Matematiksel İktisat Final 5. Deneme Sınavı
Toplam 18 Soru1.Soru
QD = 35 - 2P
QS = 25 + 3(P - t)
Q’nun miktar P’nin fiyat ve t’nin vergiyi temsil ettiği bir piyasada verilen arz ve talep fonksiyonları için denge durumunda P kaça eşittir?
|
P = 2 + 6/5 t |
|
P = 2 + 2/5 t |
|
P = 31+ 6/5 t |
|
P = 31 + 3/5 t |
|
P = 2 + 3/5 t |
Piyasa dengenin olduğu durum talep ile arz miktarının birbirine eşit olduğu yerdir. Bunu bulmak için arz ve talep fonksiyonlarının ortak çözümünü buluruz. Öncelikle arz ile talep fonksiyonlarını birbirine eşitleyip ortak çözümünü buluruz. QD=QS yani 35 - 2P = 25 + 3(P - t) buradan da 35 -2P = 25 + 3P – 3t olarak yazabiliriz bu eşitliği düzenlediğimizde ise P = 2 + 3/5 t olduğunu buluruz.
2.Soru
Gelişmiş bir ülkede yeni bir buzdolabı modeli geliştirildikten t yıl sonra halkın sahip olma yüzdesi, y, aşağıdaki üstel fonksiyon ile modellenmiştir. y=100-95e^(-0,15t) Buna göre buzdolabı modeli geliştirildikten 10 yıl sonra halkın sahip olma yüzdesi yaklaşık olarak aşağıdakilerden hangisidir?
|
%5,14
|
|
%18,56
|
|
%78,81
|
|
%84,60
|
|
%92,40
|
3.Soru
Toplam hasıla fonksiyonu 8Q – 5Q2 ve toplam maliyet fonksiyonu 3Q2 + 4Q - 12 olduğuna göre firmanın kârını maksimum yapan üretim düzeyinde toplam maliyeti kaçtır?
|
-2 |
|
-3 |
|
-5 |
|
-7 |
|
-9 |
Kâr fonksiyonu toplam hasıladan toplam maliyetin farkı ile bulunur. ?= 8Q – 5Q2 – (3Q2 + 4Q – 12) = 8Q – 5Q2 + 3Q2 - 4Q + 12 bu ifadeyi düzenlediğimizde ?= -2Q2 + 4Q +12 ifadesini elde ederiz. Kâr fonksiyonunun türevini aldığımız zaman ise – 4Q +4 ifadesini buluruz. Bu ifadeyi sıfıra eşitlediğimiz zaman kârın maksimum olduğu üretim düzeyini buluruz. – 4Q +4=0 buradan Q = 1 olduğunu buluruz. Toplam maliyeti bulabilmek için bu Q değerini toplam maliyet fonksiyonuna yazmamız gerekir. Toplam maliyet fonksiyonundan TC(1)= 3Q2 + 4Q – 12 = 3*1 + 4*1 -12 = 7 – 12 = -5 sonucunu buluruz. Burada negatif olmasının sebebi harcamaların değerini ifade ettiği içindir.
4.Soru
Q = 15K0,6L0,5 şeklinde verilen Cobb-Douglas üretim fonksiyonunun ölçeğe göre getirisi aşağıdakilerden hangisidir?
|
Önce artan sonra azalan |
|
Önce azalan sonra artan |
|
Azalan |
|
Artan |
|
Sabit |
Cobb-Douglas üretim fonksiyonu;
şeklinde gösterilir. Cobb-Douglas üretim fonksiyonunda ölçeğe göre getiriler şöyle olur.
Doğru cevap D'dir.
5.Soru
A bankasına yatırılan x miktarındaki anapara için herhangi bir t zamanı için verilen değişim formülü şeklindedir. t yıl cinsinden zamanı etmektedir. Buna göre 2 yıl sonra elde edilecek kazanç yaklaşık ne kadar olur?
|
2400 |
|
2931 |
|
530 |
|
750 |
|
1000 |
2930-2400=530
6.Soru
Bir firmanın kârının maksimum olabilmesi için aşağıdaki koşullardan hangisinin gerçekleşmesi gerekir?
|
MR(Q)<MC(Q) |
|
MR(Q)>MC(Q) |
|
MR(Q)=MC(Q) |
|
MR(Q)<0 |
|
MC(Q)<0 |
Bir firmanın kâr fonksiyonu
?(Q)=TR(Q)-TC(Q)
Kârın maksimum olması için kâr fonksiyonunun birinci türevinin sıfıra eşit olması gerekir.
d?(Q)/dQ=dTR(Q)/dQ-dTC(Q)/dQ=0
dTR(Q)/dQ=dTC(Q)/dQ
MR(Q)=MC(Q)
Buna göre bir firmanın kâr maksimizasyon koşulu marjinal maliyetinin marjinal hasılasına eşit olmasıdır.
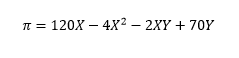
7.Soru
Yukarıda X ve Y mallarını üreten bir firmanın kar fonksiyonu verilmiştir.Üretim için çıktı kapasitesi X+Y=15 olarak sınırlanmış olup, firma kar maksimizasyonu amacı ile çalışmaktadır. Buna göre kar ne olur?
|
1100 |
|
2350 |
|
3750 |
|
4200 |
|
5745 |
8.Soru
Kısıtlı bir optimizasyon probleminde amaç fonksiyonu maksimum değerini alıyorsa aşağıdakilerden hangisi geçerlidir?
|
Sınırlandırılmış Hessian matrisinin bütün asal minörleri negatiftir |
|
Sınırlandırılmış Hessian matrisinin bütün asal minörleri pozitiftir |
|
Sınırlandırılmış Hessian matrisinin asal minörleri pozitiften başlayarak işaret değiştirir |
|
Sınırlandırılmış Hessian matrisinin asal minörleri negatiften başlayarak işaret değiştirir |
|
Sınırlandırılmış Hessian matrisinin determinantı 1'dir. |
Sınırlandırılmış Hessian matrisinin asal minörleri pozitiften başlayarak işaret değiştiriryorsa amaç fonksiyonu maksimum değerini alır. Bütün asal minörler negatif ise amaç fonksiyonu minimum değerini alır. Doğru cevap C'dir.
9.Soru
I. f(x, y) = z fonksiyonu için z bağımsız değişken, x ve y ise bağımlı değişkenlerdir.
II. İki değişkenli bir fonksiyonun grafiği tüm (x, y, ƒ (x, y )) noktalarını içeren 3 boyutlu uzayda bir yüzeydir.
III. İki değişkenli fonksiyonun tanım kümesinin elemanları (x, y) gibi ikililerdir.
İki değişkenli fonksiyonlarla ilgili verilenlerden hangisi ya da hangileri doğrudur?
|
Yalnız I |
|
Yalnız II |
|
I ve II |
|
II ve III |
|
I, II ve III |
I. f(x, y) = z fonksiyonu için z bağımsız değişkenler, x ve y ise bağımlı değişkendir. (Bu ifade yanlıştır. f(x, y) = z fonksiyonu için z bağımlı değişken, x ve y ise bağımsız değişkenlerdir.) II. İki değişkenli bir fonksiyonun grafiği tüm (x, y, ƒ (x, y )) noktalarını içeren 3 boyutlu uzayda bir yüzeydir. (Bu ifade doğrudur.) III. İki değişkenli fonksiyonun tanım kümesinin elemanları (x, y) gibi ikililerdir. (Bu ifade doğrudur.)
10.Soru
4x2 + 2xy + 7y2 amaç fonksiyonunu g (x, y) = x + y = 90 kısıtı altında optimize eden x ve y değerleri nelerdir?
|
(-60, -30) |
|
(60, 30) |
|
(30, 20) |
|
(90, 30) |
|
(60, -30) |
Bu optimizasyon problemini çözmek için öncelikle kısıt fonksiyonunu sıfıra eşitleyip sonra Lagrange fonksiyonu oluşturmalıyız. Lagrange fonksiyonu L(x, y, ?) = 4x2 + 2xy + 7y2 + ? (90 - x - y) şeklinde yazılır. Her bir değişken için I. derecen kısmi türevleri alarak, birinci dereceden koşulları yazdığımızda x için birinci türev 8x + 2y – ? = 0, y için birinci türev 2x + 14y – ? = 0 ve ? için birinci türev 90 - x – y = 0 buradan ?=8x + 2y = 2x + 14y eşitliğini buluruz. Bu ifadede x ve y’leri aynı tarafa toplarsak 6x = 12y ifadesini buluruz. Buradan da x=2y ifadesini buluruz. Bulduğumuz x ya da y ifadesini 90 - x – y = 0 yerine yazarız. 90 – 2y -y = 0 bu ifade 90 – 3y=0 şeklinde yazılır. Buradan y = 30 ve x =60 buluruz.
11.Soru
Talep fonksiyonu Q=4P=60 olarak verilmişse, Talebin birim esnek olduğu durumda fiyat ne kadardır?
|
2,5 |
|
3 |
|
60 |
|
15 |
|
7,5 |
En başta fiyatı miktarın bir fonksiyonu olarak ifade edip ilgili fonksiyonu P=aQ+b biçiminde yazmak gereklidir.
Verilen talep fonksiyonu Q+4P=60
4P=-Q+60
P = - 1/4Q + 15 olur.
?=1 iken fiyat P = b/2 olur.
Bu durumda P = 15/2 = 7,5 olarak sonuç bulunur.
Doğru cevap E'dir.
12.Soru
Qd = -5p + 1370
Qs = 3p – 400
Bir X malı için arz ve talep fonksiyonları yukarıdaki gibidir. Hükümet satılan her bir birim X malı için 10 liralık vergi koymuş, bu vergiyi de üreticilere yüklemiştir. Vergi sonrası üreticinin eline geçen fiyat aşağıdakilerden hangisidir?
|
115 |
|
150 |
|
200 |
|
215 |
|
225 |
Vergi sonrası talep denklemi değişmezken, arz denklemi değişir:
Qs= 3(p-10)-400
=3p-30-400
Qd=Qs
-5p+1370=3p-430
P=225
Vergi sonrası üreticinin eline geçen fiyat;
P*=225-10=215’dir
13.Soru
Matris aşağıdakilerden hangisi ile gösterilir?
|
[A]ij |
|
[A] |
|
a[i,j] |
|
a,ve ij |
|
ij ve [A] |
Bir matris, bir veri setinin doğal yorumu olan, sütunlar seti ya da satırlar seti olarak da düşünülebilir (s/111 Tablo 5.1’e bakınız). Matris, ya A = [aij] ya da [A]ij biçiminde gösterilir. aij (i = 1, 2, ... , m; j = 1, 2, ... , n) sayıları, A matrisinin girdileridir.
14.Soru
Aşağıdakilerden hangisi kısa dönemde sermaye stoku sabitken, üretim fonksiyonunun ikinci türevinin negatif olmasının çıkarımlarından birisidir?
|
Marjinal ikame oranı |
|
Marjinal teknik ikame oranı |
|
Azalan marjinal fayda yasası |
|
Artan marjinal verimler yasası |
|
Azalan marjinal verimler yasası |
Bu firmanın üretim fonksiyonunu iki temel özelliğe sahip olması gerekmektedir: (1) istihdam edilen emek faktörü artarken üretim miktarı da artmalıdır, (2) üretim miktarındaki artış, azalan oranda olmalıdır. İlk özellik emeğin marjinal fiziki ürününün pozitif olması gerektiğini söylemektedir. İkinci özellik ise üretim fonksiyonunun ikinci türevinin negatif olması demektir. Bu özellik, azalan marjinal fiziki ürün veya azalan verimler yasasına karşılık gelmektedir.
15.Soru
f(x,y,z)= 2x2+2y2+2z2-4xy-4xz-8x+10z-10 fonksiyonunun kritik noktası olan (x,y,z) üçlüsü ve kritik noktanın türü aşağıdakilerden hangisinde doğru verilmiştir?
|
(1,1,½)-Maksimum |
|
(2,1,2)-Minimum |
|
(1,1,2)-Maksimum |
|
(½, ½,-2)-Minimum |
|
(2,1,½)-Maksimum |
İlk olarak 1. dereceden kısmi türevleri alıp sıfıra eşitleyelim:
fx=4x-4y-4z-8=0
fy=-4x+4y=0 buradan x=y
fz=-4x+4z+10=0
ikinci denklemden x=y çıktığı için bu bilgiyi ilk denkleme (fx) uygularsak:
4x-4y-4z-8=0 buradan 4x-4x-4z-8=0 ve -4z=8 olduğundan z=-2 olur. z’nin değerini son denklemde (fz) yerine yazarsak:
-4x-8+10=0 buradan 4x=2, x=1/2 olacaktır. y=x olduğundan y=1/2 olur. Bu durumda kritik noktayı sağlayan (x,y,z) üçlüsü (½, ½,-2) olacaktır.
Şimdi Hessian matrisine bakarak bu noktanın türünü belirleyelim. Hessian matrisi için ikinci kısmi türevleri almamız gerekir:
fx=4x-4y-4z olduğu için fxx=4 fxy=-4 fxz=-4
fy=-4x+4y olduğu için fyx=-4 fyy=4 fyz=0
fz=-4x+4z+10 olduğu için fzx=-4 fzy=0 fzz=4 olur. Bu durumda Hessian Matrisimiz şudur:
=16>0
görüldüğü üzere matrisin tüm asal minörleri ve determinantı pozitiftir. Bu nedenle bu bir minimum noktasıdır. Bu nedenle cevap D'dir.
16.Soru
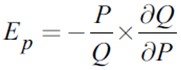
Q = 700 – 4P + 0.05Y şeklinde verilmiş olan talep fonksiyonunda Q talep miktarı, P fiyatı ve Y geliri temsil ettiğine göre P=20, Y=400 olduğu durumda talebin fiyat esnekliği nedir?
|
1/2 |
|
1/30 |
|
1/8 |
|
2/75 |
|
1/50 |
Talebin fiyat esnekliğini hesaplamak için formülünü kullandığımızda öncelikle Q’nun P’ye göre kısmi türevini bulmamız gerektiğini görüyoruz. Bu kısmi türev ise -4’e eşittir. Q ise 700 – 4*20+0.05*400 = 640 olduğunu buluruz. Bulunan tüm değerleri yerine yazdığımızda Ep= -(20/640)x(-4) = 1/8 talebin fiyat esnekliğini 1/8 olarak buluruz.
17.Soru
Fayda maksimizasyonunu amaçlayan iki değişkenli kısıtlı bir optimizasyon probleminin çözümünden elde edilen bir tüketim bileşiminin tüketicinin faydasını maksimum yaptığına karar verebilmek için aşağıdaki Hesian durumlarından hangisinin gerçekleşmesi gereklidir?
|
|
|
|
|
|
|
|
|
|
> 0 olduğunda sınırlandırılmış Hesian negatif belirlidir. Dolayısıyla fayda (U) maksimize edilmiştir.
18.Soru
Bir firma sadece x ve y malları üretmektedir ve bu firmanın kâr fonksiyonu aşağıdaki gibidir. ?(x,y)=56x-5x2+48y-3y2-5xy
Buna göre firmanın kârını maksimize eden üretim düzeyi x ve y malı için aşağıdaki sıralı ikililerden hangisidir?
|
(2,5;6) |
|
(2,75;5,7) |
|
(2;7) |
|
(4;6) |
|
(5;10) |
Kâr fonksiyonunun birinci mertebeden kısmi türevi alınır ve çözümlenirse
İki denklem birlikte çözüldüğünde (birinci denklem -1 ile ikinci denklem 2 ile çarpılarak taraf tarafa toplanır.)
Buradan ve x=2,75 olarak bulunur. (x;y)=(2,75; 5,7) miktarlarının kârı maksimum yapan üretim düzeyleri olup olmadığına karar verebilmek için ikinci mertebeden kısmi türevler alınırsa
Bu sonuçlar kullanılarak Hessian matrisi oluşturulursa
Son olarak Hessian determinantını ve ikinci mertebeden kısmi türevi (2,75;5,7) noktasında değerlendirirsek
Sonuçları bulunur ve firmanın sırasıyla x ve y malından (2,75;5,7) üretmesi durumunda kârını maksimum yaptığı söylenir.
-
- 1.SORU ÇÖZÜLMEDİ
- 2.SORU ÇÖZÜLMEDİ
- 3.SORU ÇÖZÜLMEDİ
- 4.SORU ÇÖZÜLMEDİ
- 5.SORU ÇÖZÜLMEDİ
- 6.SORU ÇÖZÜLMEDİ
- 7.SORU ÇÖZÜLMEDİ
- 8.SORU ÇÖZÜLMEDİ
- 9.SORU ÇÖZÜLMEDİ
- 10.SORU ÇÖZÜLMEDİ
- 11.SORU ÇÖZÜLMEDİ
- 12.SORU ÇÖZÜLMEDİ
- 13.SORU ÇÖZÜLMEDİ
- 14.SORU ÇÖZÜLMEDİ
- 15.SORU ÇÖZÜLMEDİ
- 16.SORU ÇÖZÜLMEDİ
- 17.SORU ÇÖZÜLMEDİ
- 18.SORU ÇÖZÜLMEDİ