Matematiksel İktisat Final 24. Deneme Sınavı
Toplam 20 Soru1.Soru
Fayda fonksiyonu biçiminde olan bir tüketici x malını 5 TL ve y malını 2 TL den satın almaktadır. Bu iki mal için harcayabileceği toplam 150 TL si olan bu tüketicinin faydasını maksimize etmek için ne kadar x tüketmelidir?
|
5 |
|
10 |
|
18 |
|
24 |
|
30 |
2.Soru
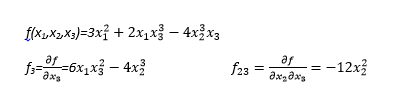
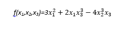
çok değişkenli fonksiyonu verilmiştir. Buna göre
değeri aşağıdakilerden hangisidir?
|
|
|
|
|
|
|
|
|
|
3.Soru
Kâr fonksiyonu K(x,y,z)= 8xy+4xz+2yz -3x2-8y2-9z2+6x-10y+4z-5 olan bir firmanın optimum üretim düzeyini gösteren (x,y,z) üçlüsü aşağıdakilerden hangisidir?
|
(1,2,3) |
|
(3,1,3) |
|
(4,5,2) |
|
(2,1,3) |
|
(3,1,1) |
4.Soru
Birim emek bedelinin 5, birim sermaye bedelinin 15 Lira olduğu bir piyasada üretim yapan ABC işletmesi Q(K,L)=K0.6L0.4 üretim fonksiyonuna sahiptir. ABC işletmesi, 3000 Lira toplam maliyetle en fazla kaç ürünü üretmek için kaç birim sermaye kullanmalıdır?
|
80 |
|
90 |
|
100 |
|
110 |
|
120 |
Belirli bir toplam maliyetle en fazla ürün elde edilmek istendiğine göre; amaç fonksiyonu üretim fonksiyonu, kısıtı ise toplam maliyet fonksiyonu olan bir optimizasyon problemiyle karşı karşıyayız. Bu halde Langrange ifademiz şu şekilde olacaktır:
L= K0.6L0.4+ ?(3000-15K-5L)
Şimdi birinci kısmi türevleri alalım:
LK=0.6(L/K)0.4-15?=0 ve buradan 0.6(L/K)0.4=15?
LL=0.4(K/L)0.6-5?=0 ve buradan 0.4(K/L)0.6=5?
İçinde ? olan ifadeleri taraf tarafa bölersek:
1.5*(L/K)=3
L/K=2 ve buradan L=2K çıkar.
Şimdi bunu maliyet fonksiyonuna yazalım:
3000=15K+5L ve L=2K olduğu için 3000=15K+10K=25K ve buradan K=120 olur.
5.Soru
İki mal üreten bir firma için toplam hasıla fonksiyonu TR(Q1, Q2) = 4Q12 - 2Q1Q2 - 4Q1 - 5Q22 + 17 olduğuna göre firmanın toplam hasıla minimum yapan üretim değerleri nedir?
|
Q1= 3/19, Q2= 13/19 |
|
Q1= 4/19, Q2= 10/19 |
|
Q1= 2/19, Q2= 10/19 |
|
Q1= 1/19, Q2= 11/19 |
|
Q1= 5/19, Q2= 15/19 |
İlk önce TR’nin Q1 ve Q2’e göre birinci mertebeden kısmi türevi bulunur. ?TR/?Q1 = 8Q1 - 2Q2 – 4 ve ?TR/?Q2 =2Q1 - 10Q2 bulunur, bu iki denklemi sıfıra eşitlediğimizde 8Q1 – 2Q2 - 4 = 0 ve 2Q1 - 10Q2 =0 eşitliğini elde ederiz. Her iki fonksiyonun iki tarafını 2’ye böldüğümüzde 4Q1 –Q2 - 2 = 0 ve Q1 - 5Q2 =0 fonksiyonlarını elde ederiz. Q1 = 5Q2 eşitliğini ilk denklemde yerine yazarsak 20Q2 – Q2 - 2 = 0 eşitliğini buluruz. Buradan Q1 = 2/19 ve Q2 =10/19 sonucunu elde ederiz.
6.Soru
Dışa kapalı ve devletin olmadığı bir ekonomide tüketim fonksiyonu C(Y)=1050+0,9Y şeklinde verilmiştir. Buna göre aşağıdaki seçeneklerden hangisinde yatırım çarpanı doğru biçimde verilmiştir?
|
0,1
|
|
0,9
|
|
2,5
|
|
5
|
|
10
|
7.Soru
Aşağıdaki fonksiyonlardan hangisinin iki kritik noktası vardır?
|
f(x)=x2-4 |
|
f(x)=3x+5 |
|
f(x)=x3-4 |
|
f(x)=x2-6x+9 |
|
f(x)=x3-6x2+7 |
Kritik nokta için bir fonksiyonun 1. türevinin sıfıra eşit olması gerekir. A şıkkındaki fonksiyonun birinci türevi 2x'tir. 2x=0 ise x=0 bu denklemin tek çözümüdür ve fonksiyonun tek kritik noktası vardır. B şıkkındaki fonksiyonun türevi 3'tür, yani hiç kritik noktası yoktur. C şıkkındaki fonksiyonun türevi 3x2'dir. 3x2=0 ise x=0 bu denklemin tek çözümüdür, yani tek kritik nokta bulunmaktadır. Yine D şıkkındaki fonksiyonun türevini sıfıra eşitleyen tek sayı vardır (2x-6=0, x=3). Fakat E şıkkındaki fonksiyonun türevi 3x2-12x=0 olup bu denklemi sağlayan x=0 ve x=4 olmak üzere iki kök bulunmaktadır. Bu nedenle doğru cevap E şıkkıdır.
8.Soru
matrisinin evriği aşağıdakilerden hangisidir?
|
|
|
|
|
|
|
|
|
|
Matrisin evriği matrisin satır ve sütunlarının yer değiştirmesi işlemidir. Buna göre A matrisinin boyutu 3x2 olduğundan evriğinin boyutu 2x3 olmalıdır.
A matrisinin 1. Sütununda yer alan elemanlar olan 3 4 6 evriğinde 1. Satırda yer alacaktır. A matrisinin 2. Sütununda yer alan elemanlar 2 7 5 evriğinde 2. Satırda yer alacaktır. Doğru cevap A seçeneğindeki matristir.
9.Soru
Bir firmanın toplam hasıla fonksiyonu TR(Q) = 24Q - 3Q2 ve toplam maliyet fonksiyonu TC(Q) = 3Q2 - 13 olduğuna göre firmanın kârını maksimum yapan üretim düzeyi nedir?
|
24 |
|
28 |
|
36 |
|
48 |
|
52 |
Kâr fonksiyonu toplam hasıladan toplam maliyetin farkı ile bulunur. ?=24Q - 3Q2 - (3Q2 - 13 )= -6Q2 +24Q + 13 . Kâr fonksiyonunun türevini aldığımız zaman ise -12Q + 24 ifadesini buluruz. Bu ifadeyi sıfıra eşitlediğimiz zaman kârın maksimum olduğu üretim düzeyini buluruz. -12Q + 24 = 0 buradan Q = 2 olduğunu buluruz. Toplam hasılayı bulabilmek için bu Q değerini toplam hâsıla fonksiyonuna yazmamız gerekir. Toplam hâsıla fonksiyonundan TR(2)= 24*2 - 3*4 = 48 - 12 = 24 sonucunu buluruz. Cevap A şıkkıdır.
10.Soru
I. TR / Q ; II. dTR / dQ ; III. ?TR / ?Q .Yukarıdakilerden hangisi ya da hangileri bir marjinal değere ulaştırır?
|
Yalnız I
|
|
Yalnız II
|
|
I ve II
|
|
I ve III
|
|
II ve III
|
11.Soru
(15, 0) ve (7, -8) noktalarından geçen doğrusal denklemin eğimi kaçtır?
|
- 1 |
|
1 |
|
2 |
|
3 |
|
4 |
(15, 0) ve (7, -8) noktalarından geçen doğrusal denklemin eğimini bulmak için a= (y2-y1)/(x2-x1) formülü kullanılır. buna göre a=(-8-0)/(7-15) = -8/(-8) = 1
Cevap B şıkkıdır.
12.Soru
Hessian matrisi negatif belirli olan bir üç değişkenli bir fonksiyon için aşağıdakilerden hangisi doğrudur?
|
Amaç fonksiyonunu maksimum kılan değerler olduğu söylenir. |
|
Amaç fonksiyonunu minimum kılan değerler olduğu söylenir. |
|
Kar fonksiyonu yoktur |
|
İkinci türev alınamaz |
|
Asal minörler yoktur |
Üç değişkenli bir fonksiyon (x1, x2, x3) bağımsız değişkenleri ve z bağımlı değişkeni göstermek üzere z = f(x1, x2, x3) şeklindedir. Bu tip fonksiyonlarda yerel maksimum ya da yerel minimum değerlerin bulunması için aşağıdaki adımlar izlenir.
I. Birinci mertebeden kısmi türevler alınır ve eşanlı olarak sıfıra eşitlenir. Bu sıfıra eşitleme sonucu birinci mertebeden kısmi türevini sıfır yapan değerler bulunur. Bu değerler (a, b, c) ise ikinci mertebeden kısmi türevlerine bakılır.
II. z = f(x1, x2, x3) fonksiyonun ikinci mertebeden kısmi türevleri aşağıdaki gibi elde edilir. (a, b, c) değerlerinin yerel maksimum ya da minimum olup olmadığına karar verebilmek için Hessian matrisi oluşturulur ve asal minörlerinin işaretine bakılır.
Asal minörlere bakıldığında oluşan Hessian matrisi negatif belirli ise bu durumda (a, b, c) değerlerinin amaç fonksiyonunu maksimum kılan değerler olduğu söylenir.
13.Soru
Tek değişkenli doğrusal olmayan bir fonksiyonun maksimum ya da minimumu olup olmadığına karar verebilmek için gerekli koşul aşağıdakilerden hangisidir?
|
Birinci türevi sıfır yapan kritik noktaların belirlenip, ikinci türev alınmasıdır. |
|
Kritik noktaların var olması yeterlidir |
|
İki çözümünün olması gerekir. |
|
İkinci türevin sıfıra eşitlenin ortaya çıkan köklerin reel olması gereklidir. |
|
Sadece bir adet reel kökü olmalıdır. |
Tek değişkenli bir fonksiyonun genel gösterimi; x bağımsız değişkeni (seçim değişkeni ya da karar değişkeni) ve y bağımlı değişkeni (sonuç değişkeni) göstermek üzere y = f (x) şeklinde gösterilir (y = f (x) fonksiyonunun sürekli ve iki kere türevlenebilir olduğu varsayılacaktır.). Bu şekilde ifade edilen doğrusal olmayan fonksiyonun maksimumu ya da minimumu olup olmadığına karar verebilmek için gerekli koşul birinci türevini sıfır yapan kritik nokta ya da noktaların belirlenmesidir. Bu gerekli koşul sağlanınca ikinci türev alınarak maksimum ve minimum için yeterli koşul sağlanmış olur. Alternatif olarak birinci türevinin artan ve azalan olduğu aralıkların incelenmesi yoluyla da belirlenebilir. Bu ünitede maksimum ve minimum dışındaki kritik noktalar optimizasyonu ilgilendirmediği için incelenmeyecektir.
14.Soru
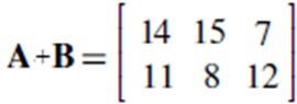
şeklinde verilmiş iki matris için A+B matrisi için aşağıda yazılanlardan hangisi doğrudur?
|
Kare matristir. |
|
İlk terimi 14’tür. |
|
Determinantı vardır. |
|
2x3 boyutunda bir matristir. |
|
Son terimi 7’dir. |
Verilen A ve B matrisleri 3x2 boyutunda matrislerdir. Yani 3 sütun ve 2 satırdan oluşmaktadır. Bu yüzden toplamları aynı boyutlarda 3x2 boyutlarında matris sonucunu verecektir. Bu matris kare bir matris değildir bu yüzden determinantı da yoktur. A ile B matrisinin toplamı matrisidir. İlk terimi 14 ve son terimi 12’dir.
15.Soru
f(x,y)=x2+y2-4x-6y+19 fonksiyonunu minimum yapan (x,y) ikilisi aşağıdakilerden hangisidir?
|
(2,2) |
|
(2,3) |
|
(3,3) |
|
(3,1) |
|
(1,4) |
İki değişkenli bir fonksiyonun minimum değerini alabilmesi için 1. dereceden kısmi türevlerinin sıfıra eşit olması ve 2. dereceden kısmi türevlerden oluşan Hessian matrisinin determinantı ile asal minörlerinden en az birinin pozitif olması gerekir.
İlk olarak 1. dereceden kısmi türevleri alalım:
fx=2x-4=0, 2x-4=0, x=2
fy=2y-6=0, 2y-6=0, y=3 olacaktır. Yani aradığımız ikili eğer diğer koşulları da sağlıyorsa (2,3) ikilisidir. Şimdi diğer koşulların sağlanıp sağlanmadığını görmek için 2. derece kısmi türevleri ve Hessian matrisini elde edelim:
fxx=2 fxy=0
fyx=0 fyy=2 ve bu durumda Hessian matrisimiz:
görüldüğü üzere hem determinantı, hem asal minörleri (2,2) pozitif olan bir matristir. Bu nedenle doğru cevap B şıkkıdır.
16.Soru
f(x,y) iki değişkenli fonksiyonuna ilişkin fxx fxy fyx fyy ikinci dereceden türevleri göstermek üzere Hessian matrisi için aşağıdakilerden hangisi doğrudur?
|
Matrisin determinantı sıfırsa fonksiyon minimum değerini alır |
|
Matrisin determinantı sıfırsa fonksiyon maksimum değerini alır |
|
Determinant negatifse fonksiyon maksimum değerini alır |
|
Determinant negatifse fonksiyon minimum değerini alır |
|
Determinant pozitifse fonksiyon maksimum veya minimum değerini alır |
İki değişkenli bir fonksiyona ilişkin Hessian matrisinin determinantı negatifse ne maksimum ne de minimum değerini alır. Eğer söz konusu determinant sıfıra eşitse hiçbirşey söylenemez. Ancak Hessian determinantı pozitifse: fxx ve fyy asal minörleri pozitif olduğunda fonksiyon minimum değerini, bu asal minörler negatif olduğunda ise fonksiyon maksimum değerini alır. Bu nedenle doğru cevap E şıkkıdır.
17.Soru
olarak verilmiştir. A ve B matrisi birbirine eşit iki matristir. Buna göre x+y+z=?
|
7 |
|
14 |
|
19 |
|
26 |
|
12 |
İki matris veya vektörün eşit olabilmesi için, her ikisinin hem aynı boyutta yani aynı satır ve sütun sayısına sahip olması ve her iki matrisin karşılık gelen satır ve sütun elemanlarının birbirine eşit olması gerekir. Buna göre; x=5,y=7 ve z=2 olur. Bunların toplamları 14’tür.
18.Soru
Aşağıdakilerden hangisi bir vektörü ifade eder?
|
|
|
|
|
|
|
|
|
|
Tek bir satır veya sütundan oluşan matrislere de vektör denir. Eğer matris tekbir sütundan oluşuyorsa sütun vektör; buna karşılık tek bir satırdan oluşuyorsa satır vektör olarak adlandırılır. Örneğin, m x 1 boyutundaki bir matris sütun vektör iken; 1 x n boyutundaki bir matris satır vektördür. Doğru cevap D'dir.
19.Soru
Bir firmanın ortalama maliyet fonksiyonu şeklindedir. Buna göre firmanın ortalama maliyetini minimum yapan üretim düzeyi nedir?
|
1 |
|
2 |
|
3 |
|
4 |
|
5 |
20.Soru
İki mal üreten bir firma için toplam maliyet fonksiyonu TC(Q1, Q2) = 4Q12 - 2Q1Q2 - 4Q1 - 8Q2 + 17 olduğuna göre firmanın toplam maliyetini minimum yapan üretim değerleri nedir?
|
Q1= 3, Q2= 13 |
|
Q1= 4, Q2= 14 |
|
Q1= 5, Q2= 15 |
|
Q1= 1 , Q2= 11 |
|
Q1= 6, Q2= 16 |
İlk önce TC’nin Q1 ve Q2’e göre birinci mertebeden kısmi türevi bulunur. ?TC/?Q1 = 8Q1 - 2Q2 – 4 ve ?TC/?Q2 =2Q1 – 8 bulunur, bu iki denklemi sıfıra eşitlediğimizde 2Q1 – 8 = 0 eşitliğinden Q1=4 ve 8Q1 - 2Q2 – 4=0 eşitliğinden 8*4 - 2Q2 – 4=0 ve buradan Q2 = 14 sonucunu buluruz.
-
- 1.SORU ÇÖZÜLMEDİ
- 2.SORU ÇÖZÜLMEDİ
- 3.SORU ÇÖZÜLMEDİ
- 4.SORU ÇÖZÜLMEDİ
- 5.SORU ÇÖZÜLMEDİ
- 6.SORU ÇÖZÜLMEDİ
- 7.SORU ÇÖZÜLMEDİ
- 8.SORU ÇÖZÜLMEDİ
- 9.SORU ÇÖZÜLMEDİ
- 10.SORU ÇÖZÜLMEDİ
- 11.SORU ÇÖZÜLMEDİ
- 12.SORU ÇÖZÜLMEDİ
- 13.SORU ÇÖZÜLMEDİ
- 14.SORU ÇÖZÜLMEDİ
- 15.SORU ÇÖZÜLMEDİ
- 16.SORU ÇÖZÜLMEDİ
- 17.SORU ÇÖZÜLMEDİ
- 18.SORU ÇÖZÜLMEDİ
- 19.SORU ÇÖZÜLMEDİ
- 20.SORU ÇÖZÜLMEDİ