birinci türevi 0’s eşitlenir.
dAC(Q)/dQ=Q2-3Q+2=0
Çarpanlarına ayrılırsa;
(Q-2)(Q-1)=0
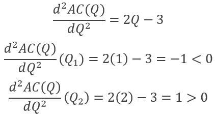
Kökler Q1=1 ve Q2=2 olarak bulunur ve hangisinin maliyeti minimum yapan düzey olduğuna karar verebilmek için ikinci türeve bakılır.
Görüldüğü gibi Q2=2 ortalama maliyet fonksiyonunun türevinde değerlendirildiğinde pozitif sonuç bulunmuştur. Maliyeti minimum kılan değer ikinci türevi pozitif yapan değerdir. Dolayısıyla firmanın maliyetini minimum yapan üretim düzeyi Q=2’dir
2.Soru
Bir firma bireysel ve kurumsal satışlarda farklı fiyatlar uygulamaktadır. Bireysel pazarda uyguladığı fiyat ve miktar sırasıyla P1 ve Q1, talep eşitliği ise P1+Q1=500 şeklindedir. Kurumsal pazarda uyguladığı fiyat ve miktar sırasıyla P2 ve Q2, talep eşitliği ise 2P2+3Q2=720 şeklindedir. Firmanın toplam maliyet fonksiyonu ise TC=50000+2Q biçimindedir. Firmanın karını maksimize etmek için bireysel pazarda uygulayacağı fiyat aşağıdakilerden hangisidir?
|
150
|
|
180
|
|
200
|
|
260
|
|
310
|
3.Soru
şeklinde yazılmış A ve B matrisleri veriliyor. Buna göre bu iki matrisin determinantlarının toplamı kaçtır?
|
17 |
|
15 |
|
0 |
|
-15 |
|
-17 |
Bir matrisin determinantı o matrisin, herhangi bir satır veya sütunundaki elemanlarının kendi kofaktör değerleriyle çarpımları toplamıdır. 2x2’lik matrislerin ise determinantını bulmanın kolay yolu köşelerini çarpıp çıkarmaktır. şeklinde kabul edilen bir matris için determinantı (a*d – b*c) şeklinde bulunur. A matrisinin determinantı (5*0 – 4*4) = -16 şeklinde B matrisinin determinantı (1*1 – 0*2) = 1 şeklinde bulunur. -16 + (-1)=-15 olarak sonuç bulunur.
4.Soru
do¤al tabanl› üstel
fonksiyonlar›n en basit hali
olan y = ex fonksiyonune tabanlı üstel fonksiyonlarda e'nin 0'ıncı kuvveti aşağıdakilerden hangisine eşittir?
|
-1 |
|
0 |
|
1 |
|
2.718 |
|
3.14 |
e tabanlı üstel fonksiyonlar için e'nin 0'ıncı kuvveti 1'dir. Doğru cevap C'dir.
5.Soru
C=200-0,4Y olarak verilen tüketim fonksiyonu için marjinal tasarruf eğilimi aşağıdakilerden hangisidir?
|
0,2 |
|
0,4 |
|
0,5 |
|
0,6 |
|
0,8 |
MPC=-0,4 olarak hesaplanır. Marjinal tasarruf eğilimi ile marjinal tüketim eğiliminin toplamlarının bire eşittir. MPS+MPC= (1-c1)+c1=1.
(1-(-0.4))+c=1
c=1-0,4=0,6 olarak marjinal tasarruf eğilimi hesaplanır.
6.Soru
Bir ekonomik kriz döneminde A firmasının kazançları yıllık sürekli bileşik halde %10 düşmektedir. Bu firmanın toplam kazancı (milyon TL cinsinden) TR=6e-0,1t olarak modellenmiştir (t, yıl cinsinden zamanı ifade etmektedir) Buna göre, bu firmanın toplam kazancı en az kaç yıl sonra 2 milyon Türk Lirasına düşer?
|
3 |
|
5 |
|
9 |
|
11 |
|
14 |
t yıl cinsinden zamanı ifade ettiğine göre
2=6e-0,1t
1/3=e-0,1t
Ln 1/3=-0,1t
-1,0986=-0,1t
t=10,98
En az 11 yıl sonra toplam kazanç 2 milyon Türk Lirasına düşer
7.Soru
Aşağıdaki kurallardan hangisi aritmetikte daima doğru olmasına rağmen matris hesabında her zaman doğru olmayabilir?
|
(AB)C = A(BC)
|
|
A+B = B+A
|
|
A(B+C) = AB + AC
|
|
AB = BA
|
|
(A+B) + C = A + (B+C)
|
8.Soru
Bir malın arz eşitliği P=2Q2+10Q+10 ve talep eşitliği P=-Q2-5Q+52 olarak verilmiştir. Bu eşitliklerin ortak çözümünden denge miktarı 2 olarak belirlendiğine göre denge fiyatı aşağıdakilerden hangisidir?
|
26 |
|
32 |
|
38 |
|
44 |
|
56 |
Bir malın arz eşitliği P=2Q2+10Q+10 ve talep eşitliği P=-Q2-5Q+52 olarak verilmiştir. Denge miktarı olan 2 arz veya talep eşitliğinde yerine koyularak denge fiyatına ulaşılır.
Arz eşitliğini kullanırsak P=2(4)+10(2)+10=38 bulunur.
Talep eşitliğini kullanırsak P=-4-5(2)+52=38 bulunur.
9.Soru
Piyasa koşullarında, örneğin, alıcıların gelirleri veya üretim teknolojisi değişebilir ya da piyasaya vergiler yoluyla kamu müdahalesi olabilir. Sistemde gerçekleşen şokların yol açtığı yeni oluşan dengeyi ilk denge ile karşılaştırmak için temel düşünce aşağıdaki analizlerin hangisinde mevcuttur?
|
Harmonik Analiz |
|
Zamana Bağlı değişken Analiz |
|
Karşılaştırmalı Dinamik Denge Analizi |
|
Tüketici Gelir Analizi |
|
Karşılaştırmalı Statik Denge Analizi |
Piyasa dengesi diğer faktörlerde değişme söz konusu değilken durağan ve tektir. Ancak piyasa koşullarında değişmeler her zaman söz konusu olur ve bu değişmelerin dengeyi (denge fiyat ve denge miktar) nasıl değiştirdiği araştırılmalı ve analiz edilmelidir.
Piyasa koşullarında, örneğin, alıcıların gelirleri veya üretim teknolojisi değişebilir ya da piyasaya vergiler yoluyla kamu müdahalesi olabilir. Sistemde gerçekleşen şokların yol açtığı yeni oluşan dengeyi ilk denge karşılaştırmak için temel düşünce "Karşılaştırmalı Statik Denge Analizidir". Doğru cevap E'dir.
10.Soru
Yukarıda verilen ters talep denklemini kullanarak üretim düzeyinin Q=4 olması durumunda marjinal gelir aşağıdakilerden hangisi olacaktır?
|
65 |
|
25 |
|
4 |
|
46 |
|
12 |
Buna göre Q=4 üretim düzeyinde marjinal gelir 65 olmaktadır.
11.Soru
Bir f (x) fonksiyonunun x 2’ye, 2’den küçük değerlerden yaklaşırken limitine ne ad verilir?
|
Sağdan limit
|
|
Soldan limit
|
|
Sonsuz limit
|
|
Sürekli limit
|
|
Sonlu limit
|
12.Soru
Bir yatırımcı elindeki bir miktar parayı Z Bankasına yıllık vade üzerinde yıllık %7 faiz oranıyla yatırmıştır. Bu yatırımcı yatırdığı paranın ikiye katlanmasını istiyorsa yaklaşık kaç dönem beklemelidir?
|
2
|
|
5
|
|
7
|
|
10
|
|
14
|
13.Soru
y=f(x)=8+12x fonksiyonunun tersi nedir?
|
|
|
|
|
|
|
|
|
|
Fonksiyonun tersini bulmak için ilk olarak x’i y cinsinden çözüyoruz:
y=8+12x
y-8=12x
x=y/12-2/3
x’leri ve y’leri yer değiştirerek ters fonksiyonu yazıyoruz:
y=-2/3+x/12
14.Soru
250 Lira bayram harçlığı alan Ahmet'in fayda fonksiyonu U=x0.6y0.4 ise fiyatları sırasıyla 30 ve 20 Lira olan x ve y oyuncaklarından kaçar tane almalıdır?
|
x'ten 10, y'den 3 tane |
|
Her ikisinden de 10'ar tane |
|
Her ikisinden de 5'er tane |
|
x'ten 3, y'den 8 tane |
|
x'ten 7, y'den 2 tane |
Ahmet’in bütçesi 250, oyuncakların fiyatları sırasıyla 30 ve 20 Lira olduğuna göre kısıt fonksiyonumuz 250=30x+20y olacaktır. Bu durumda Langrange fonksiyonumuz:
L=U(x,y)+?(B-Pxx-Pyy)
L= x0.6y0.4+ ?(250-30x-20y)
Tüketiciler faydalarını maksimize etmek isteyeceğine göre bu bir maksimizasyon problemidir. Bu nedenle 1. dereceden kısmi türevlerin sıfıra eşit, 2. dereceden kısmi türevlerin ise negatif olması gerekir.
L= x0.6y0.4+ ?(250-30x-20y)
Lx=0.6(y/x)0.4-30 ?=0 ve buradan 0.6(y/x)0.4= 30? yani ?=0.02(y/x)0.4olur.
Ly=0.4(x/y)0.6-20 ?=0 ve buradan 0.4(x/y)0.6= 20? yani ?=0.02(x/y)0.6olur.
Bu durumda 0.02(y/x)0.4= 0.02(x/y)0.6 ve buradan y0.6y0.4= x0.6x0.4 yani y=x olur.
250=30x+20y=30x+20x olacak, buradan x=y=5 bulunacaktır.
Şimdi de ikinci derece türevleri alarak negatiflik koşulunun yerine gelip gelmediğine bakalım:
Lx=0.6(y/x)0.4-30 ? ise Lxx=-0.24y0.4x-1.4<0
Ly=0.4(x/y)0.6-20 ? ise Lyy=-0.24x0.6y-1.6<0.
İkinci koşul da sağlandığına göre her iki oyuncaktan da 5'er tane almalıdır. Doğru cevap C'dir.
15.Soru
Bir bankaya yatırılan 10000 TL'nin %6 faiz oranından 3 yıl için 4 ayda bir bileşiklendirildiğinde vade sonu değeri aşağıdakilerden hangisi olur?
|
11956.2 |
|
11955.2 |
|
11952.6 |
|
11948.4 |
|
11946.2 |
16.Soru
Aşağıdakilerden hangisi doğal tabanlı üstel fonksiyonlar ile doğal logaritmik fonksiyonların karşılaştırılmasından doğan bir sonuç değildir?
|
Doğal tabanlı fonksiyonda olduğu gibi logaritmik fonksiyon da sürekli artan bir fonksiyondur. |
|
Doğal tabanlı üstel fonksiyon sürekli konveks iken, doğal logaritmik fonksiyon tanım kümesinin bütün elemanları için sürekli konkav bir fonksiyondur. |
|
Üstel fonksiyonun tanım kümesi tüm reel sayılar iken, logaritmik fonksiyonun tanım kümesi yalnızca pozitif sayılardan oluşur. |
|
Doğal tabanlı üstel fonksiyonun görüntüleri yalnızca pozitif sayılarda tanımlı iken, logaritmik fonksiyonun değerleri bütün reel sayılar olabilir. |
|
Üstel fonksiyonlar pozitif olduğu durumlarda daima logaritmik fonksiyonlardan büyüktür. |
Doğal tabanlı üstel fonksiyonlar ile doğal logaritmik fonksiyonların karşılaştırılmasında aşağıdaki sonuçlar elde edilir:
Doğal tabanlı fonksiyonda olduğu gibi logaritmik fonksiyon da sürekli artan bir fonksiyondur.
Doğal tabanlı üstel fonksiyon sürekli konveks iken, doğal logaritmik fonksiyon tanım kümesinin bütün elemanları için sürekli konkav bir fonksiyondur.
Üstel fonksiyonun tanım kümesi tüm reel sayılar iken, logaritmik fonksiyonun tanım kümesi yalnızca pozitif sayılardan oluşur.
Doğal tabanlı üstel fonksiyonun görüntüleri yalnızca pozitif sayılarda tanımlı iken, logaritmik fonksiyonun değerleri bütün reel sayılar olabilir.
Ancak üstel fonksiyonlar pozitif olduğu durumlarda daima logaritmik fonksiyonlardan büyüktür diye bir sonuç çıkarılamaz. Doğru cevap E'dir.
17.Soru
I. Cramer Kuralı
II. Gauss Eleme Yöntemi
III. İkame Metodu
Verilen yöntemlerden hangileri matris sistemlerini çözmek için kullanılabilir?
|
Yalnız I |
|
I ve II |
|
I ve III |
|
Yalnız III |
|
I, II ve III |
Verilmiş yöntemlerden Cramer kuralı ve Gauss eleme yöntemi matris sistemlerini çözmek için kullanılan yöntemlerden iken ikame metodu denklem sistemlerinde kullanılan bir metottur.
18.Soru
Üretim için x, y, z girdilerini kullanan Soner Tarım işletmesinin üretim fonksiyonu f(x,y,z)=xyz ve üç girdinin de fiyatı 1 Lira ise, 12 lira toplam maliyetle en fazla kaç ürün üretilebilir?
|
10 |
|
32 |
|
48 |
|
64 |
|
72 |
Verili maliyetle en fazla ürün üretilmek istendiğinden bu bir maksimizasyon problemidir. Öyleyse Langrange ifademiz:
L=xyz+ ?(12-x-y-z) olur.
- Derece koşullarını uygularsak:
Lx=yz-?=0
Ly=xz-?=0
Lz=yx-?=0
Öyleyse ?=xy=yz=xz olacaktır. Tüm bu denklemleri çözdüğümüzde x=y=z olduğu kolayca görülecektir.
12=x+y+z olduğuna göre x=y=z=4 olacaktır. Bu durumda üretim miktarı f(x,y,z)=xyz=4*4*4=64 birimdir
19.Soru
Q miktarı göstermek üzere, bir firma için toplam hasıla fonksiyonu TR = 200 - 5Q2 ve toplam maliyet fonksiyonu TC = 2Q2 +12 olarak veriliyor. Buna göre Q = 10 için marjinal hasıla (MR) ile marjinal maliyet (MC) nedir?
|
MR = -300 ve MC = -40 |
|
MR = -100 ve MC = 212 |
|
MR = -100 ve MC = 40 |
|
MR = 100 ve MC = -40 |
|
MR = 100 ve MC = 52 |
Toplam hasıla fonksiyonu TR = 200 - 5Q2 ise marjinal hasıla fonksiyonu bu fonksiyonun birinci türevine, yani MR = -10Q fonksiyonuna eşittir. Toplam maliyet fonksiyonu TC = 2Q2 +12 ise marjinal maliyet fonksiyonu bu fonksiyonun birinci türevine, yani MC = 4Q fonksiyonuna eşittir. Buna göre Q=10 için marjinal hasıla MR = -100 ve marjinal maliyet ise MC = 40 değerine eşittir. Buna göre Doğru Cevap C seçeneğidir.
-
- 1.SORU ÇÖZÜLMEDİ
- 2.SORU ÇÖZÜLMEDİ
- 3.SORU ÇÖZÜLMEDİ
- 4.SORU ÇÖZÜLMEDİ
- 5.SORU ÇÖZÜLMEDİ
- 6.SORU ÇÖZÜLMEDİ
- 7.SORU ÇÖZÜLMEDİ
- 8.SORU ÇÖZÜLMEDİ
- 9.SORU ÇÖZÜLMEDİ
- 10.SORU ÇÖZÜLMEDİ
- 11.SORU ÇÖZÜLMEDİ
- 12.SORU ÇÖZÜLMEDİ
- 13.SORU ÇÖZÜLMEDİ
- 14.SORU ÇÖZÜLMEDİ
- 15.SORU ÇÖZÜLMEDİ
- 16.SORU ÇÖZÜLMEDİ
- 17.SORU ÇÖZÜLMEDİ
- 18.SORU ÇÖZÜLMEDİ
- 19.SORU ÇÖZÜLMEDİ